Next Article in Journal
Role of Multiple Intermolecular H-Bonding Interactions in Molecular Cluster of Hydroxyl-Functionalized Imidazolium Ionic Liquid: An Experimental, Topological, and Molecular Dynamics Study
Previous Article in Journal
Nuclear Magnetic Resonance (NMR) Assessment of Bio and Crude Oil-Based Rejuvenation
 
 
Font Type:
Arial Georgia Verdana
Font Size:
Aa Aa Aa
Line Spacing:
Column Width:
Background:
Article

Impact of Corn, Bean, and Semolina Flour Blends and Processing Methods on the Physical Properties and Antioxidant Activity of Instant Noodles

by
Diana Aviles-Simental
,
Jose Alberto Gallegos-Infante
*,
Nuria Elizabeth Rocha-Guzmán
,
Alejandro Pérez-Lozano
and
Luz Araceli Ochoa-Martínez
Laboratorio Nacional CONAHCYT de Apoyo a la Evaluación de Productos Bióticos (LaNAEPBi), Unidad de Servicio, Tecnológico Nacional de México/I TecNM/ITD, Blvd. de Durango, Felipe Pescador 1830 Ote., Durango 34080, Mexico
*
Author to whom correspondence should be addressed.
Physchem 2024, 4(3), 356-368; https://doi.org/10.3390/physchem4030025
Submission received: 4 August 2024 / Revised: 19 September 2024 / Accepted: 19 September 2024 / Published: 22 September 2024

Abstract

The main objective was to evaluate the use of common bean flour (CBF), corn flour, and semolina to obtain instant noodles by means of a hot dry and frying process. The hot drying process was conducted at 60 °C for 4 h, and frying was conducted at 140 °C and 160 °C for 1 and 3 min. Proximate analysis, total phenolic content (TPC), the 2,2-diphenyl-1-picrylhydrazyl (DPPH) test, the oxygen radical absorbance capacity (ORAC) assay, phenolic acids and flavonoids profile by UPLC-ESI-MS/MS, the optimal cooking time (OCT), and color and texture analysis (TPA) were conducted. The general linear model and regression analysis were used. The incorporation of CBF resulted in an elevated protein content and TPC of the noodles. The noodles (hot dry) with CBF exhibited an enhanced antioxidant capacity. The adhesiveness has a direct correlation with the cinnamic, chlorogenic, and caffeic acid content (r2 = 0.95 or higher), as well as an inverse relationship with the vanillic, ferulic, and sinapic acids (r2 = −0.80 to −0.85). The dry hot noodles exhibited the lowest value of hardness (31.0 ± 1.5 N). The incorporation of common bean flour and corn flour enhances the nutritional profile of noodles. However, hot dry process affects their mechanical characteristics in comparison to the frying process.

1. Introduction

The World Instant Noodles Association reported that 116.5 billion servings of instant noodles were consumed globally (WINA, 2021) [1]. However, instant noodles are lacking in nutritional value. Chowdhury et al., 2020 [2] indicated that they contain between 8.5% and 12.5% protein and are deficient in dietary fiber and vitamins. Sikander et al. 2017 [3] report that instant noodles contain approximately 2% dietary fiber. Consequently, several strategies have been proposed to enhance the nutritional value of noodles, with the incorporation of legumes being a notable approach. Legumes are a rich source of various bioactive compounds, including polyphenols, bioactive peptides, dietary fiber, phytosterols, and proteins [4].
The protein content of beans ranges from 20% to 30%, as reported by Montoya et al. 2010 [5]. The primary protein fractions in beans are globulin (50–70%) and albumin (10%), with prolamine and glutelin also present in minor quantities [6]. Similar to other food legumes, common beans contain a greater quantity of essential amino acids, including lysine, which most cereals lack. Additionally, dried common beans contain a multitude of bioactive compounds, including galacto-oligosaccharides, protease inhibitors, lectins, phytates, oxalates, and phenolic-rich substances that play a pivotal role in metabolic processes in humans and animals [7].
However, the use of common beans in several countries of the undeveloped world may present a challenge. Nevertheless, the use of broken grains could offer a potential solution. These grains are by-products generated during the harvesting and processing of beans (Phaseolus vulgaris L.). This by-product is a cost-effective raw material with a nutritional profile comparable to that of the intact beans. It is underutilized despite its high potential for producing ingredients for the formulation of various food products [8].
The production of broken bean flour represents a novel approach to utilizing materials with limited added value. The common bean flour contributes to the sustainability of the food industries and is aligned with new trends and consumption habits. Additionally, the flour derived from broken common bean grains represents a potential avenue for enhancing the nutritional profile of foods, providing them with increased protein, insoluble dietary fiber, and resistant starch content [9]. Nevertheless, only a single report has been published on the utilization of this particular flour type for the production of instant noodles [8].
The use of common beans offers numerous advantages. However, they have a relatively low methionine content. Therefore, a blend with cereals such as maize could be employed to increase the presence of this amino acid. The use of corn flour in the development of instant noodles has been conducted with the incorporation of various other flours, including quinoa, sweet potato, and soybean [10].
The majority of noodles are produced through a frying process [3]. However, this method results in a higher lipid content. Consequently, there has been a recent increase in the use of hot-air drying techniques, driven by consumer demand for healthier food options [11]. Nevertheless, different drying techniques can impact a product’s physical and quality attributes, including its appearance, texture, and cooked characteristics [12]. The primary objective of the present study was to assess the efficacy of combining common bean flour with corn flour and semolina to create instant noodles using hot-air drying and frying techniques.

2. Materials and Methods

The following materials were procured from local markets in Durango, Mexico: semolina, xanthan gum, corn flour, Pinto Saltillo (a non-commercial grain, also known as “granza”), and salt. The common bean flour was produced through a process described in the subsequent section.
In order to obtain common bean flour, Pinto Saltillo beans were cleaned and soaked in distilled water for approximately 12 h at room temperature. The beans were then cooked in water for approximately 120 min at boiling temperature, dried for 4 h at 60 °C, and finally milled to flour with a knife mill (IKA, Wilmington, NC, USA) according to Gallegos–Infante et al. 2010 [13].

2.1. Noodle Preparation

The preparation of the noodle samples was conducted in accordance with the conditions described in Table 1. The flour (bean, corn, and semolina) (100 g), salt (1 g), and water were combined for a period of 6 min in a KitchenAid mixer (Artisan Series, Greenville, OH, USA). The dough was then permitted to rest at room temperature for a period of 30 min in order to facilitate the production of noodles. The quantity of water utilized in the noodle formula is contingent upon the desired consistency, with a range of 75 to 90 mL employed. Prior to the drying process, the moisture content of the initial dough was within the range of 33 to 34% by weight.
The dough pieces were thinned and allowed to rest for approximately 15 min, after which they were passed through the cutting blades of the noodle machine to obtain noodle strips (pasta machine).
The noodle samples were subjected to drying processes employing diverse techniques, with the objective of reducing their moisture content to a level below 12%. The noodles were pre-gelatinized using heat vapor (low-speed cook pot) for 9 min, in accordance with the methodology proposed by Gangola et al., 2021 [14]. Subsequently, the noodles were subjected to two distinct drying processes.
The samples were subjected to drying in a cabinet set to a temperature of 60 °C for a duration of 4 h or alternatively, through a process of deep-frying, with the temperature set at either 140 °C or 160 °C for durations of either 1 or 3 min, respectively. The samples were stored in polyethylene bags at 4 °C until required for analysis.
Proximate analysis was conducted on the semolina, common bean, and corn flour to determine its moisture, ash, crude protein, and fat contents. Experimental samples of noodles were determined about protein content only. The composition of the corn flour, legume flours, and noodle samples (crude protein) was determined through the application of established analytical techniques, as outlined by the AACC (2000) [15].

