Next Article in Journal
Autonomous Sewing Technology and System: A New Strategy by Integrating Soft Fingers and Machine Vision Technology
Previous Article in Journal
Alternative and Sustainable Technologies for Freshwater Generation: From Fog Harvesting to Novel Membrane-Based Systems
 
 
Font Type:
Arial Georgia Verdana
Font Size:
Aa Aa Aa
Line Spacing:
Column Width:
Background:
Article

Experimental Analysis of Ultraviolet Radiation Transmission Behavior in Fiber-Reinforced Thermoset Composites During Photopolymerization

Chair of Carbon Composites, Technical University of Munich, Boltzmannstr. 15, 85748 Garching, Germany
*
Author to whom correspondence should be addressed.
These authors contributed equally to this work.
Textiles 2025, 5(4), 44; https://doi.org/10.3390/textiles5040044
Submission received: 8 August 2025 / Revised: 16 September 2025 / Accepted: 28 September 2025 / Published: 8 October 2025

Abstract

As the importance of sustainability and performance increases, new developments in the manufacturing of fiber-reinforced polymer composites (FRPC) are requested. Ultraviolet (UV) curing offers a faster, more economical, and eco-friendlier alternative to conventionally used thermal curing methods, e.g., autoclave curing, but according to extant research, also presents some shortcomings, such as limitations to thin FRPCs and transparent glass fibers (GFs). This study analyses the UV light transmission in different thermoset FRPCs by irradiating various fiber samples on one side, while a sensor on the opposite side measures the transmitted irradiance. The materials investigated include unidirectional (UD) carbon fibers (CF), UD flax fibers (FF), and six GF fabrics with different ply structures. The fiber samples are tested in a dry, non-impregnated state and a resin-impregnated state using a UV-curable vinyl-ester-based resin. The results show that up to 16 plies of five GF fabrics are fully cured within the 20 s irradiation time and still exhibit a relatively high light transmission, revealing the potential of curing thick FRPCs with UV light. Furthermore, up to three plies of non-transparent FFs are cured, which is promising for the UV curing of natural fibers.

1. Introduction

New advancements in science and engineering and the ever-growing requirements in performance and sustainability give materials science a pivotal role in addressing current and future industry demands. As a result, a highly researched field in materials science has been the development and production of advanced FRPCs since they can outperform traditional materials in specific properties, such as high specific strength and modulus, high fatigue and a good thermal and corrosion resistance [1,2,3,4]. With exceptional structural properties and their lightweight nature, FRPCs, such as glass fiber reinforced polymers (GFRPs) and carbon fiber reinforced polymers (CFRPs), offer a diverse array of advantageous properties for several applications, like aerospace, automotive, wind energy, and infrastructure [1,2,4,5]. Such beneficial properties are, for example, a high strength-to-weight and stiffness-to-weight ratio, developing and producing fatigue resistance, high corrosion and thermal resistance, and high flexibility in design [1,2,4,5]. Looking to the future, the global composite market is projected to grow steadily, with GFs and CFs generating the highest revenue in terms of fiber type [6,7,8,9]. Regarding matrix material, thermoset resins are projected to maintain the largest market share compared to thermoplastics [6,7,8,9]. Although curing in thermoset FRPCs is generally well-managed with modern techniques, concerns such as thermal stress development and cycle times still pose considerations in complex geometries. The predominant method for curing high-performance thermoset FRPCs is thermal curing, typically performed in an autoclave [2,10,11]. While autoclave curing delivers FRPCs with low porosity and overall excellent structural quality, it also demands hour-long curing cycles and significant energy use at high temperatures, resulting in a high risk of thermal stresses, lowered production rates, elevated costs, and greater environmental impact [2,11,12].
Consequently, with the understanding that thermosets will continue to dominate the composite market in the foreseeable future [6,7,8,9], there is a growing interest in exploring alternative low-cost and more sustainable curing processes for thermoset FRPCs. These alternative curing technologies are often radiation-based [2,11]. In contrast to thermal curing, which uses heat to initiate the matrix polymerization process, radiation curing employs the capability of high-energy radiation or accelerated electron beams (EB) to generate reactive species through primary and secondary excitation or ionization [2,13]. The main advantage of radiation curing over thermal curing is the high polymerization speed at ambient temperature, resulting in a faster, almost instant, and more energy-efficient curing process [2,13,14]. Processing at ambient temperature also eliminates concerns over thermal stresses typical for conventional thermal curing [14,15]. Furthermore, radiation curing utilizes solvent-free, nearly 100% solid systems or, in some cases, water-based systems, which almost eliminate harmful volatile organic compound emissions, further benefiting environmental sustainability [13,14,15,16]. UV-light-induced curing, also called photopolymerization, is particularly beneficial, since it is the least hazardous of the radiation-curing technologies and is the best regarding equipment’s cost, size, and operability [2,14,15,17]. The compact equipment and the rapid curing rate have led researchers to try to incorporate in-situ UV curing in automated fiber-layup processes of pre-impregnated GFs, such as automated fiber placement (AFP) [2,18,19]. Such studies show some issues with the interlaminar strength between matrix and fibers due to the short irradiation time, yet this could be overcome with the right choice of UV-curable resin with higher curing speeds [18,19]. Also, usage of higher light intensity would be beneficial because it increases the polymerization rate as shown in extant research, e.g., Coons et al., 1997 [20] and Saenz-Dominguez et al., 2018 [21].
The main limitations of UV curing of FRPCs are the suitable fiber materials and the poor curing depth [14,16,22]. Research has shown several measures to minimize these limitations. Greater penetration is supported by using long-wave UV radiation at 350 to 420 nm, called UV-A, which penetrates more deeply than shorter-wavelength UV light [14,16,23]. For this reason, most studies that examine UV curing of FRPCs, such as Endruweit et al., 2008 [22], Carion et al., 2018 [24], Saenz Dominguez et al., 2020 [25], and Goethals et al., 2020 [16], use UV lamps that emit light in the UV-A bandwidth. Since UV light does not carry enough energy to directly cause ionization or excitation of organic molecules, UV curing uses photoinitiators (PIs) in the resin, which are activated by UV light, generating reactive species that trigger the chain-wise crosslinking with the resin’s molecules [16,26,27]. PIs are divided into radical and cationic categories, depending on their reaction mechanism and the type of reactive species that they generate [13,23,26,28,29]. Regarding curing depth, a low PI content promotes deep penetration, as it is not entirely absorbed on the resin’s surface [14,23,29]. This is shown in Carion et al., 2018 [24], where the optimal PI content is studied by curing six plies of UD GF impregnated with a polyester resin. Carion et al. observed that an increase in PIs results in a lower conversion of the initiators on the non-irradiated side of the GFRP [24], meaning that the UV light is absorbed on the material’s surface, inhibiting depth curing. In contrast, if the concentration of PIs is too small, the curing of the GFRP is incomplete and the mechanical properties are poor [24], as also discussed in Glauser et al., 2000 [30]. A final measure to help with depth cure is the use of photobleaching PIs, e.g., phosphine oxides [20,23]. Such catalysts become colorless once they absorb UV light and photolysis occurs, allowing UV light to penetrate further into the matter [20,23]. Many studies use photobleaching PIs, e.g., Glauser et al., 2000 [30]. In free-radical polymerization of thick resin samples, bisacylphosphine oxide (BAPO) is an optimal initiator to maximize curing speed, conversion, and depth curing [14,21] and is often used in research, e.g., in Endruweit et al., 2008 [22] and in Saenz-Dominguez et al., 2018 and 2020 [21,25].
The challenge of limited UV radiation transmission depth in FRPCs is analyzed in some extant studies, but with varying findings and conclusions. The 2002 research by Adanur and Arumugham [31] analyzed combining UV curing with a braiding machine by studying the properties of UV-cured GF fabric impregnated with epoxy acrylate compared to thermally cured samples. The authors concluded that of the examined 3, 5, 7, 9, and 11 plies of UV-cured GFRP, only 3 plies achieved comparable properties to the thermally cured sample of the same (unspecified) thickness [31]. In contrast, in Yuan et al., 2000 [32], up to 13 mm of knitted continuous GF-reinforced polyester were cured with UV light. Furthermore, in Goethals et al., 2020 [16], a 3-mm-thick laminate made of eight plies of hand-layup 390 g / m 2 twill weave GFs impregnated with an epoxy-acrylate-based resin was cured with a UV-A LED lamp over an irradiation time of 30 s [16]. The laminate’s thickness is smaller than that of the GF laminates cured in Yuan et al., 2000 [32], but also far greater than the thickness of the thin coatings in the μ m-range that are commonly cured with UV radiation [16]. The optimal matrix content was determined to be 35 or 40% [16]. Glauser et al., 2000 [30] examine different curing mechanisms for thick composites: thermal, UV, and EB. They conclude that the thick UV-cured GF samples were not fully cured, unlike the thermally cured and EB-cured samples [30]. However, Glauser et al. state that, in principle, photopolymerization “allows curing of thick layers of resin” [30] (p. 25), due to the reduction in absorption of UV light in the cured area of the resin, which allows for more transmission of light through the sample as the reaction proceeds. This principle in the light transmission behavior through the composite is shown in other studies, such as Endruweit et al., 2008 [22], Saenz-Dominguez et al., 2018 [21], and Saenz-Dominguez et al., 2020 [25]. In their 2008 published research, based on previous studies of the same authors and several experiments, Endruweit et al. analyzed the overall transmission behavior of UV light in GFRPs and its effect on UV curing [22]. They used a UV-A lamp and analyzed four GF materials impregnated with a polyester resin with BAPO and α -hydroxy ketones as free radical PIs [22]. This combination of PIs was chosen by Endruweit et al. because the combination of BAPO and α -hydroxy ketones was shown in previous studies to be helpful for both surface cure and depth cure [22]. The four analyzed GF materials were a continuous random GF mat with a dry uncompressed thickness of 1.8 mm, a 0.9-mm-thick ±45° non-crimp GF fabric, a 0°/90° non-crimp GF fabric of the same thickness, and a 1.1-mm-thick plain weave GF fabric [22]. The materials had a relatively high fiber areal weight (FAW), with the mat having a FAW of 450 g / m 2 , the ±45° non-crimp GF fabric of 950 g / m 2 , the 0°/90° non-crimp GF fabric of 800 g / m 2 , and the plain GF fabric of 915 g / m 2 [22]. The compressed impregnated fabrics had the following fiber volume fractions (FVFs): 29% the mat, 61% the ±45° non-crimp GF fabric, 51% the 0°/90° non-crimp GF fabric, and 58% the plain GF fabric [22]. The experiments conducted by Endruweit et al. had a simple and reproducible setup: the samples, placed between two glass panes and an aluminum spacer, were positioned between the UV lamp, which irradiated the sample, and a UV sensor, which measured the amount of light transmitted through the sample [22]. The distances between the components were held constant for all experiments [22]. The experiments were conducted over an irradiation time of 30 min [22], a far longer time than that of other studies, e.g., the 30 s curing time used in Goethals et al., 2020 [16]. Endruweit et al. measured the transmitted irradiance [22], i.e., the amount of radiant flux (i.e., the radiation energy per unit of time) per surface area unit transmitted through the material sample [33,34,35]. They describe four distinct stages in the curing process [22]:
  • Stage with the irradiance below the detectable measurement threshold;
  • Stage with a steep increase of the irradiance from 50 to 70 s, followed by a reduced rate of increase;
  • Stage beginning at around 300 s (i.e., 5 min) with a constant irradiance;
  • Stage beginning at around 500 s (i.e., circa 8 min) with a steadily decreasing irradiance.
From these observations, Endruweit et al. [22] conclude that the initial transmission behavior corresponds with the known principles of polymerization of non-reinforced UV curable resins, also shown in other studies like Anseth et al., 1997 [36]. Initially, the PIs on the resin’s surface absorb the UV light, and therefore, a smaller irradiance is detected [22]. The more PIs absorb the light, the more decompose, hence the more the resin becomes transparent to the light, allowing it to pass through and be detected by the UV sensor [22]. Therefore, in the first and second stages, the irradiance increases with the increasing number of used, i.e., decomposed, PIs in the resin [22]. The same logistic-like increase converging to a plateau is observed in a non-reinforced polymeric resin in the studies by Anseth et al., 1997 [36] and Coons et al., 1997 [20] for a vinyl ester resin reinforced with chopped GFs. Finally, Endruweit et al. argue that the irradiance decreases after 10 min because the material suffers from overexposure to UV light, changing its properties and letting less radiation through [22]. Indeed, some materials can become opaque and stop light transmission if they absorb a high enough amount of radiation [37]. However, no decrease in the transmission is observed in the study of Coons et al., 1997 [20], even though the irradiation time is longer than that recorded by Endruweit et al., 2008. To analyze the transmission dependency on the thickness of the material, Endruweit et al., 2008 measured the transmitted irradiance for up to six plies of GFRP material, with six plies measuring 4 mm in compressed thickness [22]. However, from five and six plies, the irradiance was below the detectable measurement threshold across all four GFRP materials [22]. Endruweit et al.’s, 2008 findings show that compressed GFRP laminates have a higher transmission than uncompressed laminates due to the reduced thickness and the reduction in void content in the laminate [22]. Furthermore, the authors conclude that a higher fiber packing density decreases light transmission but also increases the curing speed because there is less resin to cure [22]. The fiber packing density depends on the fabric’s shear, the FVF, and the fabric architecture [22].
Following the overall principle of the experimental setup in Endruweit et al., 2008, Saenz-Dominguez et al.’s 2018 [21] and 2020 [25] studies analyzed the UV light transmission behavior in a 300 g / m 2 UD GF material impregnated with a vinyl ester resin. As PIs, BAPO was used for its great depth curing properties, while α -aminoketone was used for superficial curing, as BAPO is sensitive to oxygen inhibition [21,25]. In the Saenz-Dominguez et al., 2020 study, two, four, six, and eight plies of GFRP corresponding to a thickness of 0.5, 1, 1.5, and 2 mm were analyzed [25], while only eight 2-mm-thick plies were analyzed in the 2018 study [21]. In the 2018 study, the distance between the samples and the UV lamp is 30 mm [21]. The samples in both studies were prepared by hand-layup and had an FVF of around 49.9 to 52.1% in the 2018 study [21] and 47% in the 2020 study [25]. The emission peak of the UV-A-LED lamp used in both Saenz-Dominguez et al. studies was at a wavelength of 395 nm [21,25]. The measured light transmission behavior is overall consistent with the previously described findings of Coons et al., 1997 [20] and Endruweit et al., 2008 [22]. The irradiation times considered in both Saenz-Dominguez et al. studies are comparable to those in the study by Endruweit et al., 2008 [22] and are far longer than the 30-s curing time in the study by Goethals et al., 2020 [16]. Like in Coons et al.’s, 1997 study, the decrease in light transmission after a particular irradiation time observed in Endruweit et al.’s, 2008 study is not reflected in the findings of Saenz-Dominguez et al., 2018 and 2020 [21,25].
Correlated to the limiting penetration depth is the choice of fiber material, as UV light is absorbed by many materials depending on its wavelength [14]. As discussed, deep light penetration is possible when optically transparent resins and suitable photoinitiators (PIs) are used. However, in FRPCs, the fibers constitute a further obstacle for light transmission and distribution. The fibers must be translucent to allow light penetration through the entire material. Hence, UV curing research is predominantly focused on transparent GFRPs [2,14,16,20,26]. In the 1997 study of Crivello et al. [38] it was observed that GFRPs can “be cured to greater thicknesses more rapidly than pure resin” [38] (p. 2078). They argue that the deeper light penetration in GFRPs is the result of “both light scattering and wave-guiding effects from the GFs” [38] (p. 2078). However, in contrast, in the study of Endruweit et al., 2008 [22], it was observed that the GF-reinforced resin requires longer curing times than the pure resin. Research regarding UV curing of other fiber materials, such as CFs, is rare. Some approaches to implement photopolymerization for producing or repairing CFRPs have been attempted, e.g., Lu et al., 2015 [39]. However, these attempts were unsuccessful in curing the resin homogenously, due to the opaque nature of the CFs blocking the light by absorption and reflection [2,14,39,40]. Natural fibers such as flax, hemp, and coir are gaining attention due to the growing emphasis on sustainability [41,42,43], but they present challenges for UV curing because they are opaque and hinder light penetration. Research on UV light transmission in bio-composites and of photopolymerization of bio-composites is scarce, with most studies either analyzing the influence of UV radiation in already cured bio-composites or the UV curing of bio-resins without reinforcement fibers or reinforced with GFs [38,44,45]. In the 2021 study of Kousaalya et al. [44], 1-mm-thick samples of natural fiber mat-reinforced polymers were successfully cured using UV radiation. However, the samples were irradiated on both sides, in contrast to the described GFRP studies, due to the non-transparent nature of the analyzed flax, areca, and coir fibers [44].
As extensively described, the research on UV light transmission in FRPCs is limited in quantity and regarding the fiber materials and ply structures, yielding varying results on the required curing time and the attainable curing depth. For this reason, the present study aims to characterize the overall UV light transmission behavior in various FRPC materials to better understand this innovative curing process and to support future research in the implementation of UV curing in FRPC manufacturing techniques.

