Evaluating the Liming Potential of Mytilus galloprovincialis Shell Waste on Acidic Soils
Abstract
1. Introduction
2. Materials and Methods
2.1. Sampling Process
2.2. Experimental Design and Analyses
- β0, is constant;
- β1, β2, β12, β11, β22, are regression coefficients,
- X1, days of incubation and
- X2, mussel shell ratios.
3. Results
3.1. Physicochemical Properties of Soil and Mussel Shells
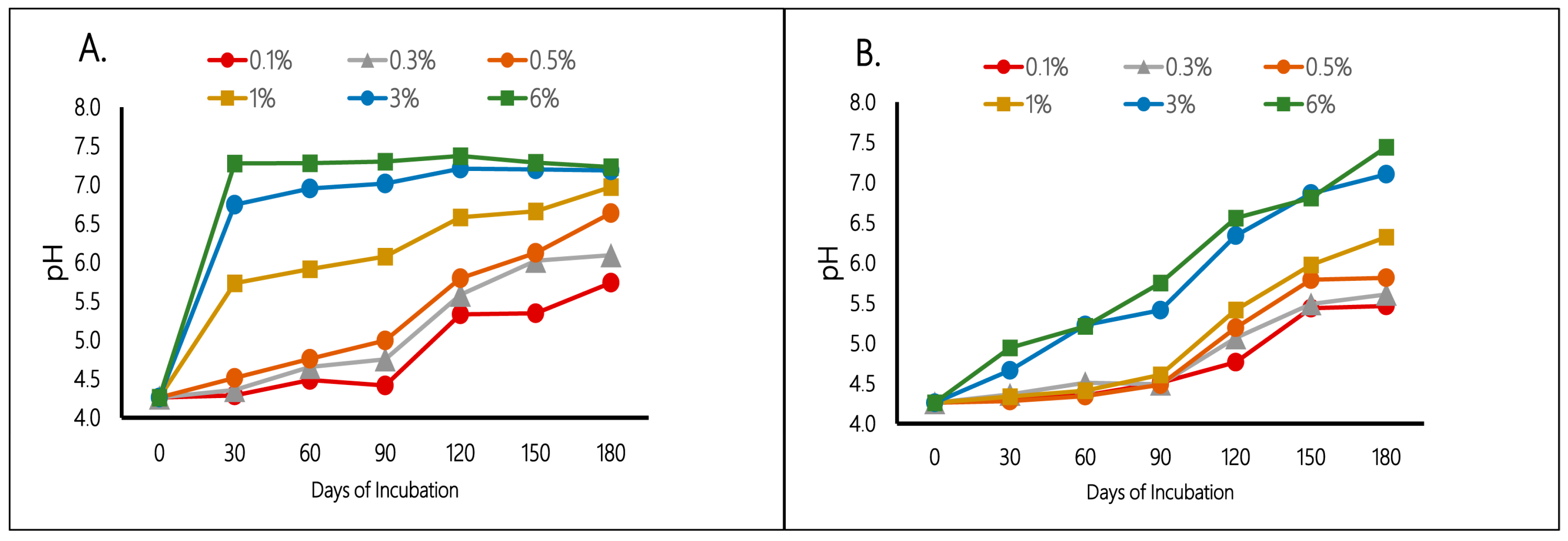
3.2. Effect on Soil pH
- X1 represents Days of Incubation
- X2 represents the Mussel Shell Ratio used
3.3. Effect on Soil Characteristics
4. Discussion
5. Conclusions
Author Contributions
Funding
Institutional Review Board Statement
Informed Consent Statement
Data Availability Statement
Acknowledgments
Conflicts of Interest
Appendix A




References
- Caires, E.F.; Haliski, A.; Bini, A.R.; Scharr, D.A. Surface liming and nitrogen fertilization for crop grain production under no-till management in Brazil. Eur. J. Agron. 2015, 66, 41–53. [Google Scholar] [CrossRef]
- Goulding, K.W.T. Soil acidification and the importance of liming agricultural soils with particular reference to the United Kingdom. Soil Use Manag. 2016, 32, 390–399. [Google Scholar] [CrossRef]
- Karlen, D.L.; Rice, C.W. Soil Degradation: Will Humankind Ever Learn? Sustainability 2015, 7, 12490–12501. [Google Scholar] [CrossRef]
- von Uexküll, H.R.; Mutert, E. Global extent, development and economic impact of acid soils. Plant Soil 1995, 171, 1–15. [Google Scholar] [CrossRef]
- Wright, R.F.; Alewell, C.; Cullen, J.M.; Evans, C.D.; Marchetto, A.; Moldan, F.; Prechtel, A.; Rogora, M. Trends in nitrogen deposition and leaching in acid-sensitive streams in Europe. Hydrol. Earth Syst. Sci. 2001, 5, 299–310. [Google Scholar] [CrossRef]
- Tian, D.; Niu, S. A global analysis of soil acidification caused by nitrogen addition. Environ. Res. Lett. 2015, 10, 024019. [Google Scholar] [CrossRef]
- Meng, C.; Tian, D.; Zeng, H.; Li, Z.; Yi, C.; Niu, S. Global soil acidification impacts on belowground processes. Environ. Res. Lett. 2019, 14, 074003. [Google Scholar] [CrossRef]
- Zhu, Q.; De Vries, W.; Liu, X.; Zeng, M.; Hao, T.; Du, E.; Zhang, F.; Shen, J. The contribution of atmospheric deposition and forest harvesting to forest soil acidification in China since 1980. Atmos. Environ. 2016, 146, 215–222. [Google Scholar] [CrossRef]
- Zhang, Y.; He, X.; Liang, H.; Zhao, J.; Zhang, Y.; Xu, C.; Shi, X. Long-term tobacco plantation induces soil acidification and soil base cation loss. Environ. Sci. Pollut. Res. Int. 2016, 23, 5442–5450. [Google Scholar] [CrossRef]