2.2. Chemical Analysis

The total phenolic content (TPC) was determined spectrophotometrically using Folin–Ciocalteu reagent in accordance with the methodology outlined by Singleton et al. 1999 [16]. Two grams of each sample were extracted at room temperature (25 °C) with 10 mL of solvent for a period of 2 h. The mixture was then subjected to centrifugation at 3000 rpm for a duration of 10 min. A quantity of 0.1 mL of the methanolic extract was transferred into a test tube and mixed with 1.5 mL of a saturated solution of sodium carbonate and 0.5 mL of a diluted Folin–Ciocalteu reagent. The container was filled with water to a volume of 10 mL at room temperature. The mixture was then permitted to stand at room temperature for a period of 2 h, after which the absorbance was measured at 760 nm by means of a spectrophotometer Jenway 6705 spectrophotometer (Cole-Parmer, Staffordshire, UK) The total phenolic content (TPC) was expressed as milligrams of gallic acid equivalents (GAE) per 100 g of dry weight. Total flavonoid content (TFC) was tested according to Gallegos–Infante et al. 2010 [13]. Briefly, a sample of 20 μL, blank or standard, was mixed with 7.5 μL of 5% (m/V) of NaNO2, 15 μL of 10% (m/V) AlCl3, 50 μL of 1 M NaOH, and 157 μL of distilled water. The mix was kept in the dark for 5 min, and the absorbance was measured at 515 nm in a microplate reader Daigger® (Vernon Hills, IL, USA). As standard, (+)-catechin was used, and results were shown as mg equivalent of (+)-catechin per 100 g of dry sample.
Antioxidant activity (AA) was determined by two different methods. The first method employed the use of 2,2-diphenyl-1-picrylhydrazyl (DPPH), following the methodology outlined by Brand–Williams et al. 1995 [17]. Briefly, noodle samples (1 g) were extracted with 80% aqueous methanol (10 mL) and then centrifuged at 3000 rpm for 10 min. The DPPH solution was prepared by combining 10 mg of DPPH with 25 mL of 80% methanol. The supernatant (100 µL) was reacted with a freshly prepared DPPH solution (250 µL) and 80% methanol (2 mL). Following a 20 min incubation period in the dark at room temperature, the absorbance was measured at 517 nm against a blank comprising 80% methanol and the reagent solution without the sample extract. The AA was calculated as a percentage of discoloration. The percentage of AA was calculated using the following formula: AA% = [1 − (Abs sample t = 20/Abs control t = 0)] * 100.
Additionally, the ORAC assay was determined according to the procedures described by Huang et al. 2002 [18]. A microplate fluorescence reader (Bio-Tek Instruments Inc., Winooski, VT, USA) was employed with fluorescence filters for an excitation wavelength of 485/20 nm and an emission wavelength of 528/20 nm. The plate reader was operated using the provided software. The samples and the Trolox standard were diluted manually. Three hundred microliters of buffer solution (blank), diluted sample, or Trolox standard were transferred manually to a 96-well flat-bottom polystyrene microplate (Corning Incorporated, Corning, NY, USA) according to the designated positions. The diluted samples from the designated wells of the initial 96-well microplate were transferred to the designated wells of the subsequent 96-well microplate. The latter was promptly covered with an adhesive sealing film, then agitated for 3 min at 37 °C in the incubator, and was subsequently incubated in the preheated microplate reader for a total period of 20 min. Subsequently, the second 96-well microplate was returned to its original position, after which 60 µL of AAPH solution were automatically transferred from the reagent holder to the designated wells. The second 96-well microplate was promptly covered with an adhesive sealing film and immediately transferred to the microplate reader. The fluorescence was then measured at 37 °C for 60 min with readings taken every minute. The peroxyl radical was generated by 2,2′-azobis (2-aminopropane) dihydrochloride (AAPH) during the measurement process, with fluorescein serving as the substrate. The final ORAC values were calculated by means of a regression equation between the Trolox concentration and the net area under the fluorescence decay curve. The net AUC was obtained by subtracting the AUC of the blank from that of the sample. The ORAC values were expressed as Trolox equivalents in accordance with the standard curve. The results were expressed as milligrams of Trolox equivalents per 100 g of sample.

2.3. Phenolics and Flavonoid Profiles

The sample preparation and extraction were conducted in accordance with the methodology described by Gallegos–Infante et al. 2012 [19]. Briefly, ground samples (10 g) in triplicate were dissolved in 70% aqueous acetone (100 mL) for 3 h at room temperature. Subsequently, the crude extracts were concentrated under vacuum in a rotary evaporator at 40 °C. The extracts were freeze-dried. The extractions were performed in triplicate for each sample. For the analysis of phenolic and flavonoid profiles, a methodology proposed by Rocha–Guzmán et al. 2023 [20] was followed.
The chromatographic separation was conducted using a C18 reverse-phase column (Acquity UPLC BEH C18 1.7 μm, 2.1 mm × 100 mm). A binary solvent system comprising 7.5 mM of formic acid in Milli-Q water (solvent A) and acetonitrile (solvent B) was utilized. A step gradient of 3, 9, 16, 50, and 3% of solvent B was set at 0, 1.23, 3.82, 11.40, and 13.24 min, respectively. The column was operated at 35 °C with a constant flow rate of 0.350 mL/min and a column stabilization time of 2.76 min with 3% of solvent B. Ionization was conducted using methanol with 0.1% of formic acid (v/v) as the co-solvent, with a flow rate of 5 μL/min and an isocratic manager (Waters Corp., Wexford, Ireland), according to the methodology described by Diaz–Rivas et al. 2018 [21]. The electrospray ionization (ESI) process was conducted in negative mode, utilizing nitrogen gas as the nebulizer, an ESI source voltage of 2 kV, a collision gas flow rate of 0.13 mL/min, a collision energy of 5.0 for MS mode and 20.0 for MS/MS mode, a desolvation temperature of 400 °C, and a source temperature of 150 °C. To identify and quantify the phenolic and flavonoid profile, multiple reaction monitoring (MRM) mode was employed.
To assess the cooking quality, 10 g of fresh noodles were cooked in 50 milliliters of boiling water. After 2 min, a string was removed every 30 s and squeezed between a pair of transparent glass plates to observe the presence of the white core. The time at which the white core disappeared was deemed the optimal cooking time (OCT) for the noodles [13].

