Nuclear Magnetic Resonance (NMR) Assessment of Bio and Crude Oil-Based Rejuvenation
Abstract
1. Introduction
2. Materials and Methods
3. Results
3.1. Binder
3.2. Rejuvenation-Softening
3.3. Rejuvenation-Prevention
4. Discussion
4.1. Binder
4.2. Rejuvenation-Softening
4.3. Rejuvenation-Prevention
5. Conclusions
- The primary relaxation time indicated the binder stiffness.
- ○
- A shorter primary relaxation time indicated a softer performance grade when comparing PG 64-22 and PG 76-22.
- ○
- Adding the rejuvenators reduced the primary relaxation time of both PG 64-22 and PG 76-22.
- ○
- UV aging did not drastically change the primary relaxation time of PG 64-22. Applying Rej B before UV aging greatly reduced the primary relaxation time to 0.356 while Rej C slightly increased the time to 0.496 s.
- The other parameter, the primary T1 ratio, indicated additional hydrogen environments formed from oxidative aging.
- ○
- A larger primary ratio indicated a less aged binder.
- ○
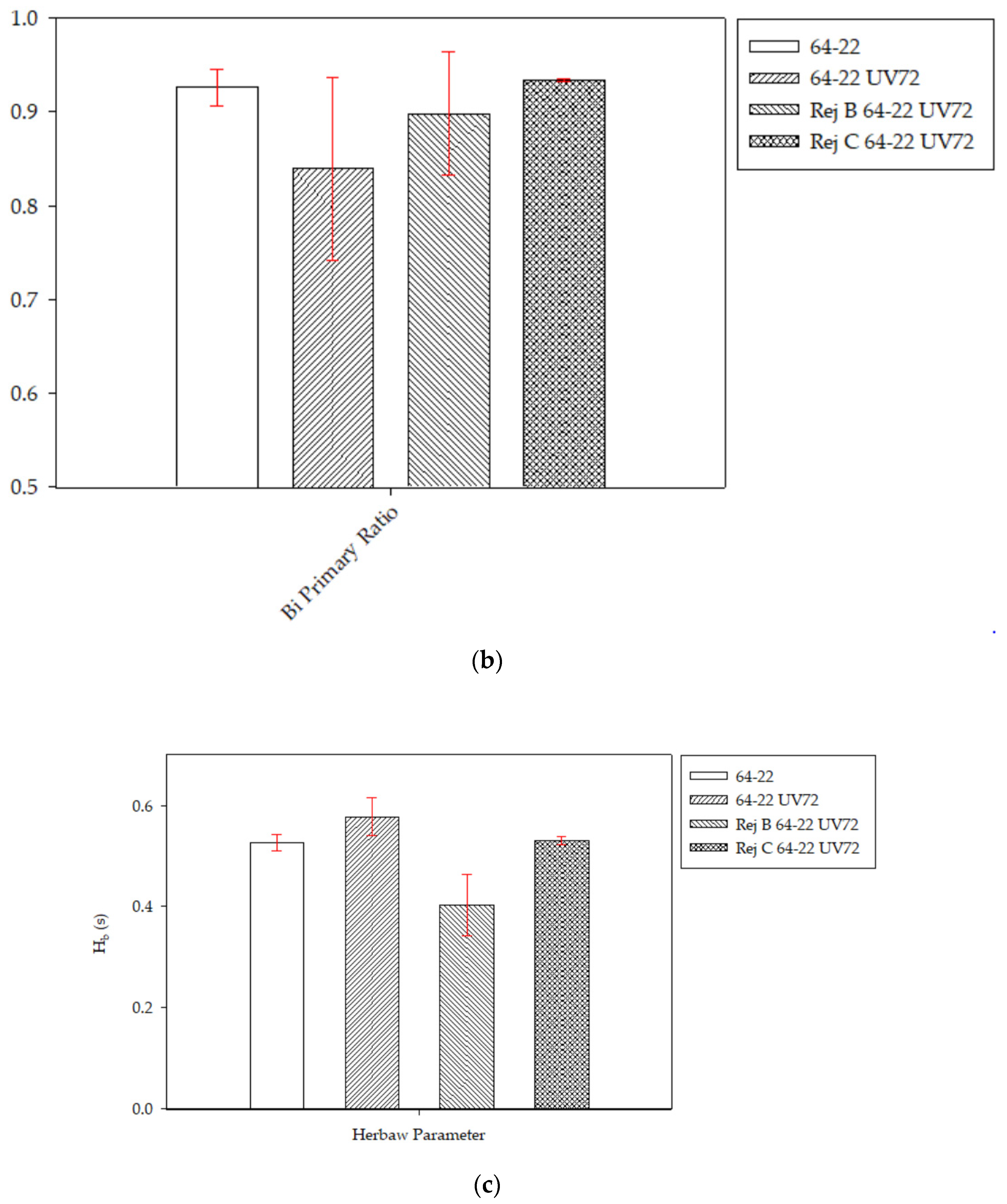
- When the binder was UV-aged, the primary ratio decreased from 0.93 to 0.84. Applying the crude oil rejuvenator before UV aging maintained the primary ratio at 0.93, while the bio-oil rejuvenator’s primary ratio was reduced to 0.82.