- Hue, N.V.; Vega, S.; Silva, J.A. Manganese Toxicity in a Hawaiian Oxisol Affected by Soil pH and Organic Amendments. Soil Sci. Soc. Am. J. 2001, 65, 153–160. [Google Scholar] [CrossRef]
- Masud, M.M.; Baquy, M.A.-A.; Akhter, S.; Sen, R.; Barman, A.; Khatun, M.R. Liming effects of poultry litter derived biochar on soil acidity amelioration and maize growth. Ecotoxicol. Environ. Saf. 2020, 202, 110865. [Google Scholar] [CrossRef] [PubMed]
- Vogel, S.; Bönecke, E.; Kling, C.; Kramer, E.; Lück, K.; Philipp, G.; Rühlmann, J.; Schröter, I.; Gebbers, R. Direct prediction of site-specific lime requirement of arable fields using the base neutralizing capacity and a multi-sensor platform for on-the-go soil mapping. Precis. Agric. 2022, 23, 127–149. [Google Scholar] [CrossRef]
- Holland, J.E.; Bennett, A.E.; Newton, A.C.; White, P.J.; McKenzie, B.M.; George, T.S.; Pakeman, R.J.; Bailey, J.S.; Fornara, D.A.; Hayes, R.C. Liming impacts on soils, crops and biodiversity in the UK: A review. Sci. Total Environ. 2018, 610-611, 316–332. [Google Scholar] [CrossRef] [PubMed]
- Hamilton, S.; Kurzman, A.; Arango, C.; Jin, L.; Robertson, G.P.; Hamilton, C. Evidence for Carbon Sequestration by Agricultural Liming. Glob. Biogeochem. Cycles 2007, 21, GB2021. [Google Scholar] [CrossRef]
- Topić Popović, N.; Lorencin, V.; Strunjak-Perović, I.; Čož-Rakovac, R. Shell Waste Management and Utilization: Mitigating Organic Pollution and Enhancing Sustainability. Appl. Sci. 2023, 13, 623. [Google Scholar] [CrossRef]
- Medina Uzcátegui, L.U.; Vergara, K.; Martínez Bordes, G. Sustainable alternatives for by-products derived from industrial mussel processing: A critical review. Waste Manag. Res. 2022, 40, 123–138. [Google Scholar] [CrossRef] [PubMed]
- Jović, M.; Mandić, M.; Šljivić-Ivanović, M.; Smičiklas, I.D. Recent trends in application of shell waste from mariculture. Stud. Mar. 2019, 32, 47–62. [Google Scholar] [CrossRef]
- Jones, M.I.; Wang, L.Y.; Abeynaike, A.; Patterson, D.A. Utilisation of waste material for environmental applications: Calcination of mussel shells for waste water treatment. Adv. Appl. Ceram. 2011, 110, 280–286. [Google Scholar] [CrossRef]
- Mititelu, M.; Stanciu, G.; Drăgănescu, D.; Ioniță, A.C.; Neacșu, S.M.; Dinu, M.; Stefan-van Staden, R.I.; Moroșan, E. Mussel Shells, a Valuable Calcium Resource for the Pharmaceutical Industry. Mar Drugs 2021, 20, 25. [Google Scholar] [CrossRef]