2.4. Color Analysis

The color analysis of the noodle samples was evaluated by measuring the L* (100 = white; 0 = black), a* (+, red; −, green), and b* (+, yellow; −, blue) values using a colorimeter (Minolta CR-400, Minolta Camera, Osaka, Japan) and employing the delta E scale, as described by Gallegos–Infante et al. 2012 [19].

2.5. Texture Analysis

Texture analysis was conducted using a TA-XT2i texture analyzer (Stable Micro Systems, Godalming, UK) to determine the texture characteristics of the freshly cooked noodles. In accordance with the methodology proposed by Hou et al. 2013 [22], five strands of cooked noodles were arranged in a side-by-side configuration on a loading platform for the TPA (texture profile analysis) test. The test parameters were set to TPA mode with an A/LKB-F probe. The speed of the test was 0.8 mm/s before and 2 mm/s during and after the test. The compression ratio was 80%, with a compression time of 2 s and a trigger force of 10 g. The parameters characterizing the texture of the noodles were averaged from five measurements, with the acquired parameters being hardness, springiness, chewiness, adhesiveness, and cohesiveness. All noodles were cooked for the optimal cooking time (OCT) prior to the test.

2.6. Statistical Analysis

The data were subjected to statistical analysis, including ANOVA and regression analysis using Statistica 12.1 software (StatSoft, Inc., Tulsa, OK, USA) to evaluate the relationships between cooking parameters and TPA responses (hardness, adhesiveness, cohesiveness, chewiness, and resilience), as well as to assess the correlation between total polyphenolic content (TPC), total flavonoids content (TFC), and antioxidant and phenolic profiles. Additionally, color and total phenolic content, flavonoids, and antioxidant and phenolic profiles were evaluated through regression analysis. A linear polynomial was fitted to the data in order to obtain regression equations. The statistical significance of the terms in the regression equations was evaluated. The significance of the models was evaluated through model analysis, coefficient of determination (R2) value, and lack of fit.

3. Results

The results of the proximate analysis of the semolina, common bean, and corn flour are shown in Table 2. The highest content of protein was shown by common bean flour, followed by semolina. The lowest protein content was observed in corn flour. The protein value of common bean flour was lower than reported by [19], and the content of lipids in common bean flour was higher than reported by Gallegos–Infante et al., 2010 [13].
The results of the protein analysis are presented in Table 3. As anticipated, the samples with the highest proportion of common bean flour exhibited the highest protein content.
The total phenolic content is presented in Table 3. It can be observed that the presence of common bean flour increases the total phenolic content (TPC). The results of the antioxidant activity in noodles obtained with partial substitution of semolina by common bean flour and corn flour demonstrated an increase in antioxidant activity (see Table 1).
The obtained results of the polyphenolic profile are presented in Table 4. It is evident from this table analysis that there is a greater abundance of phenolic acids in comparison to flavonoids. Further, 4HB, 2HB, protocatecoic, and caffeic acid only showed traces.
Data about the optimal cooking time (OCT) for experimental noodles are shown in Table 3. The fry and hot dry noodles required between 3 and 4 min to cook, and no statistically significant differences were observed in this regard, regardless of whether the process involved common bean and corn flour (p > 0.05).
Color change is an important parameter for evaluating consumer acceptance. The use of common bean flour increases the deltaE, as can be seen in Figure 1a,b (hot dry and frying, respectively).
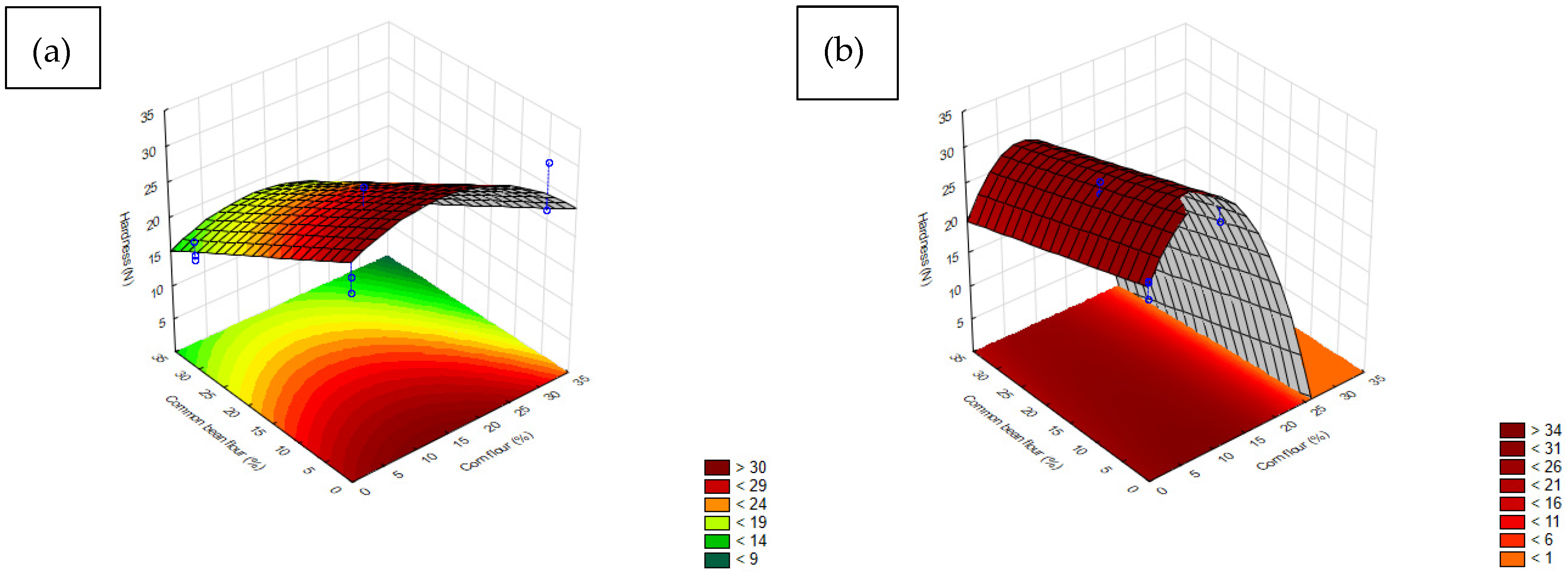
The results of the hardness analysis of the noodles (hot dry) demonstrated an interaction between the common bean flour and corn flour, with a lower proportion of bean flour resulting in greater hardness due to the corn flour. Conversely, at higher levels of bean flour, lower hardness was observed. This was evident in both the hot dry noodles (Figure 2a) and the frying noodles (Figure 2b).
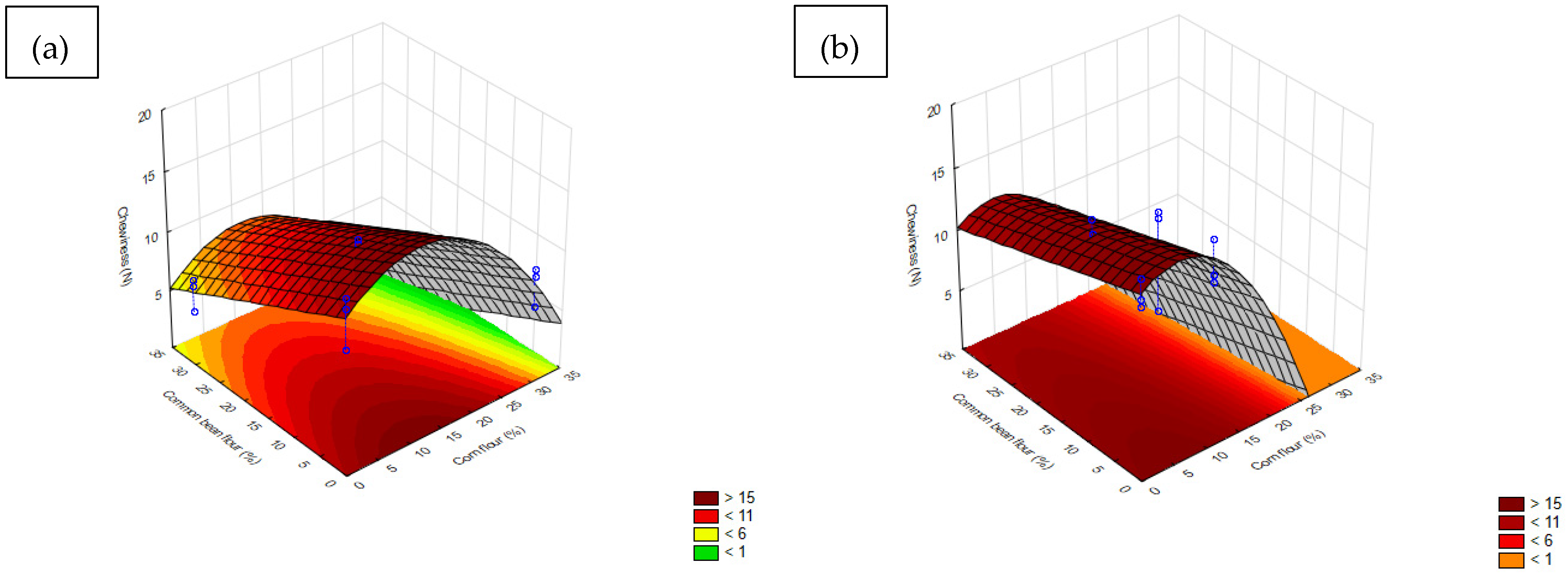
Another crucial quality parameter of noodles is the degree of chewiness, the results of which are shown in Figure 3a,b.
The remaining TPA parameters, including adhesiveness, resilience, cohesiveness, springiness, and gumminess, are presented in Table 5.