2. Materials and Methods

The material sample is irradiated on one side with UV light, while on the opposite side, a UV sensor measures the transmitted irradiance E T   ( [ W / m 2 ] ) . The irradiance measurement provides information regarding the light transmission behavior, e.g., the amount of light that passes through the material or the light absorption caused by the PIs in the resin. With such information, conclusions regarding the UV curing process can be drawn.
The experimental setup is the same for all conducted experiments and is shown schematically with the main components in Figure 1. Except for the lamp’s power drive and the UV meter, the entire setup is contained in a darkened and sealed aluminum box to reduce light reflection. The UV lamp is the compact LED Spot 40 IC from the company Dr. Hönle AG (Gilching, Germany), which emits UV and visible light with wavelengths of 405 nm ± 10 nm with a maximum irradiance at 100% power of 7000 mW / cm 2 at a distance of 0 mm. An aluminum support harness holds the lamp in the same position throughout all experiments. The lamp can be slid up and down along the z-axis and locked at 5 mm intervals via pins. The lamp is operated via an LED power drive IC from Dr. Hönle AG (Gilching, Germany), which is mounted outside the containment box. The UV meter and sensor are also from Dr. Hönle AG (Gilching, Germany). The surface sensor LED F3 detects wavelengths between 265 nm and 485 nm.
The sample holder is made of aluminum and consists of two square parts that are screwed together with a screw on each corner. The upper part has a socket for the upper glass pane. The bottom part of the sample holder has a milled-out lower-level socket for the UV sensor and a milled-out upper-level socket for one glass pane. The sensor socket is specifically designed for the size of the UV sensor to avoid displacement during and between measurements and to keep the sensor in the center of the sample holder. The glass panes used in the experiments are the BOROFLOAT® 33 borosilicate glass panes made by SCHOTT Technical Glass Solutions GmbH (Jena, Germany). The square panes measure 50 mm by 50 mm and 3.3 mm in thickness. Each pane permits 90% of light transmission from a wavelength of 350 nm and above. The sensor’s center is precisely aligned with the UV lamp’s optical axis.
Six parameters are analyzed to characterize UV light transmission behavior in different FRPCs. The first parameter is the effect of the resin on the transmission behavior in the FRPCs in comparison to dry fibers. Therefore, all measurements are conducted for a dry state, i.e., the fibers without matrix, and for an impregnated state. The impregnated samples are placed between two vacuum foils before being placed between the glass panes. This avoids any excessive flow of resin over the sample holder or in the sensor area during the closing of the sample holder. The two vacuum foils reduce the transmission by 16%. The irradiance measurements for the impregnated materials are conducted over an irradiation time of 20 s. The curing process of resin occurs upon exposure to UV light, enabling a time-dependent analysis of light transmission throughout its duration. In contrast, measuring dry fiber is time-independent, as no chemical reactions occur, leading to consistent light transmission. Five measurements are recorded for each dry sample to enhance accuracy and reduce measurement errors, and an average value is subsequently calculated. The standard deviation was negligible and would not be visible as error bars in the graphs. Therefore, they are not displayed. For the impregnated samples, a repetition of the measurements is not possible, since each sample is cured during irradiation. The impregnated fiber samples are impregnated manually with resin before testing. The FVF is kept constant for all samples of the same material. The thermoset resin chosen as the sole matrix for all experiments is the RAYLOK™ C1100, supplied by the coating resin manufacturer Allnex (Drogenbos, Belgium). It is a styrene-free vinyl ester resin specially developed for UV curing of GFRPs, which uses a radical photopolymerization mechanism as shown by the components. The resin is composed of 45–55% dipropylene glycol diacrylate (DPGDA), 45–55% bisphenol A diglycidyl ether diacrylate (BADGE-DA), 0.2–0.7% phenylbis(2,4,6-trimethylbenzoyl) phosphine oxide (bisacylphosphine oxide (BAPO)), and 0.5–2% of aromatic ketones.
The second analyzed parameter is the fiber material. Most UV curing research has focused on glass fibers (GFs), as their UV transparency allows light to penetrate throughout the entire GFRP. Therefore, this study analyzes primarily GFs, but also, though to a lesser extent, CFs and FFs. Previous research shows the challenges of UV curing of CFs, since they are opaque to light and mostly absorb it [40]. A UD CF material (CF UD) is analyzed to confirm this. The used CF is Tenax™ HTA40 400 tex (6k) (Teijin Carbon Europe GmbH, Wuppertal, Germany). FFs are also known to display high light-absorptivity due to their lignin content [46]. Since natural fibers are gaining importance in the composite world for their sustainability [42,47,48] and few investigations have addressed UV light transmission in FF-reinforced composites, this study analyzes the light transmission in the UD FF material ampliTex™ 150 UD (FF UD) from the bio-based materials manufacturer Bcomp Ltd. (Freiburg, Switzerland).
The third parameter analyzed in this study is the effect of the ply architecture on the light transmission. Most extant studies examine only one or a few GF material types per research. Therefore, six different GF fabrics are analyzed to investigate the influence of the ply structure of GFs on light transmission in GFRP further. These are:
  • A plain weave GF fabric (GF P);
  • A medium-weight 2 × 2 twill weave GF fabric (GF Tf);
  • A heavier 2 × 2 twill weave GF fabric (GF Tt);
  • A UD GF material (GF UD);
  • A thick GFs mat of randomly orientated chopped fibers (GF M);
  • A thick, sponge-like GF fleece of chopped, randomly orientated, fine fibers (GF F).
All analyzed fiber materials are shown in Figure 2 and listed in Table 1 with the respective thickness and FAW. All materials are cut into 50 by 50 mm square samples using a Zünd 2D Cutter (Zünd Systemtechnik AG, Altstätten, Switzerland) automatic fabric cutting machine.
The fourth parameter analyzed in this study is the number of plies or material thickness. As explained previously, some extant studies suggest that thickness is the main factor limiting the use of UV curing for GFRPs. To investigate this parameter, all experiments for the GF materials are conducted for 1 to 6, 8, 10, and 16 plies (excluding 16 plies of impregnated GF F). No present study has analyzed several plies as high as 16. Experiments on CF and FF materials are conducted until the ply count is sufficient to block light transmission completely through the sample.
The fifth and sixth analyzed parameters are both dependent on the light source. These are the light intensity (regulated via the UV lamp power P) and the distance d of the light source to the UV sensor. The experiments are conducted for 50% and 100% UV lamp power. Furthermore, two distances are investigated in all experiments: a minimum distance from the UV lamp to the UV sensor of 18 mm and a maximum distance of 58 mm (Figure 3). By combining the fifth and sixth parameters, four different configurations for the dry and impregnated experiments are created:
  • Configuration 1—100% UV lamp power P at the minimum distance d of 18 mm;
  • Configuration 2—50% UV lamp power P at the minimum distance d of 18 mm;
  • Configuration 3—100% UV lamp power P at the maximum distance d of 58 mm;
  • Configuration 4—50% UV lamp power P at the maximum distance d of 58 mm.
Irradiance measurements with no sample or vacuum foil are taken for all configurations as reference data. Both reference and dry fiber measurements are repeated five times, and an average value is calculated. The standard deviations of all these measurement series are minimal. Since dry samples lack resin, no transmission-altering processes occur, and the transmission remains constant over time, with only minor variations due to the gradual decrease in UV lamp efficiency caused by overheating. In contrast, the light transmission in the resin-impregnated samples is monitored over 20 s to analyze transmission changes during the curing process. Measurements are recorded automatically by the UV meter at a rate of 10 Hz.