- A secondary hydrogen environment had a relaxation time of around 0.002 s. This shorter relaxation time correlated with photo-oxidative aging from UV radiation. As the primary ratio decreased, the ratio corresponding to this environment increased.
- The bio-based rejuvenator softened the material but did not prevent the aggregation of asphaltenes. Alternatively, the crude oil rejuvenator softened and reduced the asphaltene aggregation, indicating signs of a true rejuvenator.
- Both the softening and reduction of oxidative aging effects were summarized in the Herbaw Parameter. The parameter can be used when the change in hydrogen environments is due to aging, not additive materials.
Author Contributions
Funding
Data Availability Statement
Acknowledgments
Conflicts of Interest
References
- Fang, Y.; Zhang, Z.; Yang, J.; Li, X. Comprehensive Review on the Application of Bio-Rejuvenator in the Regeneration of Waste Asphalt Materials. Constr. Build. Mater. 2021, 295, 123631. [Google Scholar] [CrossRef]
- Zahoor, M.; Nizamuddin, S.; Madapusi, S.; Giustozzi, F. Sustainable Asphalt Rejuvenation Using Waste Cooking Oil: A Comprehensive Review. J. Clean. Prod. 2021, 278, 123304. [Google Scholar] [CrossRef]
- Ren, S.; Liu, X.; Lin, P.; Jing, R.; Erkens, S. Toward the Long-Term Aging Influence and Novel Reaction Kinetics Models of Bitumen. Int. J. Pavement Eng. 2022, 24, 2024188. [Google Scholar] [CrossRef]
- Kumar, A.; Choudhary, R.; Kumar, A. Evaluation of Waste Tire Pyrolytic Oil as a Rejuvenation Agent for Unmodified, Polymer-Modified, and Rubber-Modified Aged Asphalt Binders. J. Mater. Civ. Eng. 2022, 34, 04022246. [Google Scholar] [CrossRef]
- Zhou, T.; Cao, L.; Fini, E.H.; Li, L.; Liu, Z.; Dong, Z. Behaviors of Asphalt under Certain Aging Levels and Effects of Rejuvenation. Constr. Build. Mater. 2020, 249, 118748. [Google Scholar] [CrossRef]
- Rajib, A.I.; Samieadel, A.; Zalghout, A.; Kaloush, K.E.; Sharma, B.K.; Fini, E.H. Do All Rejuvenators Improve Asphalt Performance? Road Mater. Pavement Des. 2022, 23, 358–376. [Google Scholar] [CrossRef]
- Lee, J.; Li, S.; Kim, Y.; Lee, J. Effectiveness of Asphalt Rejuvenator. J. Test. Eval. 2013, 41, 433–440. [Google Scholar] [CrossRef]
- Cong, P.; Hao, H.; Zhang, Y.; Luo, W.; Yao, D. Investigation of Diffusion of Rejuvenator in Aged Asphalt. Int. J. Pavement Res. Technol. 2016, 9, 280–288. [Google Scholar] [CrossRef]
- Lamontagne, J.; Dumas, P.; Mouillet, V.; Kister, J. Comparison by Fourier Transform Infrared (FTIR) Spectroscopy of Different Ageing Techniques: Application to Road Bitumens. Fuel 2001, 80, 483–488. [Google Scholar] [CrossRef]
- Lim, C.S.; Jang, D.S.; Yu, S.M.; Lee, J.J. Analysis of the Properties of Modified Asphalt Binder by FTIR Method. Materials 2022, 15, 5743. [Google Scholar] [CrossRef]