4. Discussion

As anticipated, the samples with the highest proportion of common bean flour exhibited the highest protein content. This is in line with the findings of several previous studies that have reported the high protein content of common beans [13].
The presence of polyphenols has been linked to enhanced quality characteristics of products made with wheat flour [23]. However, in the case of noodles, the negative impact of diluting the gluten was not inhibited by the increased content of polyphenols Thus, the formed glutenous network is weakened [4].
The antioxidant activity showed a marginal increase (10%) that was statistically significant (p < 0.05). Notably, the air-heat noodles exhibited a higher antioxidant activity than the frying noodles. The elevated antioxidant activity may be associated with the polyphenol content. It has been demonstrated in numerous studies that the incorporation of legumes into noodles results in an increase in polyphenols and their antioxidant capacity [24].
On the other side, the observed marginal increase in antioxidant capacity in noodles could be attributed to the low levels of polyphenols present in common bean flour, which are likely a consequence of high thermal treatment (cooking, milling, drying, and pasta formulation). This results in lower polyphenol content in common bean flour. Yu et al. 2023 [25] claim that the cooking process of pasta presents a challenge due to the thermal instability of phenolic compounds. These compounds are susceptible to degradation when exposed to water and heat, which can diminish the antioxidant activity of the noodles. Furthermore, the type of thermal treatment is crucial in influencing the phenolic content and antioxidant activity.
The findings indicated that noodles obtained via air-drying procedure exhibited the highest antioxidant capacity. This observation aligns with the findings of Tang et al. 2024 [26] on noodles of tartary buckwheat about higher antioxidant capacity in air-drying noodles in comparison to fried noodles.
Regarding the polyphenolic profile, it is crucial to acknowledge that only free phenols were subjected to analysis. Previous research has indicated that grains and cereals possess a significant concentration of bounded polyphenols that are attached to the fiber [27]. Consequently, further experimental data are required to elucidate the impact of bounded and free polyphenols. Comparative analysis between the corn and bean flour-based noodle samples revealed that the incorporation of corn flour resulted in a notable increase in ferulic acid, whereas the addition of bean flour led to enhanced levels of benzoic acid (comparable to those observed with corn flour) and flavonoids, including kaempferol. Notably, this latter compound was not detected in the final noodle product.
The fry and hot dry noodles required between 3 and 4 min to cook, and no statistically significant differences were observed in this regard, regardless of whether the process involved common bean and corn flour (p > 0.05). This is an intriguing outcome since several previous studies have suggested that the use of common bean flour may lead to a reduction in the OCT [11]. However, the resulting noodles displayed a more fragile structure.
Color change is an important parameter for evaluating consumer acceptance. The use of common bean flour increases the deltaE. This behavior has been reported by Gallegos–Infante et al. 2010 [13], where spaghetti fortified with 30% common bean flour exhibited a relative difference of (20.7), which is higher than the value observed in the present work. The authors attributed this difference to the use of common bean flour, which resulted in a darker color. Also, Setiady et al. 2007 [28], observed that the incorporation of diverse ingredients into pasta noodles led to an enhancement in color change. In the case of common beans, this phenomenon has been documented irrespective of the use of whole or dehulled common bean flour. However, minor differences in delta E were observed when the noodles were drying instead of frying. Additionally, the behavior observed (Figure 1b) demonstrated an interaction between corn flour concentrations up to 10%, which increased the difference. It is noteworthy that with zero corn flour concentration, a high delta E value was observed. This latter behavior could be attributed to the use of common bean flour. However, the former interaction is more complex.
The observed color change during the processing of the noodles may be attributed to the reactions triggered by the high temperatures, particularly in the case of frying, which involves the use of common bean flour. The use of a lower temperature in the hot-dry process results in a reduction of the delta E value, which may be attributed to the formation of brown polymers, referred to as melanoidins, during the Maillard reaction. Some researchers hypothesize that low molecular weight chromophore compounds may be responsible for the development of color in thermally processed foods. However, Fogliano et al. 1999 [29] demonstrated a direct correlation between low molecular weight molecules entrapped in protein polymers of high molecular weight (i.e., complexes designated as melanoidins) and the distinctive color associated with food browning.
Texture analysis revealed a direct correlation between adhesiveness and the content of cinnamic, chlorogenic, and caffeic acids (r2 = 0.95 or higher), with an inverse correlation observed between adhesiveness and vanillic, ferulic, and sinapic acids (r2 = −0.80–0.85). Xu et al. 2023 [30] indicate that the use of tea extracts improves several texture parameters while exhibiting a negative effect on adhesiveness. The primary protein in traditional noodles is gluten. The formation of hydrogen bonds between gliadins and polyphenols allows for the modification of gluten conformation.
A number of authors have demonstrated the interaction of chlorogenic acid with gliadin and glutenin through hydrogen bonding and hydrophobic forces, with interaction sites located in close proximity to tyrosine and tryptophan residues [31]. However, when the gluten level is diminished using common bean flour or corn flour, the influence of the polyphenols is diminished, with the exception of the adhesiveness. Krekora et al. 2022 [32] found that polyphenols with low molecular weight (mainly phenolic acids) led to gluten breakdown. In contrast, molecules with high molecular weight stabilized the gluten network by forming covalent or hydrogen bonds between protein SH groups and polyphenol OH groups. Therefore, the polyphenolic profile primarily comprises phenolic acids. However, the presence of flavonoids in common beans has been well documented [33]. Consequently, a dual effect may be present in the noodles, potentially affecting only the adhesiveness. However, more studies about the flavonoids free and bound in the ingredients in special common beans are needed.
On the other side, the results of the hardness analysis of the noodles (hot dry) demonstrated an interaction between the common bean flour and corn flour, with a lower proportion of bean flour resulting in greater hardness due to the corn flour. Conversely, at higher levels of bean flour, lower hardness was observed. Textural property is a significant attribute that affects the overall quality of noodles. The dry-hot noodles exhibited a lower hardness value at a higher drying temperature (60 °C) (31.0 ± 1.5 N) in comparison to the pasta control (semolina and 50 °C) (27.6 ± 1.4 N). Hardness is typically regarded as a primary indicator of noodle texture [34].
In the context of frying noodles, only discernible differences were observed between noodles prepared with bean and semolina flour (17.36 ± 1.35 N) and the pasta control (frying) (30.8 ± 2.31 N). It has been suggested by several authors that the texture properties of noodles are closely related to the composition of starch, gluten, and dietary fiber. In the case of semolina noodles, the gluten is the main component responsible for the texture characteristics, while in the case of composite noodles (semolina, bean, corn), the influence of the gluten is limited, and the starch also plays a key role in the texture. Other authors have indicated that a high-quality noodle is dependent on the development of a robust gluten web, which confers firmness, elasticity, chewiness, and an optimal level of stickiness [35]. However, when gluten is limited, an increase in hardness has been observed, which is related to starch gelatinization and aging during the process [36].
Additionally, the lower value observed for the sample prepared with common bean flour and semolina flour may be attributed to the high fiber content, which impedes the optimal formation of the noodle structure and increases its fragility.
Another crucial quality parameter of noodles is the degree of chewiness, which can be defined as the energy requirements to masticate the noodle for easy swallowing [37]. This parameter was found to be related to the amount of gluten present, with a greater degree of gluten development and higher protein content (glutenin and glutelins) resulting in improved chewiness. In this case, a lower amount of semolina resulted in a reduction in the magnitude of chewiness. However, higher levels (30%) of common bean flour were observed to mitigate this phenomenon in the case of hot air noodles. It is notable that the substitution of bean or corn flour for semolina in frying noodles resulted in a reduction in chewiness. This observation was made when the noodles were partially substituted with these flours, rather than when they were combined in a blend.
With regard to chewiness, lower values were observed for samples containing 30% common bean flour and 70% semolina, as well as for samples containing 30% corn flour and 70% semolina. Several authors have indicated that a high-quality noodle should exhibit firmness, elasticity, and a chewy texture. Additionally, they have suggested that low values of chewiness may prevent the disintegration of composite non-gluten noodles [35].
The term “springiness” refers to the ability of noodles to return to their original thickness after compression. As stated by Tan et al. 2020 [38], noodles with high springiness are considered desirable. Interestingly, higher levels of semolina, including control pasta, were observed to have higher values of springiness, regardless of the processing method (hot dry or frying). This indicates that the partial substitution affects the springiness of the noodles.
Adhesiveness is defined as the degree of stickiness exhibited by noodles and is inversely correlated with the quality of the noodles. Mudgil et al. 2020 [39] observed that the control pasta exhibited a near-zero adhesiveness value. The incorporation of common bean flour or corn flour resulted in more negative adhesiveness values, with a medium semolina content (80%) and no discernible effect on the processing method.
Resilience, as defined by Hou et al. 2013 [22], describes the rubbery state of the noodles and is a measure of recoverable energy after compression. The overall gluten protein network is responsible for providing viscoelasticity to the dough system. The pasta control sample exhibited the highest value of cohesiveness. The hot-dry process resulted in the highest resilience values. Samples with lower resilience were those containing common bean flour and semolina, as well as corn flour and semolina. However, the use of blends of flour-rendered noodles with resilience values similar to those of pasta control, with values higher than those of fried pasta control.
Cohesiveness is defined as the measure of the strength of internal bonds, particularly gluten. It is related to the consumer acceptability of noodles. The results demonstrated that higher values of cohesiveness were observed for hot-dry noodles made with semolina (pasta control). Conversely, lower values of cohesiveness were obtained for the samples with common bean flour and semolina and corn flour and semolina. A similar behavior was observed for other parameters, such as resilience. It can be stated that the use of blends of common bean flour and corn flour represents an interesting alternative for the fortification of noodles without significant alterations to their texture.

5. Conclusions

The incorporation of broken common bean flour into instant noodles enhances the protein and total polyphenol content, irrespective of the processing method employed. The dry-heat process exhibited a higher antioxidant capacity. The incorporation of common bean and corn flour in the aforementioned proportions did not result in a modification of the optimal cooking time for instant noodles. However, it did lead to a discernible alteration in their color. The presence of cinnamic, chlorogenic, and caffeic acid enhanced adhesiveness, whereas the presence of vanillic, ferulic, and sinapic acids had the opposite effect. Therefore, the use of blends of common bean flour and corn flour represents an intriguing avenue for fortifying noodles without significant alterations to their physical properties or an increase in their nutritional profile.

Author Contributions

Conceptualization, J.A.G.-I.; methodology, D.A.-S.; validation, A.P.-L. and N.E.R.-G.; formal analysis, J.A.G.-I.; investigation, L.A.O.-M.; resources, J.A.G.-I.; writing—original draft preparation, J.A.G.-I.; writing—review and editing, J.A.G.-I. All authors have read and agreed to the published version of the manuscript.

Funding

This research was funded by TecNM, grant number 20536.24-P.

Data Availability Statement

The original contributions presented in the study are included in the article, further inquiries can be directed to the corresponding author/s.

Acknowledgments

DAS acknowledges CONAHCYT for the master science scholarship.

Conflicts of Interest

The authors declare no conflicts of interest.