3. Results

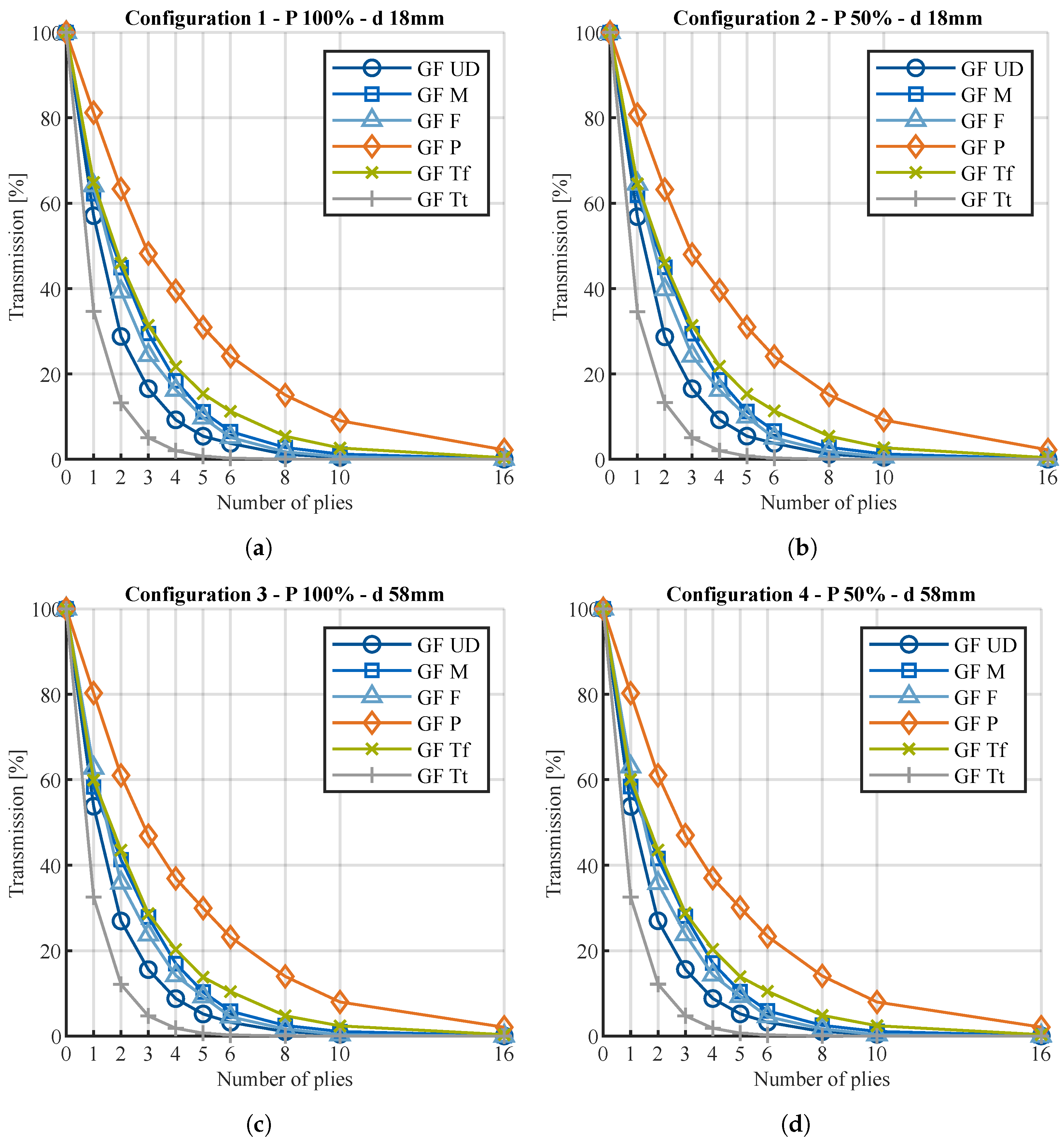
The overall course behavior of the transmission is the same in all dry materials, with the transmitted irradiance decreasing exponentially as the number of plies increases. However, the rate of decrease per ply number differs between the materials. In all materials, the highest absolute irradiance values are measured in configuration 1, followed by configuration 2, then by configuration 3, and lastly configuration 4. All GF materials perform far better regarding the amount of light transmitted than the CF UD and FF UD, since GFs are translucent while CFs and FFs are opaque to UV light. Figure 4 shows the percentage of light transmission in all GF materials in each configuration. The percentual transmission values are calculated from the measured absolute irradiance values of each dry sample in relation to those of the reference measurements. Therefore, although the configuration influences the absolute value of the transmitted irradiance, the percentage values shown in Figure 4 are almost identical throughout all configurations. This means that the influence of each added ply is independent of the distance of the UV lamp to the UV sensor and of the UV lamp power. As shown in Figure 4, GF P allows for the highest transmission throughout all numbers of plies and configurations among the dry GF materials. The absolute irradiance values of GF P measure between 3975 mW / cm 2 for 1 ply and 107.58 mW / cm 2 for 16 plies in configuration 1 and between 456.48 mW / cm 2 for 1 ply and 11.9 mW / cm 2 for 16 plies in configuration 4. After GF P, dry GF M, GF Tf, and GF F display the highest transmission values. An irradiance value above 3000 mW / cm 2 for all three materials is measured for 1 ply in configuration 1. Dry GF UD displays similar but smaller irradiance values to GF F and GF M. For example, in contrast to GF F and GF M, the irradiance value for 1 ply of GF UD in configuration 1 is below 3000 mW / cm 2 , measuring 2793.2 mW / cm 2 . However, with decreasing plies, the irradiance values for GF UD become more comparable to those measured for GF F. As for the previously described GF materials, also for dry GF UD some UV light is transmitted through each of the analyzed numbers of plies, with the irradiance only falling below 1 mW / cm 2 with 16 plies, similar to GF F. Dry GF Tt is the least light-transmissive of the dry GF materials (see Figure 4). For example, an irradiance of 1697.2 mW / cm 2 is measured for one ply of GF Tt in configuration 1. In configurations 3 and 4, the irradiance measured for dry GF Tt falls below 10 mW / cm 2 starting at 5 plies and well below 1 mW / cm 2 from 8 plies onwards, and no UV light is transmitted with 10 plies or more. Instead, in configurations 1 and 2, the irradiance is around 1 mW / cm 2 starting from 8 plies, falling far below 1 mW / cm 2 from 10 plies onward.
Figure 4 clearly shows that the decrease in transmission, dependent on the number of plies, differs from material to material. The reasons for this are factors related to the individual ply construction of the different GF material types, especially the ply thickness and the fiber tightness. For dry fabrics, the thicker the material, the more UV light is blocked by the fabric [25,49]. In the same way, the tighter the fibers are packed, the more light is blocked [46,49,50]. The tightness is dependent on the weave and the weight. At the same weight, tighter weaves provide more UV blockage than looser weaves [46,49,50]. In clothing, a twill weave is a much tighter weave in comparison to a plain weave of the same mass, since it achieves a higher warp/weft density and has less uniform and stable pores [46,49,50]. GF P is the thinnest and lightest GF material. It is a plain weave, displaying the best transmission. GF Tf is a twill and is the second thinnest and lightest GF material, thus having the second-highest transmission values among the woven GF materials. The thickest woven material, GF Tt, is also the heaviest and allows the least amount of light to be transmitted, as the light must travel through more matter. GF F and GF M, although as thick as GF Tt, are lighter than GF Tt and have a loose non-woven ply structure that permits more light to be transmitted. GF F has a denser, tighter structure compared to GF M, which is reflected in the results (see Figure 4). GF UD has a comparable weight to GF M and is half as thick (see Table 1). However, the ply structure of GF UD is inherently tighter than that of GF M and GF F, resulting in GF UD being less transmissive. These principles also explain the difference between the materials in the rate of transmission decrease with increasing ply count. For example, the thinner and looser GF P requires multiple plies before it reaches an overall laminate tightness and thickness comparable to that of GF Tt.
In contrast to the translucent GF materials, the dry CF and FF materials display poor transmission values. The opaque CF UD is the least light-transmissive material, blocking the irradiated UV light from two plies throughout all four configurations. While some light is transmitted through just one ply of CF UD material in configurations 1 and 2, the measured irradiance is still very low and insignificant. The FF UD material allows for significantly higher transmission than CF UD, while still being non-transparent. For one ply of dry FF UD, an irradiance of 101.9 mW / cm 2 and of 12.6 mW / cm 2 are measured in configuration 1 and configuration 4, respectively. Starting from two plies of dry FF UD, no significant transmission is measured in configurations 2, 3, and 4. In contrast, in configuration 1, an irradiance of 4.58 mW / cm 2 and of 2 mW / cm 2 is measured for two and three plies, respectively.
Figure 5 displays the transmitted irradiance over the irradiation time of 20 s and compares the experimental results of the impregnated GF UD across all four configurations. This paper does not show the results of the other impregnated materials, since the overall findings gathered from the comparison of the results of the four configurations are consistent across all materials.
The UV-light-induced polymerization process of the uncured resin is activated by the contained PIs, which decompose into reactive species by absorbing the UV light of a specific wavelength. This process is reflected in the logistic-like transmission behavior of the impregnated materials observed in this thesis and in extant research. In the beginning, the transmitted irradiance is small because the PIs absorb most photon energy on the surface of the material sample. However, as more and more PIs decompose, the resin is gradually cured more in depth, thus becoming more transparent and permitting more light to pass through and be detected. Therefore, in the first phase of the light transmission in impregnated samples, the irradiance increases until it reaches a maximum value. Once this maximum value is reached, all PIs have been used and the matrix is fully cured. The irradiance increase is very rapid, taking just a few seconds for most materials and numbers of plies analyzed. After this first phase, the irradiance stays constant over the remaining exposure time. A slight drop in the irradiance is measured for some material samples in this plateau-like second phase of the light transmission. This is caused by the efficiency drop of the UV lamp over time due to heat losses. All analyzed numbers of plies of GF material (up to 16 plies) reach the plateau-like phase within the 20 s irradiation time, with the composite’s full cure after exposure confirmed solely through investigation of its haptic properties response. The only exceptions are 6, 8, and 10 plies of GF F in configurations 3 and 4. These exceptions are caused by the very high content of resin in GF F (FVF of 5%), coupled with the great thickness of 6, 8, and 10 plies, resulting in the exposure time not being sufficient to cure the entire sample at the maximum distance of 58 mm. Besides these two exceptions, all GF material samples (up to 16 plies) are cured. Even 16 plies of GF M, which has the same ply thickness as GF F, are cured, since the FVF is significantly higher (27%).
Furthermore, in configurations 1 and 2, even at 16 plies, all GF materials still allow a relatively high amount of UV light to be transmitted in all configurations. For example, a transmitted irradiance above 880 mW / cm 2 is detected in configuration 1 for 16 plies of GF UD (see Figure 5), equivalent to around 4 mm of thickness. An irradiance above 100 mW / cm 2 is measured for 16 plies of GF M (around 8 mm in thickness) in configuration 2, and the smallest irradiance is between the GF materials in configurations 1 and 2. With an increase in the number of plies, the transmission behavior of the impregnated samples changes in two aspects. Firstly, the curing rate decreases, so the transmission curves become flatter over the irradiation time (see Figure 5). More plies result in a greater overall sample thickness and therefore more matrix material that must be cured, thus requiring longer exposure time to UV light. Secondly, the irradiance values decrease (see Figure 5) since light must pass through more matter, increasing the propagation losses caused by absorption and reflection of the light.
Figure 6 displays the experimental results for impregnated FF UD in all four configurations. The overall transmission behavior in FF UD is the same as in the GF materials, meaning there is an initial rapid increase in the transmitted irradiance, followed by a plateau-like constant irradiance once the sample is fully cured. However, the measured transmitted irradiance values are smaller than those of the transparent GF materials. Still, the impregnated FF UD exhibits sound transmission throughout the four analyzed configurations for 1 and 2 plies. This is also shown by the fact that one and two plies of impregnated FF UD are fully cured in all four configurations. As shown in Figure 6, for one ply of impregnated FF UD, a maximum irradiance of 449.7 mW / cm 2 is measured for the best configuration regarding transmission, i.e., configuration 1, and a maximum irradiance of 64.2 mW / cm 2 is determined for the worst configuration, i.e., configuration 4. These values are far higher than the irradiance values measured for the FF UD without resin. In the case of three plies of impregnated FF UD for configurations 2 to 4, the samples are not fully cured after 20 s, and no significant amount of light is transmitted and detected. This is equivalent to the transmission behavior of three plies of FF UD in the dry state. However, for configuration 1, a comparably high irradiance of 12.6 mW / cm 2 is measured for three plies of impregnated FF UD (see Figure 6), and the resin is fully cured on inspection. No light transmission is detected from four plies upwards for impregnated FF UD in configuration 1. A single ply of impregnated CF UD is sufficient to block UV light transmission. Upon inspection of the impregnated CF UD samples after irradiation, it is observed that only the resin of the directly irradiated surface is cured, while the underside remains uncured. This corresponds to the findings of extant research, which declare that the opaque nature of CFs results in the absorption of most UV light [40]. None of the CF UD samples are fully cured with one-sided UV light irradiation.