- Ržek, L.; Ravnikar Turk, M.; Tušar, M. Increasing the Rate of Reclaimed Asphalt in Asphalt Mixture by Using Alternative Rejuvenator Produced by Tire Pyrolysis. Constr. Build. Mater. 2020, 232, 117177. [Google Scholar] [CrossRef]
- Yan, K.; Lan, H.; Duan, Z.; Liu, W.; You, L.; Wu, S.; Miljković, M. Mechanical Performance of Asphalt Rejuvenated with Various Vegetable Oils. Constr. Build. Mater. 2021, 293, 123485. [Google Scholar] [CrossRef]
- Shen, J.; Amirkhanian, S.; Miller, J.A. Effects of Rejuvenating Agents on Superpave Mixtures Containing Reclaimed Asphalt Pavement. J. Mater. Civ. Eng. 2007, 19, 376–384. [Google Scholar] [CrossRef]
- Caputo, P.; Loise, V.; Ashimova, S.; Teltayev, B.; Vaiana, R.; Oliviero Rossi, C. Inverse Laplace Transform (ILT)NMR: A Powerful Tool to Differentiate a Real Rejuvenator and a Softener of Aged Bitumen. Colloids Surf. A Physicochem. Eng. Asp. 2019, 574, 154–161. [Google Scholar] [CrossRef]
- Ongel, A.; Hugener, M. Impact of Rejuvenators on Aging Properties of Bitumen. Constr. Build. Mater. 2015, 94, 467–474. [Google Scholar] [CrossRef]
- Xing, C.; Tang, S.; Chang, Z.; Han, Z.; Li, H.; Zhu, B. A Comprehensive Review on the Plant-Mixed Cold Recycling Technology of Emulsified Asphalt: Raw Materials and Factors Affecting Performances. Constr. Build. Mater. 2024, 439, 137344. [Google Scholar] [CrossRef]
- Yu, X.; Zaumanis, M.; Dos Santos, S.; Poulikakos, L.D. Rheological, Microscopic, and Chemical Characterization of the Rejuvenating Effect on Asphalt Binders. Fuel 2014, 135, 162–171. [Google Scholar] [CrossRef]
- Hu, D.; Gu, X.; Dong, Q.; Lyu, L.; Cui, B.; Pei, J. Investigating the Bio-Rejuvenator Effects on Aged Asphalt through Exploring Molecular Evolution and Chemical Transformation of Asphalt Components during Oxidative Aging and Regeneration. J. Clean. Prod. 2021, 329, 129711. [Google Scholar] [CrossRef]
- Ren, S.; Liu, X.; Lin, P.; Gao, Y.; Erkens, S. Insight into the Compatibility Behaviors between Various Rejuvenators and Aged Bitumen: Molecular Dynamics Simulation and Experimental Validation. Mater. Des. 2022, 223, 111141. [Google Scholar] [CrossRef]
- Pahlavan, F.; Hung, A.; Fini, E.H. Evolution of Molecular Packing and Rheology in Asphalt Binder during Rejuvenation. Fuel 2018, 222, 457–464. [Google Scholar] [CrossRef]
- Moraes, R. Asphalt Technology News Evaluation of Rejuvenating Fog Seals; Asphalt Technology News; National Center for Asphalt Technology at University of Auburn: Auburn, AL, USA, 2019. [Google Scholar]
- SealMaster. OPTIPAVE Technical Data; SealMaster: Sandusky, OH, USA, 2023. [Google Scholar]
- Golden, J. A Data-Driven Condition Assessment For Asphalt Rejuvenation Using Replacement; Pavement Management Group: Heath, OH, USA, 2021. [Google Scholar]
- POET Rejuvenation Studies—JIVE. Available online: https://poet.com/jive/rejuvenation (accessed on 8 September 2024).