References

  1. World Instant Noodles Association 2021. Available online: https://instantnoodles.org/en/noodles/demand/table/ (accessed on 2 January 2024).
  2. Chowdhury, S.; Nath, S.; Pal, D.; Murmu, P.; Dora, K.C.; Rahman, F.H. Fortification of wheat-based instant noodles with surimi poder: A review. Curr. J. Appl. Sci. Technol. 2020, 39, 117–125. [Google Scholar] [CrossRef]
  3. Sikander, M.; Malik, A.; Khan, M.S.G.; Qurrat-ul-ain, K.R. Instant noodles: Are they really good for health. A Review. Electron. J. Biol. 2017, 13, 23–41. [Google Scholar]
  4. Bayomy, H.; Alamri, E. Technological and nutritional properties of instant noodles that have been enriched with chickpea or lentil flour. J. King Saud. Univ. Sci. 2022, 34, 101833. [Google Scholar] [CrossRef]
  5. Montoya, C.A.; Lallès, J.P.; Beebe, S.; Leterme, P. Diversity of phaseolins represents a potential avenue for enhancing the nutritional profile of common beans (Phaseolus vulgaris). Food Res. Int. 2010, 43, 443–449. [Google Scholar] [CrossRef]
  6. Carbonaro, M.; Maselli, P.; Nucara, A. A study of the structural aspects of legume proteins and their nutraceutical properties. Food Res. Int. 2015, 76, 19–30. [Google Scholar] [CrossRef]
  7. Ganesan, K.; Xu, B. The health benefits of polyphenol-rich dry common beans (Phaseolus vulgaris L.), A review. Int. J. Mol. Sci. 2017, 18, 2331. [Google Scholar] [CrossRef]
  8. Bento, J.A.C.; Bassinello, P.Z.; Morais, D.K.; de Souza Neto, M.A.; Bataus, L.A.M.; Carvalho, R.N. The utilization of pre-gelatinized flours derived from black and carioca bean by-products: The creation of gluten-free instant pasta and baked goods. Int. J. Gastron. Food Sci. 2021, 25, 100383. [Google Scholar] [CrossRef]
  9. Bassinello, P.Z.; Bento, J.A.C.; Gomes, L.D.O.F.; Caliari, M.; Oomah, B.D. The nutritional value of a gluten-free rice and bean-based cake mix. Ciência Rural 2020, 50, 230–238. [Google Scholar] [CrossRef]
  10. Olorunsogo, S.T.; Adebayo, S.E.; Orhevba, B.A.; Awoyinka, T.B. The develop, optimize, and characterize of enriched noodles. J. Agric. Food Res. 2023, 14, 100651. [Google Scholar] [CrossRef]
  11. Pongpichaiudom, A.; Songsermpong, S. The effects of frying, microwave drying, infrared drying, and hot air drying on the microstructure and quality of protein-enriched instant noodles. J. Food Proc. Preserv. 2018, 42, e13560. [Google Scholar] [CrossRef]
  12. Zhang, L.; Nishizu, T.; Hayakawa, S.; Nakashima, R.; Goto, K. The impact of varying drying conditions on the water absorption and gelatinization properties of pasta was investigated. Food Bioprocess Technol. 2013, 6, 2000–2009. [Google Scholar] [CrossRef]
  13. Gallegos-Infante, J.A.; Rocha-Guzman, N.E.; Gonzalez-Laredo, R.F.; Ochoa-Martinez, L.A.; Corzo, N.; Bello-Perez, L.A. The quality of spaghetti pasta containing Mexican common bean flour (Phaseolus vulgaris L.). Food Chem. 2010, 119, 1544–1549. [Google Scholar] [CrossRef]
  14. Gangola, M.P.; Ramadoss, B.R.; Jaiswal, S.; Chan, C.; Mollard, R.; Fabek, H. The fortification of durum wheat pasta with faba bean meal, starch, or protein results in differential effects on noodle composition, starch structure, and in vitro digestibility. Food Chem. 2021, 349, 129167. [Google Scholar] [CrossRef] [PubMed]
  15. AACC. Approved Methods of American Association of Cereal Chemists; American Association of Cereal Chemists Inc.: St. Paul, MN, USA, 2000. [Google Scholar]
  16. Singleton, V.L.; Orthofer, R.; Lamuela-Raventós, R.M. Analysis of total phenols and other oxidation substrates and antioxidants by means of folin-ciocalteu reagent. Methods Enzymol. 1999, 299, 152–178. [Google Scholar] [CrossRef]
  17. Brand-Williams, W.; Cuvelier, M.E.; Berset, C.L.W.T. The antioxidant activity of the sample was evaluated using a free radical method. LWT—Food Sci. Technol. 1995, 28, 25–30. [Google Scholar] [CrossRef]
  18. Huang, D.; Ou, B.; Hampsch-Woodill, M.; Flanagan, J.A.; Prior, R.L. High-throughput assay of oxygen radical absorbance capacity (ORAC) using a multichannel liquid handling system coupled with a microplate fluorescence reader in 96-well format. J. Agric. Food Chem. 2002, 50, 4437–4444. [Google Scholar] [CrossRef]
  19. Gallegos-Infante, J.A.; González-Laredo, R.F.; Rocha-Guzmán, N.E.; Reynoso-Camacho, R.; Fang, Y.; Manthey, R.F.; Chang, S.; García-Rivas, M. The impact of incorporating common bean flour on the cooking quality and antioxidant characteristics of spaghetti. J. Microbiol. Biotechnol. Food Sci. 2012, 2, 730–744. [Google Scholar]
  20. Rocha-Guzmán, N.E.; González-Laredo, R.F.; Moreno-Jiménez, M.R.; Gallegos-Infante, J.A.; Mancera-Rodríguez, J.; Rosales-Villarreal, M.C. Analogs of kombucha derived from maqui juice: Impact of consortium age and sugar concentration on anthocyanin stability, its relationship with antioxidant activity and digestive enzyme inhibition. Food Chem. 2023, 421, 136158. [Google Scholar] [CrossRef]
  21. Díaz-Rivas, J.O.; González-Laredo, R.F.; Chávez-Simental, J.A.; Montoya-Ayón, J.B.; Moreno-Jiménez, M.R.; Gallegos-Infante, J.A.; Rocha-Guzmán, N.E. A comprehensive characterization of extractable phenolic compounds was conducted using UPLC-PDA-ESI-QqQ of Buddleja scordioides plants elicited with salicylic acid. J. Chem. 2018, 2018, 1–10. [Google Scholar] [CrossRef]