- Mo, K.H.; Alengaram, U.J.; Jumaat, M.Z.; Lee, S.C.; Goh, W.I.; Yuen, C.W. Recycling of seashell waste in concrete: A review. Constr. Build. Mater. 2018, 162, 751–764. [Google Scholar] [CrossRef]
- Morris, J.P.; Backeljau, T.; Chapelle, G. Shells from aquaculture: A valuable biomaterial, not a nuisance waste product. Rev. Aquac. 2019, 11, 42–57. [Google Scholar] [CrossRef]
- Summa, D.; Lanzoni, M.; Castaldelli, G.; Fano, E.A.; Tamburini, E. Trends and Opportunities of Bivalve Shells’ Waste Valorization in a Prospect of Circular Blue Bioeconomy. Resources 2022, 11, 48. [Google Scholar] [CrossRef]
- Alonso, A.A.; Álvarez-Salgado, X.A.; Antelo, L.T. Assessing the impact of bivalve aquaculture on the carbon circular economy. J. Clean. Prod. 2021, 279, 123873. [Google Scholar] [CrossRef]
- Rebouças, J.S.A.; Oliveira, F.P.S.; Araujo, A.C.d.S.; Gouveia, H.L.; Latorres, J.M.; Martins, V.G.; Prentice Hernández, C.; Tesser, M.B. Shellfish industrial waste reuse. Crit. Rev. Biotechnol. 2023, 43, 50–66. [Google Scholar] [CrossRef] [PubMed]
- Lee, C.H.; Lee, D.K.; Ali, M.A.; Kim, P.J. Effects of oyster shell on soil chemical and biological properties and cabbage productivity as a liming materials. Waste Manag. 2008, 28, 2702–2708. [Google Scholar] [CrossRef]
- Lolas, A.; Molla, A.; Georgiou, K.; Apostologamvrou, C.; Petrotou, A.; Skordas, K. Effect of Mussel Shells as Soil pH Amendment on the Growth and Productivity of Rosemary (Rosmarinus officinalis L.) Cultivation. Agriculture 2024, 14, 144. [Google Scholar] [CrossRef]
- Paz-Ferreiro, J.; Baez-Bernal, D.; Castro Insúa, J.; García Pomar, M.I. Effects of mussel shell addition on the chemical and biological properties of a Cambisol. Chemosphere 2012, 86, 1117–1121. [Google Scholar] [CrossRef] [PubMed]
- Álvarez, E.; Fernández-Sanjurjo, M.J.; Seco, N.; Núñez, A. Use of Mussel Shells as a Soil Amendment: Effects on Bulk and Rhizosphere Soil and Pasture Production. Pedosphere 2012, 22, 152–164. [Google Scholar] [CrossRef]
- Fernández-Calviño, D.; Garrido-Rodríguez, B.; Arias-Estévez, M.; Díaz-Raviña, M.; Álvarez-Rodríguez, E.; Fernández-Sanjurjo, M.J.; Nuñez-Delgado, A. Effect of crushed mussel shell addition on bacterial growth in acid polluted soils. Appl. Soil Ecol. 2015, 85, 65–68. [Google Scholar] [CrossRef]
- Rowell, D.L. Soil Science: Methods & Applications, 1st ed.; Routledge: London, UK, 1994. [Google Scholar] [CrossRef]
- Gharibzadeh, F.; Kalantary, R.R.; Golshan, M. Optimization of Influencing Parameters on Phenanthrene Removal Efficiency in Soil Washing Process by Using Response Surface Methodology. Soil Sediment Contam. Int. J. 2018, 27, 46–59. [Google Scholar] [CrossRef]