4. Discussion

The results of the overall light transmission behavior during the UV curing process match extant studies, such as Coons et al., 1997 [20], Endruweit et al., 2008 [22], Saenz-Dominguez et al., 2018 [21], and Saenz-Dominguez et al., 2020 [25]. Both the findings from these studies and those of the present research demonstrate the propagation of a UV-cured front during the curing process, which results in a logistic-like increase in transmitted irradiance as detailed in the previous chapter. However, the measured curing rate and transmitted irradiance significantly exceed those reported in existing studies, even when comparable fiber samples are considered. As explained previously, Endruweit et al., 2008 analyzed a continuous GF random mat, two non-crimp GF fabrics, and a plain weave GF fabric [22], while Coons et al., 1997 [20] analyzed chopped GFs. Saenz-Dominguez et al., 2018 [21] and 2020 [25] analyzed a 0.25-mm-thick, 300 g / m 2 UD GF material with transversal reinforcement, which is similar to GF UD in this study.
Regarding the curing rate, the mentioned extant studies [20,21,22,25] all use and require much longer irradiation times than the present study. Endruweit et al., 2008 and Saenz-Dominguez et al., 2020 measure the transmitted irradiance over an irradiation time of 1800 s (30 min) [22,25], while Coons et al., 1997 measures over an even longer time of 70 min [20]. Endruweit et al., 2008 show that the peak in the irradiance is measured at around 300 s (5 min) [22]. The curing rate is even slower in Saenz-Dominguez et al., 2018 and 2020, requiring over 500 s (circa 8 min) to reach the maximum irradiance [21,25]. The same applies to the findings in Coons et al., 1997 with 40 to 50 min needed to reach the maximum transmission rate [20]. Saenz-Dominguez et al., 2020 also measures shorter (though still high) curing times of around 50 s [25]. The differences in the scale of the curing times presented in Saenz-Dominguez et al., 2020 are not thoroughly explained in the publication. These long curing and irradiation times stand in stark contrast to those observed in the present study. The 20 s irradiation time chosen in this study is more consistent with the 30 s irradiation time in Goethals et al., 2020 [16]. The study analyzes 8 plies of impregnated 390 g / m 2 GF twill fabric [16], comparable to the 390 g / m 2 GF Tt fabric used in this study. As shown in the experimental results in the previous chapter, 20 s are sufficient to reach the maximum irradiance value for most analyzed materials, number of plies, lamp power, and distance configurations. Indeed, the curing time of most impregnated samples in the present study is within a range of just a few seconds, far less than the 5 to 50 min required in the extant literature, like Endruweit et al., 2008 [22] and Coons et al., 1997 [20]. Some degree of inconsistency in the polymerization rates between studies is expected, as the curing rate depends on several parameters other than the reinforcement material, such as the distance to the light source, the FVF, and, most of all, the matrix system used. The resin’s composition and PIs are primarily responsible for the polymerization rate. Saenz-Dominguez et al., 2018 analyze a 2-mm-thick 8-ply UD GF-reinforced vinyl ester material with a FVF of around 50% and at a 30 mm distance from the UV lamp [21]. This is comparable with the 8 plies of GF UD in the present study, impregnated with the vinyl-ester-based resin and measuring around 2 mm in thickness with a FVF of approximately 55%. Furthermore, the distance used in Saenz-Dominguez et al., 2018 is between the two distances analyzed in this study. Still, the Saenz-Dominguez et al., 2018 sample requires around 500 s to cure [21], while eight plies of impregnated GF UD cure in 8 to 10 s for the worst configuration (i.e., configuration 4), as shown in Figure 5. Because of the evident polymerization rate dependency and transmission behavior from the employed resin system, it is also challenging to compare the exact irradiance values between studies. Still, the irradiance values in this study are far higher than those in previous research. For example, in one of the measurements conducted in the study by Saenz Dominguez et al., 2020, a maximum irradiance of around 600 W / m 2 (i.e., 60 mW / cm 2 ) is measured for two plies of a UD GF material [25]. This is the highest irradiance value among the studies mentioned above. However, it is far below the maximum irradiance measured in this study for two plies of GF UD for all four configurations. In configuration 4, i.e., the worst configuration, the irradiance is still around 416 mW / cm 2 , far higher than that measured in the study by Saenz-Dominguez et al., 2020. Furthermore, some laminates cured in this study present a higher ply-count and a greater thickness than those analyzed in the extant research. As explained previously, 1 to 6, 8, 10, and 16-plies samples are fully cured for all GF materials, except 6, 8, and 10 plies of GF F, which are only partially cured during the irradiation time, and 16 plies of GF F, which are not analyzed. As of the writing of this research, no existing study has cured 16 plies of GFRP with UV radiation. Furthermore, the 16-ply laminates in this study are thicker than any GFRPs cured with one-sided UV light irradiation in the extant research. When comparing the extant research with the present study regarding the analyzed thickness and number of plies, Endruweit et al., 2008 [22] have produced the only study investigating light transmission in comparable thick laminates. In the case of GF UD, 16 plies equate to around 4 mm, corresponding to the 4-mm-thick 6 plies GF laminate analyzed in Endruweit et al., 2008 [22]. However, Endruweit et al., 2008 could not detect any transmission with as few as five plies [22]. Furthermore, 16 plies of GF UD in configuration 1 still let an irradiance above 880 mW / cm 2 to be transmitted, a value far greater than the irradiance measured for thinner GFRPs with lower numbers of plies in previous studies. These results demonstrate the potential of curing even thicker GFRPs with UV light.
Because of the evident high dependency on the used resin system, the focus of comparisons between studies to characterize the transmission behavior should be primarily on the qualitative, overall transmission evolution. While the logistic-like increase in transmission is comparable between studies, extant research is inconsistent on the transmission behavior’s evolution after the maximum irradiance is reached. Some research, like Coons et al., 1997, and in Saenz-Dominguez et al., 2018 and 2020, shows that after increasing and reaching a maximum value, the transmitted irradiance remains constant over time, reaching a plateau-like phase [20,21,25]. In contrast, Endruweit et al., 2008 observe a constant decrease to almost zero light transmission after a relatively short plateau phase [22]. In the present study, the plateau-like phase is reached for most material samples far within the 20 s irradiation time and stays relatively constant over a proportionally long time (see Figure 5). Therefore, no extreme irradiance drop like in the study by Endruweit et al., 2008 is expected, even if the exposure time would be increased to match the longer time of the results of Endruweit et al., 2008. The overall transmission behavior matches that of Coons et al., 1997 and Saenz-Dominguez et al., 2018 and 2020 [20,21,25]. A slight decrease during the plateau-like phase is exhibited in some samples. Still, it is usually proportionally minimal and never to the same extent as the extreme irradiance decrease in Endruweit et al.’s, 2008 study [22]. A slight decrease in the irradiance over time is also expected, due to possible measurement errors and, most importantly, overheating of the UV lamp. The irradiance is the light energy per unit surface. Therefore, it naturally decreases slightly when the efficiency of the UV lamp declines, due to the lamp heating up.
As explained in the previous chapter, an increase in plies entails two changes in the transmission behavior of the resin-impregnated laminate: reduction in the curing rate and reduction in the transmitted irradiance (see Figure 5). The curing rate decreases because a higher ply count means more resin to be cured and a longer curing time. The transmitted irradiance decreases with increased plies because the light must pass through more matter, thus increasing the propagation losses caused by absorption and reflection of the light. These two changes match the findings of Saenz-Dominguez et al., 2020 [25] for two, four, six, and eight plies laminates of a UD GF comparable to the GF UD material used in this study. The decrease in the absolute value of the irradiance with an increasing number of plies is also observed for the dry fiber samples, following the same principle that more plies mean more matter that the light must pass through and therefore higher propagation losses. However, the transmission in the dry GF materials decreases exponentially with the number of plies. In contrast, in the cured GF materials, the presence of the matrix causes the decline in transmission over the number of plies to be more linear. This is exemplified for GF UD and GF Tf for configuration 1 in Figure 7, which displays the transmitted irradiance over the number of plies for both the dry and impregnated samples. The irradiance values for the impregnated samples in Figure 7 are determined as the arithmetic mean of the values of the last 5 s of the irradiation time, i.e., the values from 15 to 20 s. The transmitted irradiance in dry materials is smaller than that measured in the resin-impregnated samples (see Figure 7). The reason for this is the higher refractive index difference of dry samples compared to that of impregnated samples. When light passes through composites, it constantly transitions between different media. The light transitions between air and fiber material in dry samples, while in ideal impregnated samples (no air content), it transitions between resin and fiber material. The higher refractive index difference between air and fiber material increases light scattering in the dry samples, causing a higher Rayleigh scattering loss (RSL). There are different forms of light scattering. The dominant form in GFs is Rayleigh scattering [51]. The RSL is proportional to λ 4 and is therefore especially dominant at shorter wavelengths, such as visible and UV light [51,52]. Light scattering is increased by variations in the refractive index within the material, since each new refraction causes new light scattering [51,53,54]. Therefore, with increasing refractive index difference between two media, the RSL increases [33,51,53,54]. In the case of the impregnated materials, however, the refractive index of the matrix and that of the fiber material are similar, thus reducing the RSL in impregnated fibers. Therefore, with increasing plies, the irradiance decreases faster in dry samples. In impregnated samples, the RSL is smaller since the overall laminate is more uniform, and therefore, the decrease is caused primarily by the increasing thickness.
Next to the number of plies, the ply thickness of the individual material also dictates the overall thickness of the sample. This ply thickness is a factor of the ply structure overall. Figure 4 clearly shows that the percentage decrease in transmission by increasing the number of plies differs between the GF fabric types. The reasons for this relate to the individual ply construction of the different GF fabric types. The ply architecture has been shown in extant research to influence the UV light transmission in fabrics for clothing [46,49,50]. Other factors of the ply structure next to the ply thickness are the fiber packing density, the mass, the weave structure in woven fabrics, the yarn thickness, and many more [49,50]. All these factors depend on each other [49,50], but they sum up into two parameters that influence light transmission: the thickness and the tightness of the fibers. As explained in the previous chapter, for dry fabrics, the higher the tightness and the thickness of the material, the more UV light is blocked by the fabric [46,49,50]. The tightness of a fabric is dependent on the weight and the weave structure, with a twill being tighter than a plain weave at the same weight [46,49,50]. These principles are reflected in the transmission results in the dry GF samples, as shown in the previous chapter. Comparing the experimental results of the dry and impregnated GF samples shows that the tightness of the fibers has a greater influence on the transmission in the dry state than in the impregnated state. In the dry state, the thicker GF F and GF M display a higher UV transmittance than the thinner GF UD (see Figure 8a), due to their ply structure being open and loose, while GF UD has a tighter fiber packing density. Because there is less matter in a loose-structured ply with low fiber tightness, fewer interactions can generate propagation losses; hence, GF F and GF M block less UV light than GF UD in the dry state. However, in the impregnated state GF UD has a higher UV transmittance than both GF F and GF M (see Figure 8b): since the resin that the fibers are impregnated with fills any air openings in the looser-structured materials, light must pass through more matter (compared to the case with dry materials) and thus the thickness of the material has a relatively greater influence on the transmission than the tightness of the fibers. Nevertheless, the results of the present study show that tighter fabrics, such as twills, do indeed display higher UV blockage than looser structures of the same thickness, as has been examined in extant research on UV light protection in clothing [46,49,50]. The thick twill fabric GF Tt has a lower UV transmittance than the slightly thicker but less dense GF F and GF M. This applies to both the dry and impregnated state (see Figure 8).
The fiber material has a significant influence on the light transmittance of the FRPC and thus on the successful curing. In contrast to the transparent GFs, no relevant light transmission is detected through the CF UD samples in both the dry and impregnated states. The curing of one ply of CF UD by one-sided UV light irradiation is unsuccessful, confirming the findings of previous studies regarding the unsuitability of UV curing for CFRPs [40]. However, the results for the non-transparent FF composites are surprisingly different. In contrast to CF UD, one and two plies of impregnated FF UD are fully cured in all configurations, and three plies are cured with configuration 1 (see Figure 6). As explained in the first chapter, at the time of the writing of this study, no study has cured FF-reinforced polymer composites with a one-sided UV light irradiation. Kousaalya et al., 2021 [44] have cured FF composites with UV light, but with a two-sided irradiation. As shown in the previous chapter, the overall light transmission behavior in FF UD is the same as in the GF materials but with lower irradiance values, since the non-transparent FFs reflect and absorb far more light than the GFs. When comparing the results for dry and impregnated FFs, the same phenomenon is observed in comparing dry and impregnated GF materials: impregnated FFs have a higher transmission than dry FFs. The reasons for this phenomenon are the same as explained previously for the GF materials. However, the increase in the measured irradiance due to the presence of resin is percentage-wise higher for FF UD than for the CF and GF materials. The hydrophilic properties of natural fibers possibly explain this difference. Plant-based fibers, like FFs, have a high moisture sensitivity, meaning they can absorb a high amount of it [47,48,55]. A high moisture content reduces the UV radiation protection of fabrics, meaning less UV light is blocked and more is transmitted [50]. In contrast to natural fibers, GFs and CFs do not absorb moisture [47,48,56,57,58,59]. As GFRPs and CFRPs can exhibit some level of moisture absorption, this absorption is therefore dependent on the matrix material and not on the fibers [57,58,59,60]. In Johar et al., 2023, it is observed that a FF-reinforced epoxy-based composite can reach a seven-times higher moisture content than a CF-reinforced epoxy-based composite [55]. Through resin impregnation, the moisture content in the FFs of the FF UD material samples increases, since the FFs absorb the semi-liquid resin, as opposed to GFs and CFs. These thoroughly impregnated FFs create a more uniform material regarding the refractive index, also within the fibers themselves. This further reduces the RSL and therefore increases the UV light transmission. The results of the present study regarding FF composites are promising and warrant further research on using UV curing for FF-reinforced polymer composites, especially as the world searches for more sustainable solutions to engineering challenges.
Finally, the last two analyzed parameters—the influence of the light intensity and the distance of the UV light source—depend not on the samples but on the light source and overall setup. A higher UV lamp power is directly related to a higher transmitted irradiance value. For all GF materials, in both dry and impregnated states, reducing the UV lamp power by half (from 100% to 50%) causes a 48 to 49% decrease in the measured irradiance. On the other hand, a smaller distance correlates with a higher absolute value of the irradiance. The reduction caused by the distance increase is more gradual. The inverse square law of point light sources, which states that the irradiance is inversely proportional to the square of the distance, does not apply here, since the light-emitting-surface-to-distance ratio is minimal. The 3.2-fold increase in the distance of the UV lamp to the UV sensor (from 18 mm to 58 mm) results in a reduction of the transmitted irradiance of around 77% to 80%. This information can be used to assess optimal parameters for implementing in-situ UV curing in an automated GFRP production technology, such as AFP.