  22. Hou, G.G.; Saini, R.; Ng, P.K. Relationship between physicochemical properties of wheat flour, wheat protein composition, and textural properties of cooked Chinese white salted noodles. Cereal Chem. 2013, 90, 419–429. [Google Scholar] [CrossRef]
  23. Pan, J.; Lv, Y.; Jiang, Y.; Zhang, H.; Zhu, Y.; Zhang, S.; Han, J. The impact of catechins on the quality characteristics of wheat flour and bread products. Intl J. Food Sci. Technol. 2022, 57, 290–300. [Google Scholar] [CrossRef]
  24. Choy, A.L.; Morrison, P.D.; Hughes, J.G.; Marriott, P.J.; Small, D.M. Quality and antioxidant properties of instant noodles enhanced with common buckwheat flour. J. Cereal Sci. 2013, 57, 281–287. [Google Scholar] [CrossRef]
  25. Yu, K.; Huang, X.; He, W.; Wu, D.; Du, C. Kinetics of polyphenol losses during the cooking of dried green tea noodles, as influenced by microwave treatment of dough. LWT 2023, 180, 114675. [Google Scholar] [CrossRef]
  26. Tang, R.; Xie, M.; Bai, Y.; Yang, P.; Zhang, F.; Guo, X. Effect of different thermal treatments on flavonoids and quality traits of tartary buckwheat and its noodles. Int. J. Food Sci. Technol. 2024, 59, 151–159. [Google Scholar] [CrossRef]
  27. Carcea, M.; Narducci, V.; Turfani, V.; Giannini, V. Polyphenols in Raw and Cooked Cereals/Pseudocereals/Legume Pasta and Couscous. Foods 2017, 6, 80. [Google Scholar] [CrossRef]
  28. Setiady, D.; Lin, M.; Younce, F.; Rasco, B.A. Incorporation of minced trout (Onchorhynchus mykiss) into egg-based noodles. J. Food Process. Preserv. 2007, 31, 480–491. [Google Scholar] [CrossRef]
  29. Fogliano, V.; Monti, S.M.; Musella, T.; Randazzo, G.; Ritieni, A. Formation of colored Maillard reaction products in a gluten-glucose model system. Food Chem. 1999, 66, 293–299. [Google Scholar] [CrossRef]
  30. Xu, M.; Du, J.; Hou, G.G.; Du, X. The effect of tea extract on the gelatinization of starch, aggregation of gluten, and the quality characteristics of dry yellow alkaline noodles. Int. J. Food Sci. Technol. 2023, 58, 1263–1274. [Google Scholar] [CrossRef]
  31. Zhang, K.; Wen, Q.; Li, T.; Liu, Q.; Wang, Y.; Huang, J. A comparative analysis of the interaction mechanisms between chlorogenic acid/luteolin and glutenin/gliadin was conducted using multi-spectroscopic and thermodynamic methods. J. Mol. Struct. 2021, 1246, 131219. [Google Scholar] [CrossRef]
  32. Krekora, M.; Nawrocka, A. The impact of polyphenol molecular size on gluten protein–polyphenol interactions using FT-Raman spectroscopy. Food Biophys. 2022, 17, 535–544. [Google Scholar] [CrossRef]
  33. Aquino-Bolaños, E.N.; García-Díaz, Y.D.; Chavez-Servia, J.L.; Carrillo-Rodríguez, J.C.; Vera-Guzmán, A.M.; Heredia-García, E. Anthocyanin, polyphenol, and flavonoid contents and antioxidant activity in Mexican common bean (Phaseolus vulgaris L.) landraces. Emir. J. Food Agric. EJFA 2016, 28, 765–771. [Google Scholar] [CrossRef]
  34. Sun, X.; Yu, C.; Fu, M.; Wu, D.; Gao, C.; Feng, X. Extruded whole buckwheat noodles: Effects of processing variables on the degree of starch gelatinization, changes of nutritional components, cooking characteristics and in vitro starch digestibility. Food Funct. 2019, 10, 6362–6373. [Google Scholar] [CrossRef] [PubMed]
  35. Zou, S.; Wang, L.; Wang, A.; Zhang, Q.; Li, Z.; Qiu, J. Effect of moisture distribution changes induced by different cooking temperature on cooking quality and texture properties of noodles made from whole Tartary buckwheat. Foods 2021, 10, 2543. [Google Scholar] [CrossRef] [PubMed]
  36. Milde, L.B.; Chigal, P.S.; Olivera, J.E.; González, K.G. Incorporation of xanthan gum to gluten-free pasta with cassava starch. Physical, textural and sensory attributes. LWT 2020, 131, 109674. [Google Scholar] [CrossRef]
  37. Barak, S.; Mudgil, D.; Khatkar, B.S. Effect of Compositional Variation of Gluten Proteins and Rheological Characteristics of Wheat Flour on the Textural Quality of White Salted Noodles. Int. J. Food Prop. 2014, 17, 731–740. [Google Scholar] [CrossRef]
  38. Tan, H.L.; Tan, T.C.; Easa, A.M. The use of selected hydrocolloids and salt substitutes on structural integrity, texture, sensory properties, and shelf life of fresh no salt wheat noodles. Food Hydrocoll. 2020, 108, 105996. [Google Scholar] [CrossRef]
  39. Mudgil, D.; Barak, S.; Khatkar, B.S. Optimization of textural properties of noodles with soluble fiber, dough mixing time and different water levels. J. Cereal Sci. 2016, 69, 104–110. [Google Scholar] [CrossRef]
Figure 1. Color change in noodles partially substituted with common bean and corn flour (a) hot dry noodles, (b) frying noodles. Semolina range was 70–100%. Blue marks indicate experimental points.
Figure 1. Color change in noodles partially substituted with common bean and corn flour (a) hot dry noodles, (b) frying noodles. Semolina range was 70–100%. Blue marks indicate experimental points.
Physchem 04 00025 g001