- Radenberg, M.; Boetcher, S.; Sedaghat, N. Effect and Efficiency of Rejuvenators on Aged Asphalt Binder—German Experiences; Czech Technical University in Prague-Central Library: Prague, Czech Republic, 2017. [Google Scholar]
- Mainieri, J.J.G.; Singhvi, P.; Ozer, H.; Sharma, B.K.; Al-Qadi, I.L. Fatigue Tolerance of Aged Asphalt Binders Modified with Softeners. In Transportation Research Record; SAGE Publications Ltd.: London, UK, 2021; Volume 2675, pp. 1229–1244. [Google Scholar]
- Garcia, A.; Jelfs, J.; Austin, C.J. Internal Asphalt Mixture Rejuvenation Using Capsules. Constr. Build. Mater. 2015, 101, 309–316. [Google Scholar] [CrossRef]
- Abe, A.A.; Rossi, C.O.; Eskandarsefat, S.; Porto, M.; Loise, V.; Venturini, L.; Caputo, P. Reclaimed Asphalt Recycling Agents: Looking into the Blueprint of Their Mechanisms of Action. Constr. Build. Mater. 2023, 363, 129843. [Google Scholar] [CrossRef]
- Lu, X.; Soenen, H.; Sjövall, P.; Pipintakos, G. Analysis of Asphaltenes and Maltenes before and after Long-Term Aging of Bitumen. Fuel 2021, 304, 121426. [Google Scholar] [CrossRef]
- Cao, Z.; Chen, M.; Liu, Z.; He, B.; Yu, J.; Xue, L. Effect of Different Rejuvenators on the Rheological Properties of Aged SBS Modified Bitumen in Long Term Aging. Constr. Build. Mater. 2019, 215, 709–717. [Google Scholar] [CrossRef]
- Al-Sabaeei, A.M.; Napiah, M.B.; Sutanto, M.H.; Alaloul, W.S.; Yusoff, N.I.M.; Khairuddin, F.H.; Memon, A.M. Evaluation of the High-Temperature Rheological Performance of Tire Pyrolysis Oil-Modified Bio-Asphalt. Int. J. Pavement Eng. 2022, 23, 4007–4022. [Google Scholar] [CrossRef]
- Zhang, S.; Hong, H.; Zhang, H.; Chen, Z. Investigation of Anti-Aging Mechanism of Multi-Dimensional Nanomaterials Modified Asphalt by FTIR, NMR and GPC. Constr. Build. Mater. 2021, 305, 124809. [Google Scholar] [CrossRef]
- Flávia Justino Uchoa, A.; da Silva Rocha, W.; Peter Macedo Feitosa, J.; Lopes Nogueira, R.; Hellen Almeida de Brito, D.; Barbosa Soares, J.; de Aguiar Soares, S. Bio-Based Palm Oil as an Additive for Asphalt Binder: Chemical Characterization and Rheological Properties. Constr. Build. Mater. 2021, 285, 122883. [Google Scholar] [CrossRef]
- Zhou, T.; Dong, Z.; Wang, P.; Yang, C.; Luan, H. Incorporating Chemical Acids to React with Bio-Oil: Hydrophobicity Improvement and Effect on the Moisture Susceptibility of Bio-Binder. Constr. Build. Mater. 2020, 255, 119402. [Google Scholar] [CrossRef]
- Wang, F.; Zhang, L.; Zhang, X.; Li, H.; Wu, S. Aging Mechanism and Rejuvenating Possibility of SBS Copolymers in Asphalt Binders. Polymers 2020, 12, 92. [Google Scholar] [CrossRef]
- Quezada, G.R.; Solar, C.; Saavedra, J.H.; Petit, K.; Martin-Martínez, F.J.; Arteaga-Pérez, L.E.; Norambuena-Contreras, J. Operando FTIR-ATR with Molecular Dynamic Simulations to Understand the Diffusion Mechanism of Waste Tire-Derived Pyrolytic Oil for Asphalt Self-Healing. Fuel 2024, 357, 129834. [Google Scholar] [CrossRef]
- Herndon, R.M.; Balasubramanian, J.; Woelk, K.; Abdelrahman, M. Physical and Chemical Methods to Assess Performance of TPO-Modified Asphalt Binder. Appl. Sci. 2024, 14, 3300. [Google Scholar] [CrossRef]
- Lu, G.; Zhang, S.; Xu, S.; Dong, N.; Yu, H. Rheological Behavior of Warm Mix Asphalt Modified with Foaming Process and Surfactant Additive. Crystals 2021, 11, 410. [Google Scholar] [CrossRef]
- Deef-Allah, E.; Abdelrahman, M.; Ragab, M. Components’ Exchanges between Recycled Materials and Asphalt Binders in Asphalt Mixes. Adv. Civ. Eng. Mater. 2022, 11, 94–114. [Google Scholar] [CrossRef]