5. Conclusions and Outlook

This study investigated UV light transmission and curing behavior in various glass and natural fiber-reinforced composites, including GF UD, GF Tt, GF Tf, GF P, GF M, GF F, FF UD, and CF UD. The results demonstrate that, under optimized conditions (20 s exposure time, appropriate UV lamp power P and distance d), significantly faster and more efficient curing is achievable compared to existing literature even for thick laminates with up to 16 plies. GF UD and GF Tf, in particular, showed high transmitted irradiance and fast curing times. Surprisingly, FF UD also cured successfully under one-sided UV exposure, unlike CF UD, which remained unsuitable. The study highlights the critical role of material architecture, fiber type, resin system, fiber volume fraction, and setup parameters in curing performance. These findings show the potential of rapid one-sided UV curing even for thick GFRP laminates and support further development of sustainable and automated composite manufacturing methods.
Several aspects of the study could be examined in more detail in future studies, especially considering the possible implementation of in-situ UV curing in automated FRPC manufacturing technologies (e.g., AFP). For example, the dependency of the transmitted irradiance on the distance of the UV light source could be investigated in more depth by analyzing more distances, in view of an optimal development of an in situ UV curing system. Furthermore, in this study, GFRPs with higher thicknesses than those in extant research are successfully cured in short irradiation times, showing both the possibility of curing relatively thick GFRPs with UV radiation and the potential of fast in-situ UV curing of GFRPs. However, further research should examine the mechanical properties of these cured materials to test if they are comparable to thermally cured GFRPs for structural applications. Finally, considering the results shown for one-sided UV-light-induced curing of FF-reinforced polymer composites, further research in this area could expand the understanding of the potential of bio-based FRPCs as sustainable composites, not only regarding the material used, but also regarding the production process. To this end, further research could conduct mechanical testing of the UV-cured FF samples to examine the level of suitability of their structural properties for industrial applications. Moreover, the suitability of other natural fiber materials for a curing process with a one-sided UV light exposure could be investigated to further expand the research in the eco-friendly manufacturing of bio-based composites. Overall, by characterizing the light transmission behavior in several GF materials and a UD FF material, the findings of the present study show the potential of implementing UV curing in production processes of both GF-reinforced and FF-reinforced thermoset composites. Such a development in composite manufacturing would deliver faster, more cost-efficient, and more environmentally sustainable technologies as alternatives to the conventional thermal-curing-based production.

Author Contributions

Conceptualization, S.V.; methodology, L.B. and S.V.; validation, L.B. and S.V.; formal analysis, L.B.; investigation, L.B.; resources, K.D.; data curation, L.B.; writing—original draft preparation, L.B. and S.V.; writing—review and editing, L.B. and S.V.; visualization, L.B. and S.V.; supervision, S.V. and K.D.; project administration, S.V.; funding acquisition, K.D. All authors have read and agreed to the published version of the manuscript.

Funding

This research received no external funding.

Institutional Review Board Statement

Not applicable.

Data Availability Statement

The datasets presented in this article are not readily available because they are part of an ongoing PhD research project. Requests to access the datasets should be directed to the corresponding author.

Acknowledgments

The authors would like to thank Robert Potzmann from Allnex Belgium SA/NV for providing the UV resin material RAYLOK™ C1100 for the experiments.

Conflicts of Interest

Allnex Belgium SA/NV had no role in the design of the study; in the collection, analyses, or interpretation of data; in the writing of the manuscript, and in the decision to publish the results. The authors declare no conflicts of interest.

Abbreviations

The following abbreviations are used in this manuscript:
AFPAutomated fiber placement
BADGE-DADiglycidyl ether diacrylate
BAPOBisacylphosphine oxide
CFCarbon fiber
CF UDCarbon fiber unidirectional
CFRPCarbon fiber reinforced polymer
ddistance of lamp to sensor
DPGDADipropylene glycol diacrylate
EBElectron beam
FAWFiber areal weight
FFFlax fiber
FF UDFlax fiber unidirectional
FRPCFiber-reinforced polymer composite
FVFFiber volume fraction
GFGlass fiber
GF FGlass fiber fleece
GF MGlass fiber randomly oriented mat
GF PGlass fiber plane weave fabric
GF TfGlass fiber fine 2 × 2 twill weave fabric
GF TtGlass fiber thick 2 × 2 twill weave fabric
GF UDGlass fiber unidirectional
GFRPGlass fiber reinforced polymer
PUV lamp power
PIPhotoinitiator
RSLRayleigh scattering loss
UDUnidirectional
UVUltraviolet (light)