Figure 2. The hardness behavior of the noodles that have been partially substituted with common bean and corn flour is demonstrated in two distinct scenarios: (a) hot, dry noodles and (b) frying noodles. The semolina range was between 70 and 100%. Blue marks indicate experimental points.
Figure 2. The hardness behavior of the noodles that have been partially substituted with common bean and corn flour is demonstrated in two distinct scenarios: (a) hot, dry noodles and (b) frying noodles. The semolina range was between 70 and 100%. Blue marks indicate experimental points.
Physchem 04 00025 g002
Figure 3. The chewiness behavior of noodles was partially substituted with common bean and corn flour. (a) Hot, dry noodles; (b) frying noodles. The semolina range was 70–100%. Blue marks indicate experimental points.
Figure 3. The chewiness behavior of noodles was partially substituted with common bean and corn flour. (a) Hot, dry noodles; (b) frying noodles. The semolina range was 70–100%. Blue marks indicate experimental points.
Physchem 04 00025 g003
Table 1. The noodles sample flour composition and process.
Table 1. The noodles sample flour composition and process.
SampleProcessSemolina (%)Bean Flour (%)Corn Flour (%)
N1Frying70030
N2Hot Dry701515
N3Hot Dry80515
N4Frying70300
N5Frying801010
N6Frying10000
N7Hot Dry10000
N8Hot Dry80155
Table 2. Proximate analysis of semolina, common bean, corn flour, and noodle ingredient composition.
Table 2. Proximate analysis of semolina, common bean, corn flour, and noodle ingredient composition.
SemolinaBean FlourCorn Flour
Protein (g/100 g of sample)14.019.89.90
Ash (g/100 g of sample)1.242.401.50
Lipids (g/100 g of sample)1.358.304.60
Humidity (g/100 g of sample)12.37.409.80
Carbohydrates (g/100 g of sample)71.162.174.2
Table 3. Protein, total polyphenolic content (TPC), total flavonoid content (TFC), DPPH, ORAC, and color difference of instant noodles (fry/dry).
Table 3. Protein, total polyphenolic content (TPC), total flavonoid content (TFC), DPPH, ORAC, and color difference of instant noodles (fry/dry).
SampleProcessProtein
(%)
TPC
(mg Gallic Acid eq/100 g Sample)
TFC
(mg Catechin eq/100 g Sample)
DPPH
(%)
ORAC
(mg Trolox eq/100 g Sample)
Optimal Cooking Time (min)
N1Frying9.8 ± 0.1 c33.6 ± 6.2 abc9.2 ± 0.2 a60.5 ± 9.4 b8.0 ± 0.4 b4.0 ± 0.3 a
N2Hot Dry11.0 ± 0.3 d32.5 ± 1.8 ab9.2 ± 0.4 a58.9 ± 0.3 b7.4 ± 0.2 a4.0 ± 0.3 a
N3Hot Dry11.6 ± 0.2 d31.6 ± 2.5 a11.4 ± 0.6 b65.3 ± 0.4 bc7.8 ± 0.4 ab4.0 ± 0.1 a
N4Frying10.1 ± 0.2 c29.0 ± 0.9 a11.3 ± 0.4 b54.5 ± 1.3 a8.9 ± 0.6 c3.7 ± 0.3 a
N5Frying7.8 ± 0.3 a34.7 ± 2.0 bc11.4 ± 0.2 b53.4 ± 3.9 a8.2 ± 0.3 b4.3 ± 0.3 a
N6Frying8.4 ± 0.2 a32.2 ± 2.7 ab10.8 ± 0.2 b50.4 ± 1.5 a7.3 ± 0.1 a4.0 ± 0.0 a
N7Hot Dry9.8 ± 0.2 c30.6 ± 1.0 a8.9 ± 0.8 a51.6 ± 4.4 a9.4 ± 0.3 c4.3 ± 0.3 a
N8Hot Dry9.0 ± 0.2 b28.2 ± 1.0 a9.2 ± 0.3 a52.3 ± 6.0 a8.4 ± 0.1 b4.0 ± 0.0 a
Data shown are the mean ± standard deviation (n = 3). The presence of different letters (a,b,c,d) within the same column indicates a statistically significant difference (p < 0.05, Tukey test).
Table 4. The phenolic acids profile of instant noodles is as follows, expressed in micrograms per gram of dry sample.
Table 4. The phenolic acids profile of instant noodles is as follows, expressed in micrograms per gram of dry sample.
SampleBenzoic AcidVanilic AcidCinnamic AcidCoumaric AcidFerulic AcidSinapic AcidChlorogenic Acid
N10.15 c0.01 a0.01 a0.05 b0.37 d0.01 aTr
N20.09 b0.01 a0.01 aTr0.10 aNDTr
N30.09 bTr0.01 a0.03 a0.26 c0.01 aND
N40.07 a0.01 a0.01 aND0.20 b0.01 aND
N50.07 a0.01 a0.01 a0.05 b0.38 d0.01 a0.01 a
N60.15 c0.01 a0.01 a0.05 b0.42 e0.02 bTr
N70.07 aND0.01 aND0.22 b0.01 aND
N80.07 aND0.01 aNDND0.02 bND
Values were the mean (n = 3) and the standard deviations were less than 0.00 for all data. Tr means traces and ND means not detected. Different letters (a,b,c,d,e) within the same column indicated a statistically significant difference (p < 0.05, Tukey test).
Table 5. Parameters of texture profile analysis of instant noodles.
Table 5. Parameters of texture profile analysis of instant noodles.
SampleProcessAdhesiveness (g.s)Resilience (%)Cohesiveness (%) Springiness (%)
N1Frying−4.4 ± 1.8 d59.8 ± 2.0 a55 ± 10 a54.5 ± 6.6 a
N2Hot Dry−9.0 ± 2.8 c73.2 ± 5.8 c63 ± 10 a60.1 ± 5.2 ab
N3Hot Dry−17.5 ± 3.5 b 72.0 ± 0.9 c67 ± 20 ab61.5 ± 2.1 a
N4Frying−1.0 ± 0.1 e57.2 ± 3.6 a54 ± 10 a66.3 ± 1.9 b
N5Frying−16.8 ± 2.7 b65.6 ± 4.3 b60 ± 10 a77.3 ± 4.3 c
N6Frying0.3 ± 0.1 f60.2 ± 6.5 ab61 ± 10 a68.9 ± 1.8 b
N7Hot Dry−8.1 ± 1.3 c83.0 ± 3.1 d70 ± 10 ab73.7 ± 6.9 bc
N8Hot Dry−27.8 ± 1.2 a73.2 ± 5.1 c68 ± 10 ab67.3 ± 4.7 b
Data shown are the mean ± standard deviation (n = 3). Different letters in the same column indicate significant differences (p < 0.05, Tukey test). Blue marks indicate experimental points.
Disclaimer/Publisher’s Note: The statements, opinions and data contained in all publications are solely those of the individual author(s) and contributor(s) and not of MDPI and/or the editor(s). MDPI and/or the editor(s) disclaim responsibility for any injury to people or property resulting from any ideas, methods, instructions or products referred to in the content.