- Ng, Y.-S.; Sen Gupta, B.; Hashim, M.A. Effects of operating parameters on the performance of washing–electrokinetic two stage process as soil remediation method for lead removal. Sep. Purif. Technol. 2015, 156, 403–413. [Google Scholar] [CrossRef]
- Bhattacharya, S. Central Composite Design for Response Surface Methodology and Its Application in Pharmacy. In Response Surface Methodology in Engineering Science; Palanikumar, K., Ed.; IntechOpen: Rijeka, Croatia, 2021; pp. 1–19. [Google Scholar]
- Fageria, N.K.; Nascente, A.S. Chapter Six—Management of Soil Acidity of South American Soils for Sustainable Crop Production. In Advances in Agronomy; Sparks, D.L., Ed.; Academic Press: Cambridge, MA, USA, 2014; Volume 128, pp. 221–275. [Google Scholar]
- Jones, J.D.; Mallarino, A.P. Influence of Source and Particle Size on Agricultural Limestone Efficiency at Increasing Soil pH. Soil Sci. Soc. Am. J. 2018, 82, 271–282. [Google Scholar] [CrossRef]
- Antoniadou, C.; Voultsiadou, E.; Rayann, A.; Chintiroglou, C. Sessile biota fouling farmed mussels: Diversity, spatio-temporal patterns, and implications for the basibiont. J. Mar. Biol. Assoc. United Kingd. 2013, 93, 1593–1607. [Google Scholar] [CrossRef]
- Tola, B. Studies on the Effects of Liming Acidic Soil on Improving Soil Physicochemical Properties and Yield of Crops: A Review. Middle East Res. J. Agric. Food Sci. 2024, 4, 95–103. [Google Scholar] [CrossRef]
- Rowley, M.C.; Grand, S.; Adatte, T.; Verrecchia, É.P. A cascading influence of calcium carbonate on the biogeochemistry and pedogenic trajectories of subalpine soils, Switzerland. Geoderma 2020, 361, 114065. [Google Scholar] [CrossRef]
- Leiva-Vega, J.; Shene, C.; Silva-Ferrer, D. Optimization of neutralizing power of Mytilus chilensis seashells in acid alluvial soil of Ñuble coast. Chil. J. Agric. Anim. Sci. 2023, 39, 210–216. [Google Scholar] [CrossRef]
- Garau, G.; Castaldi, P.; Deiana, S.; Campus, P.; Mazza, A.; Deiana, P.; Pais, A. Assessment of the use potential of edible sea urchins (Paracentrotus lividus) processing waste within the agricultural system: Influence on soil chemical and biological properties and bean (Phaseolus vulgaris) and wheat (Triticum vulgare) growth in an amended acidic soil. J. Environ. Manag. 2012, 109, 12–18. [Google Scholar] [CrossRef]
- Li, Y.; Cui, S.; Chang, S.X.; Zhang, Q. Liming effects on soil pH and crop yield depend on lime material type, application method and rate, and crop species: A global meta-analysis. J. Soils Sediments 2019, 19, 1393–1406. [Google Scholar] [CrossRef]