References

  1. Mlýnek, J.; Petrů, M.; Martinec, T.; Koloor, S.S.R. Fabrication of High-Quality Polymer Composite Frame by a New Method of Fiber Winding Process. Polymers 2020, 12, 1037. [Google Scholar] [CrossRef]
  2. Abliz, D.; Duan, Y.; Steuernagel, L.; Xie, L.; Li, D.; Ziegmann, G. Curing Methods for Advanced Polymer Composites—A Review. Polym. Polym. Compos. 2013, 21, 341–348. [Google Scholar] [CrossRef]
  3. Yang, G.; Park, M.; Park, S.J. Recent progresses of fabrication and characterization of fibers-reinforced composites: A review. Compos. Commun. 2019, 14, 34–42. [Google Scholar] [CrossRef]
  4. Sun, S.; Han, Z.; Fu, H.; Jin, H.; Dhupia, J.S.; Wang, Y. Defect Characteristics and Online Detection Techniques During Manufacturing of FRPs Using Automated Fiber Placement: A Review. Polymers 2020, 12, 1337. [Google Scholar] [CrossRef] [PubMed]
  5. Chawla, K.K. Composite Materials: Science and Engineering, 4th ed.; Springer Nature: Cham, Switzerland, 2019. [Google Scholar] [CrossRef]
  6. Grand View Research, Inc. Composites Market Size, Share & Trends Analysis Report by Product Type (Carbon Fiber, Glass Fiber), by Manufacturing Process (Layup, Filament, Injection Molding, Pultrusion), by End-use, by Region and Segment Forecasts, 2023–2030. Available online: https://www.grandviewresearch.com/industry-analysis/composites-market (accessed on 10 May 2025).
  7. MarketsandMarkets Research Pvt. Ltd. Composites Market by Fiber Type (Glass Fiber Composites, Carbon Fiber Composites, Natural Fiber Composites), Resin Type (Themoset Composites, Thermoplastic Composites), Manufacturing Process, End-Use Industry, and Region–Global Forecast to 2028; Markets and Markets Research Pvt. Ltd.: Pune, India, 2024; Available online: https://www.marketsandmarkets.com/Market-Reports/composite-market-200051282.html (accessed on 10 May 2025).
  8. Precedence Research Pvt. Ltd. Composites Market (by Resin: Thermoplastic, Thermosetting; by Product: Carbon Fiber, Glass Fiber; by Manufacturing Process: Injection Molding Process, Resin Transfer Molding Process, Pultrusion Process, Layup Process, Filament Winding Process, Compression Molding Process; End Use: Electrical & Electronics, Automotive & Transportation, Wind Energy, Aerospace & Defense, Pipes & Tanks, Construction & Infrastructure, Other)—Global Market Size, Trends Analysis, Segment Forecasts, Regional Outlook 2023–2032; Precedence Research Pvt. Ltd.: Ottawa, ON, Canada, 2022. [Google Scholar]
  9. InsightAce Analytic Pvt. Ltd. Composites Market Size, Share & Trends Analysis Report by Fiber Type (Glass Fiber Composites, Carbon Fiber Composites, Natural Fiber Composites), Resin Type (Thermoset Composites, Thermoplastic Composites), Manufacturing Process, by End-Use Industry, by Region, and Segment Forecasts, 2024–2031; InsightAce Analytic Pvt. Ltd.: Pune, India, 2024. [Google Scholar]
  10. Cender, T.A.; Simacek, P.; Advani, S.G. Resin film impregnation in fabric prepregs with dual length scale permeability. Compos. Part A Appl. Sci. Manuf. 2013, 53, 118–128. [Google Scholar] [CrossRef]
  11. Soutis, C. Fibre reinforced composites in aircraft construction. Prog. Aerosp. Sci. 2005, 41, 143–151. [Google Scholar] [CrossRef]
  12. Cassola, S.; Duhovic, M.; Schmidt, T.; May, D. Machine learning for polymer composites process simulation—A review. Compos. Part B Eng. 2022, 246, 110208. [Google Scholar] [CrossRef]
  13. Sasaki, T. An Introduction to Radiation Curing. In Proceedings of the National Executive Management Workshop on Surface Finishing by Radiation Curing Technology, Bangi, Malaysia, 8–9 September 1993. [Google Scholar]
  14. Endruweit, A.; Johnson, M.S.; Long, A.C. Curing of composite components by ultraviolet radiation: A review. Polym. Compos. 2006, 27, 119–128. [Google Scholar] [CrossRef]
  15. Koleske, J.V. Radiation Curing of Coatings; ASTM International: West Conshohocken, PA, USA, 2002. [Google Scholar] [CrossRef]
  16. Goethals, F.; Paelinck, P.; Vanneste, M.; Lungwitz, R. Fast and Energy Efficient Curing of Composites—Fenecom Project. SOJ Mater. Sci. Eng. 2020, 7, 1–6. [Google Scholar] [CrossRef]
  17. Ebeam Machine. Electron Beam Curing vs UV Curing: Which is Better? 2024. Available online: https://ebeammachine.com/electron-beam-curing-vs-uv-curing-which-is-better/ (accessed on 2 October 2024).
  18. Duan, Y.; Wang, Y.; Tang, Y.; Li, D.; Lu, B. Fabrication and mechanical properties of UV-curable glass fiber-reinforced polymer—Matrix composite. J. Compos. Mater. 2011, 45, 565–572. [Google Scholar] [CrossRef]
  19. Abulizi, D.; Duan, Y.; Li, D.; Lu, B. A new method for glass-fiber reinforced composites manufacturing: Automated fiber placement with in-situ UV curing. In Proceedings of the 2011 IEEE International Symposium on Assembly and Manufacturing (ISAM), Tampere, Finland, 25–27 May 2011; pp. 1–4. [Google Scholar] [CrossRef]
  20. Coons, L.S.; Rangarajan, B.; Godshall, D.; Scranton, A.B. Photopolymerizations of Vinyl Ester: Glass Fiber Composites. In Photopolymerization; Scranton, A.B., Bowman, C.N., Peiffer, R.W., Eds.; ACS Publications: Washington, DC, USA, 1997; Chapter 15; pp. 203–218. [Google Scholar]
  21. Saenz-Dominguez, I.; Tena, I.; Sarrionandia, M.; Torre, J.; Aurrekoetxea, J. Effect of ultraviolet curing kinetics on the mechanical properties of out of die pultruded vinyl ester composites. Compos. Part A Appl. Sci. Manuf. 2018, 109, 280–289. [Google Scholar] [CrossRef]
  22. Endruweit, A.; Ruijter, W.; Johnson, M.S.; Long, A.C. Transmission of ultraviolet light through reinforcement fabrics and its effect on ultraviolet curing of composite laminates. Polym. Compos. 2008, 29, 818–829. [Google Scholar] [CrossRef]
  23. Green, W.A. Industrial Photoinitiators: A Technical Guide; CRC Press, Taylor & Francis Group: Boca Raton, FL, USA, 2010. [Google Scholar]
  24. Carion, P.; Croutxé-Barghorn, C.; l’Hostis, G.; Ibrahim, A.; Allonas, X. UV-Cured Fiber Reinforced Composite Laminates: A Detailed Study of Photonic and Chemical Parameters for Optimized Mechanical Properties. In Proceedings of the 18th European Conference on Composite Materials (ECCM-18), Athens, Greece, 25–28 June 2018. [Google Scholar]
  25. Saenz-Dominguez, I.; Tena, I.; Sarrionandia, M.; Torre, J.; Aurrekoetxea, J. An analytical model of through-thickness photopolymerisation of composites: Ultraviolet light transmission and curing kinetics. Compos. Part B Eng. 2020, 191, 107963. [Google Scholar] [CrossRef]
  26. Zahouily, K.; Decker, C. High-performance UV-cured composite and nanocomposite materials. JEC Compos. Mag. 2007, 32, 75–79. [Google Scholar]
  27. Andrews, D.L. Electromagnetic Radiation. In Encyclopedia of Spectroscopy and Spectrometry; Lindon, J.C., Tranter, G.E., Koppenaal, D.W., Eds.; Academic Press: Cambridge, MA, USA; Elsevier: Amsterdam, The Netherlands, 2017; pp. 427–431. [Google Scholar] [CrossRef]
  28. Decker, C. UV-radiation curing chemistry. Pigment. Resin Technol. 2001, 30, 278–286. [Google Scholar] [CrossRef]
  29. Tri, P.N.; Nguyen, T.V. Radically curable nano-based coatings. In Nanomaterials-Based Coatings: Fundamentals and Applications; Ouellet-Plamondon, C.M., Rtimi, S., Tri, P.N., Eds.; Elsevier: Amsterdam, The Netherlands, 2019; pp. 339–372. [Google Scholar] [CrossRef]
  30. Glauser, T.; Johansson, M.; Hult, A. A comparison of radiation and thermal curing of thick composites. Macromol. Mater. Eng. 2000, 274, 25–30. [Google Scholar] [CrossRef]
  31. Adanur, S.; Arumugham, Y. Characteristics of Ultraviolet Cured Glass–Epoxy Composites Part 2: Results and Discussion. J. Ind. Text. 2002, 32, 107–118. [Google Scholar] [CrossRef]
  32. Yuan, Q.; Yang, M.B.; Mai, Y.W. Ultraviolet curing of Glass Fibre Reinforced Polyester Composites. Adv. Compos. Lett. 2000, 9, 341–346. [Google Scholar] [CrossRef]
  33. Ryer, A.D. Light Measurement Handbook; International Light Technologies: Peabody, MA, USA, 1997. [Google Scholar]
  34. Paschotta, R. Irradiance: RP Photonics Encyclopedia. Available online: https://www.rp-photonics.com/irradiance.html (accessed on 10 May 2025).
  35. Paschotta, R. Radiant Flux: RP Photonics Encyclopedia. Available online: https://www.rp-photonics.com/radiant_flux.html (accessed on 10 May 2025).
  36. Anseth, K.S.; Svaldi, D.C.; Laurencin, C.T.; Langer, R. Photopolymerization of Novel Degradable Networks for Orthopedic Applications. In Photopolymerization; Scranton, A.B., Bowman, C.N., Peiffer, R.W., Eds.; ACS Publications: Washington, DC, USA, 1997; Chapter 14; pp. 189–202. [Google Scholar]
  37. Paschotta, R. Absorption: RP Photonics Encyclopedia. Available online: https://www.rp-photonics.com/absorption.html (accessed on 10 May 2025).
  38. Crivello, J.V.; Narayan, R.; Sternstein, S.S. Fabrication and mechanical characterization of glass fiber reinforced UV-cured composites from epoxidized vegetable oils. J. Appl. Polym. Sci. 1997, 64, 2073–2087. [Google Scholar] [CrossRef]