Share and Cite

MDPI and ACS Style

Aviles-Simental, D.; Gallegos-Infante, J.A.; Rocha-Guzmán, N.E.; Pérez-Lozano, A.; Ochoa-Martínez, L.A. Impact of Corn, Bean, and Semolina Flour Blends and Processing Methods on the Physical Properties and Antioxidant Activity of Instant Noodles. Physchem 2024, 4, 356-368. https://doi.org/10.3390/physchem4030025

AMA Style

Aviles-Simental D, Gallegos-Infante JA, Rocha-Guzmán NE, Pérez-Lozano A, Ochoa-Martínez LA. Impact of Corn, Bean, and Semolina Flour Blends and Processing Methods on the Physical Properties and Antioxidant Activity of Instant Noodles. Physchem. 2024; 4(3):356-368. https://doi.org/10.3390/physchem4030025

Chicago/Turabian Style

Aviles-Simental, Diana, Jose Alberto Gallegos-Infante, Nuria Elizabeth Rocha-Guzmán, Alejandro Pérez-Lozano, and Luz Araceli Ochoa-Martínez. 2024. "Impact of Corn, Bean, and Semolina Flour Blends and Processing Methods on the Physical Properties and Antioxidant Activity of Instant Noodles" Physchem 4, no. 3: 356-368. https://doi.org/10.3390/physchem4030025

APA Style

Aviles-Simental, D., Gallegos-Infante, J. A., Rocha-Guzmán, N. E., Pérez-Lozano, A., & Ochoa-Martínez, L. A. (2024). Impact of Corn, Bean, and Semolina Flour Blends and Processing Methods on the Physical Properties and Antioxidant Activity of Instant Noodles. Physchem, 4(3), 356-368. https://doi.org/10.3390/physchem4030025

Article Metrics

Back to TopTop