- Herndon, R.; Balasubramanian, J.; Woelk, K.; Abdelrahman, M. Investigating the Physical and Chemical Effects of UV Aging on TPO-Modified Asphalt Binder. Mod. Concepts Mater. Sci. 2024, 6, 1–8. [Google Scholar] [CrossRef]
- Herndon, R.M.; Balasubramanian, J.; Abdelrahman, M.; Woelk, K. Asphalt-Binder Mixtures Evaluated by T1 NMR Relaxometry. Physchem 2024, 4, 285–295. [Google Scholar] [CrossRef]
- Zou, L.; Zhang, Y.; Liu, B. Aging Characteristics of Asphalt Binder under Strong Ultraviolet Irradiation in Northwest China. Sustainability 2021, 13, 10753. [Google Scholar] [CrossRef]
- Mayes, Z.G.; Rice, W.H.; Chi, L.; Woelk, K. A Robust Freeman-Hill-Inspired Pulse Protocol for Ringdown-Free T1 Relaxation Measurements. J. Magn. Reson. 2023, 352, 107490. [Google Scholar] [CrossRef]





| Rej B | Rej C | 64-22 | 76-22 | ||||
|---|---|---|---|---|---|---|---|
| T1 | T1 Ratio | T1 | T1 Ratio | T1 | T1 Ratio | T1 | T1 Ratio |
| 0.590 | 0.73 | 0.496 | 0.93 | 0.487 | 0.93 | 0.505 | 0.92 |
| 1.495 | 0.24 | 0.002 | 0.07 | 0.002 | 0.07 | 0.002 | 0.08 |
| 0.158 | 0.04 | ||||||
| 64-22 | 76-22 | 64-22 UV 72 | ||||
|---|---|---|---|---|---|---|
| T1 | T1 Ratio | T1 | T1 Ratio | T1 | T1 Ratio | |
| Primary | 0.487 | 0.93 | 0.505 | 0.92 | 0.482 | 0.84 |
| Secondary | 0.002 | 0.07 | 0.002 | 0.08 | 0.001 | 0.16 |
| 76-22 | 76-22 Rej B | 76-22 Rej C | |||
|---|---|---|---|---|---|
| T1 | T1 Ratio | T1 | T1 Ratio | T1 | T1 Ratio |
| 0.505 | 0.92 | 0.442 | 0.89 | 0.445 | 0.84 |
| 0.002 | 0.08 | 0.0021 | 0.11 | 0.0004 | 0.16 |
| 64-22 | 64-22 Rej B | 64-22 Rej C | |||
|---|---|---|---|---|---|
| T1 | T1 Ratio | T1 | T1 Ratio | T1 | T1 Ratio |
| 0.487 | 0.93 | 0.431 | 0.87 | 0.422 | 0.70 |
| 0.002 | 0.07 | 0.001 | 0.08 | 0.00004 | 0.24 |
| 0.004 | 0.04 | 0.002 | 0.06 | ||
| 64-22 UV72 | 64-22 UV72 Rej B | 64-22 UV72 Rej C | |||
|---|---|---|---|---|---|
| T1 Average | T1 Ratio | T1 | T1 Ratio | T1 | T1 Ratio |
| 0.482 | 0.84 | 0.356 | 0.82 | 0.496 | 0.93 |
| 0.001 | 0.16 | 0.009 | 0.18 | 0.002 | 0.07 |
Disclaimer/Publisher’s Note: The statements, opinions and data contained in all publications are solely those of the individual author(s) and contributor(s) and not of MDPI and/or the editor(s). MDPI and/or the editor(s) disclaim responsibility for any injury to people or property resulting from any ideas, methods, instructions or products referred to in the content. |
© 2024 by the authors. Licensee MDPI, Basel, Switzerland. This article is an open access article distributed under the terms and conditions of the Creative Commons Attribution (CC BY) license (https://creativecommons.org/licenses/by/4.0/).
Share and Cite
Herndon, R.M.; Balasubramanian, J.; Abdelrahman, M.; Woelk, K. Nuclear Magnetic Resonance (NMR) Assessment of Bio and Crude Oil-Based Rejuvenation. Physchem 2024, 4, 344-355. https://doi.org/10.3390/physchem4030024
Herndon RM, Balasubramanian J, Abdelrahman M, Woelk K. Nuclear Magnetic Resonance (NMR) Assessment of Bio and Crude Oil-Based Rejuvenation. Physchem. 2024; 4(3):344-355. https://doi.org/10.3390/physchem4030024
Chicago/Turabian StyleHerndon, Rebecca M., Jay Balasubramanian, Magdy Abdelrahman, and Klaus Woelk. 2024. "Nuclear Magnetic Resonance (NMR) Assessment of Bio and Crude Oil-Based Rejuvenation" Physchem 4, no. 3: 344-355. https://doi.org/10.3390/physchem4030024
APA StyleHerndon, R. M., Balasubramanian, J., Abdelrahman, M., & Woelk, K. (2024). Nuclear Magnetic Resonance (NMR) Assessment of Bio and Crude Oil-Based Rejuvenation. Physchem, 4(3), 344-355. https://doi.org/10.3390/physchem4030024