  39. Lu, J.H.; Youngblood, J.P. Adhesive bonding of carbon fiber reinforced composite using UV-curing epoxy resin. Compos. Part B Eng. 2015, 82, 221–225. [Google Scholar] [CrossRef]
  40. Freitag, C.; Alter, L.; Weber, R.; Graf, T. Theoretical and experimental determination of the polarization dependent absorptance of laser radiation in carbon fibers and CFRP. In Lasers in Manufacturing Conference 2015; Wissenschaftliche Gesellschaft Lasertechnik e.V., Ed.; The German Scientific Laser Society: Munich, Germany, 2015. [Google Scholar]
  41. Anjinappa, C.; Y. J, M.; Ahmed, O.S.; Abbas, M.; Alahmadi, A.A.; Alwetaishi, M.; Alzaed, A.N. Experimental Study and an RSM Modelling on Drilling Characteristics of the Sheep Horn Particle Reinforced Epoxy Composites for Structural Applications. Processes 2022, 10, 2735. [Google Scholar] [CrossRef]
  42. Archana, D.P.; Jagannatha Reddy, H.N.; Prabhakara, R.; Aswath, M.U.; Chandrashekar, A. Processing and Properties of Biodegradable Composites to Strengthen Structures. J. Inst. Eng. Ser. C 2022, 103, 39–52. [Google Scholar] [CrossRef]
  43. Andrew, J.J.; Dhakal, H.N. Sustainable biobased composites for advanced applications: Recent trends and future opportunities—A critical review. Compos. Part C Open Access 2022, 7, 100220. [Google Scholar] [CrossRef]
  44. Kousaalya, A.B.; Zheng, T.; Ayalew, B.; Pilla, S. Ultraviolet-Initiated Curing of Natural Fiber-Reinforced Acrylated Epoxidized Soybean Oil Composites. SAE Int. J. Mater. Manuf. 2021, 14, 407–414. [Google Scholar] [CrossRef]
  45. Nasri, K.; Toubal, L.; Loranger, É.; Koffi, D. Influence of UV irradiation on mechanical properties and drop-weight impact performance of polypropylene biocomposites reinforced with short flax and pine fibers. Compos. Part C Open Access 2022, 9, 100296. [Google Scholar] [CrossRef]
  46. Zimniewska, M.; Batog, J. Ultraviolet-blocking properties of natural fibres. In Handbook of Natural Fibres; Elsevier: Amsterdam, The Netherlands, 2012; pp. 141–167. [Google Scholar] [CrossRef]
  47. Zini, E.; Scandola, M. Green composites: An overview. Polym. Compos. 2011, 32, 1905–1915. [Google Scholar] [CrossRef]
  48. Dicker, M.P.; Duckworth, P.F.; Baker, A.B.; Francois, G.; Hazzard, M.K.; Weaver, P.M. Green composites: A review of material attributes and complementary applications. Compos. Part A Appl. Sci. Manuf. 2014, 56, 280–289. [Google Scholar] [CrossRef]
  49. Saha, B.; Saha, A.; Das, P.; Kakati, A.; Banerjee, A.; Chattopadhyay, P. A comprehensive review of ultraviolet radiation and functionally modified textile fabric with special emphasis on UV protection. Heliyon 2024, 10, e40027. [Google Scholar] [CrossRef]
  50. Dubrovski, P.D.; Golob, D. Effects of Woven Fabric Construction and Color on Ultraviolet Protection. Text. Res. J. 2009, 79, 351–359. [Google Scholar] [CrossRef]
  51. Paschotta, R. Scattering: RP Photonics Encyclopedia. Available online: https://www.rp-photonics.com/scattering.html (accessed on 12 May 2025).
  52. Jacobsen, A.; Neuroth, N.; Reitmayer, F. Absorption and Scattering Losses in Glasses and Fibers for Light Guidance. J. Am. Ceram. Soc. 1971, 54, 186–187. [Google Scholar] [CrossRef]
  53. Kang, S.; Day, D.E.; Stoffer, J.O. Measurement of the refractive index of glass fibers by the Christiansen-Shelyubskii method. J. Non-Cryst. Solids 1997, 220, 299–308. [Google Scholar] [CrossRef]
  54. Zhi, W.; Guobin, R.; Shuqin, L.; Shuisheng, J. Loss properties due to Rayleigh scattering in different types of fiber. Opt. Express 2003, 11, 39–47. [Google Scholar] [CrossRef]
  55. Johar, M.; Chong, W.W.F.; Wong, K.J. Moisture Absorption and Tensile Behaviour of Hybrid Carbon/Flax Composites. Fibers Polym. 2023, 24, 1799–1810. [Google Scholar] [CrossRef]
  56. Calabrese, L.; Fiore, V.; Scalici, T.; Valenza, A. Experimental assessment of the improved properties during aging of flax/glass hybrid composite laminates for marine applications. J. Appl. Polym. Sci. 2018, 136, 47203. [Google Scholar] [CrossRef]
  57. Errajhi, O.; Osborne, J.; Richardson, M.; Dhakal, H.N. Water absorption characteristics of aluminised E-glass fibre reinforced unsaturated polyester composites. Compos. Struct. 2005, 71, 333–336. [Google Scholar] [CrossRef]
  58. Kumar, M.; Jena, H. Study of Water Absorption Behaviour of Glass Fibre Composite Filled with Filler: A Review. In Recent Advances in Mechanical Engineering; Sahoo, S., Yedla, N., Eds.; Lecture Notes in Mechanical Engineering; Springer Nature Singapore Pte Ltd.: Singapore, 2024; pp. 69–81. [Google Scholar] [CrossRef]
  59. Ryan, J.M.; Adams, R.; Brown, S.G.R. Moisture Ingress Effect on Properties of CFRP. In Proceedings of the 17th International Conference on Composite Materials (ICCM17), Edinburgh, UK, 27–31 July 2009. [Google Scholar]
  60. Wan, X.F.; Wang, Y.L.; Zhou, F.G.; Wan, Y.Z. Moisture Absorption Behavior of Carbon Fiber-Reinforced Monomer Casting Nylon Composites. J. Reinf. Plast. Compos. 2004, 23, 1031–1040. [Google Scholar] [CrossRef]
Figure 1. Schematic representation of the experimental setup for UV-irradiance measurements.
Figure 1. Schematic representation of the experimental setup for UV-irradiance measurements.
Textiles 05 00044 g001
Figure 2. Material samples for the experiments. (a) CF UD; (b) FF UD; (c) GF UD; (d) GF P; (e) GF F; (f) GF Tf; (g) GF M; (h) GF Tt.
Figure 2. Material samples for the experiments. (a) CF UD; (b) FF UD; (c) GF UD; (d) GF P; (e) GF F; (f) GF Tf; (g) GF M; (h) GF Tt.
Textiles 05 00044 g002
Figure 3. Minimum and maximum distance between the UV lamp and the UV sensor without activated lamp (top) and with activated lamp (bottom).
Figure 3. Minimum and maximum distance between the UV lamp and the UV sensor without activated lamp (top) and with activated lamp (bottom).
Textiles 05 00044 g003
Figure 4. Transmission results in % for the dry GF material as a function of the number of plies. (a) Configuration 1; (b) configuration 2; (c) configuration 3; (d) configuration 4.
Figure 4. Transmission results in % for the dry GF material as a function of the number of plies. (a) Configuration 1; (b) configuration 2; (c) configuration 3; (d) configuration 4.
Textiles 05 00044 g004
Figure 5. Plotted measurements’ results for impregnated GF UD. The transmitted irradiance E T in mW / cm 2 as a function of the irradiation time (20 s) in configuration (a) 1; (b) 2; (c) 3; (d) 4.
Figure 5. Plotted measurements’ results for impregnated GF UD. The transmitted irradiance E T in mW / cm 2 as a function of the irradiation time (20 s) in configuration (a) 1; (b) 2; (c) 3; (d) 4.
Textiles 05 00044 g005
Figure 6. Plotted measurements’ results for impregnated FF UD. The transmitted irradiance E T in mW / cm 2 as a function of the irradiation time (20 s) in all configurations. (a) For the maximum distance of 58 mm; (b) for the minimum distance of 18 mm.
Figure 6. Plotted measurements’ results for impregnated FF UD. The transmitted irradiance E T in mW / cm 2 as a function of the irradiation time (20 s) in all configurations. (a) For the maximum distance of 58 mm; (b) for the minimum distance of 18 mm.
Textiles 05 00044 g006
Figure 7. Comparison between the UV light transmission of dry and impregnated GF materials as a function of the number of plies for configuration 1: (a) GF UD; (b) GF Tf.
Figure 7. Comparison between the UV light transmission of dry and impregnated GF materials as a function of the number of plies for configuration 1: (a) GF UD; (b) GF Tf.
Textiles 05 00044 g007
Figure 8. Comparison of transmitted irradiance in different dry (a) and impregnated (b) GF material types as a function of the number of plies for configuration 1.
Figure 8. Comparison of transmitted irradiance in different dry (a) and impregnated (b) GF material types as a function of the number of plies for configuration 1.
Textiles 05 00044 g008
Table 1. Overview of the analyzed fiber materials with the main properties.
Table 1. Overview of the analyzed fiber materials with the main properties.
DesignationMaterialFabric StructureThickness [mm]FAW [ g / m 2 ]
CF UDCarbonUD with warp reinforcement~0.2150
FF UDFlaxUD with warp reinforcement~0.25250
GF UDE-GlassUD with warp reinforcement~0.25220
GF ME-GlassChopped random orientated fiber mat~0.5225
GF FE-GlassDense chopped random orientated fiber fleece~0.5100
GF PE-GlassPlain weave fabric~0.05549
GF TfE-Glass2 × 2 twill fabric~0.18163
GF TtE-Glass2 × 2 twill fabric~0.45390
Disclaimer/Publisher’s Note: The statements, opinions and data contained in all publications are solely those of the individual author(s) and contributor(s) and not of MDPI and/or the editor(s). MDPI and/or the editor(s) disclaim responsibility for any injury to people or property resulting from any ideas, methods, instructions or products referred to in the content.

Share and Cite

MDPI and ACS Style

Biavati, L.; Vogl, S.; Drechsler, K. Experimental Analysis of Ultraviolet Radiation Transmission Behavior in Fiber-Reinforced Thermoset Composites During Photopolymerization. Textiles 2025, 5, 44. https://doi.org/10.3390/textiles5040044

AMA Style

Biavati L, Vogl S, Drechsler K. Experimental Analysis of Ultraviolet Radiation Transmission Behavior in Fiber-Reinforced Thermoset Composites During Photopolymerization. Textiles. 2025; 5(4):44. https://doi.org/10.3390/textiles5040044

Chicago/Turabian Style

Biavati, Ludovico, Sylvester Vogl, and Klaus Drechsler. 2025. "Experimental Analysis of Ultraviolet Radiation Transmission Behavior in Fiber-Reinforced Thermoset Composites During Photopolymerization" Textiles 5, no. 4: 44. https://doi.org/10.3390/textiles5040044

APA Style

Biavati, L., Vogl, S., & Drechsler, K. (2025). Experimental Analysis of Ultraviolet Radiation Transmission Behavior in Fiber-Reinforced Thermoset Composites During Photopolymerization. Textiles, 5(4), 44. https://doi.org/10.3390/textiles5040044

Article Metrics

Back to TopTop