- Jacoby, R.; Peukert, M.; Succurro, A.; Koprivova, A.; Kopriva, S. The Role of Soil Microorganisms in Plant Mineral Nutrition—Current Knowledge and Future Directions. Front. Plant Sci. 2017, 8, 1617. [Google Scholar] [CrossRef] [PubMed]
- Rice, C.W.; Moorman, T.B.; Beare, M. Role of Microbial Biomass Carbon and Nitrogen in Soil Quality. In Methods for Assessing Soil Quality; Doran, J.W., Jones, A.J., Eds.; Soil Science Society of America: Madison, WI, USA, 1997; pp. 203–215. [Google Scholar]
- Junior, E.C.; Gonçalves, A.C., Jr.; Seidel, E.P.; Ziemer, G.L.; Zimmermann, J.; Oliveira, V.H.D.d.; Schwantes, D.; Zeni, C.D. Effects of liming on soil physical attributes: A review. J. Agric. Sci. 2020, 12, 278. [Google Scholar] [CrossRef]
- Lewis, R.W.; Barth, V.P.; Coffey, T.; McFarland, C.; Huggins, D.R.; Sullivan, T.S. Altered Bacterial Communities in Long-Term No-Till Soils Associated with Stratification of Soluble Aluminum and Soil pH. Soil Syst. 2018, 2, 7. [Google Scholar] [CrossRef]
- Yadav, D.S.; Jaiswal, B.; Gautam, M.; Agrawal, M. Soil Acidification and its Impact on Plants. In Plant Responses to Soil Pollution; Singh, P., Singh, S.K., Prasad, S.M., Eds.; Springer: Singapore, 2020; pp. 1–26. [Google Scholar] [CrossRef]
- Zhang, Y.; Shen, H.; He, X.; Thomas, B.W.; Lupwayi, N.Z.; Hao, X.; Thomas, M.C.; Shi, X. Fertilization Shapes Bacterial Community Structure by Alteration of Soil pH. Front. Microbiol. 2017, 8, 1325. [Google Scholar] [CrossRef] [PubMed]




| Property | Value |
|---|---|
| Silt (%) | 26.0 |
| Clay (%) | 43.1 |
| Sand (%) | 30.9 |
| pH | 4.26 |
| Electrical conductivity (μS cm−1) | 921.1 |
| Organic carbon (%) | 0.70 |
| Organic matter (%) | 1.21 |
| Total nitrogen (N) (%) | 0.11 |
| Available phosphorus (P) (mg kg−1) | 23 |
| Exchangeable potassium (Κ) (mg kg−1) | 120.9 |
| Property | Values | |
|---|---|---|
| Fine Powder (FP) (<1 mm) | Coarse Powder (CP) (1–2 mm) | |
| pH | 7.08 | 8.72 |
| Calcium Carbonate content (CaCO3) (%) | 75.3 | 24.7 |
| Organic carbon (%) | 1.6 | 0.35 |
| Organic matter (%) | 2.76 | 0.61 |
| Total nitrogen (N) (%) | 0.9 | 0.51 |
| Available phosphorus (P) (mg kg−1) | 397.7 | 116.2 |
| Exchangeable potassium (Κ) (mg kg−1) | 137.8 | 54 |
| pH_Fine Model | |||||
|---|---|---|---|---|---|
| Source | DF | Sum of Squares | Mean Squares | F Ratio | p-Value |
| Model | 5 | 66.511638 | 13.3023 | 79.1544 | <0.05 |
| Error | 30 | 5.041663 | 0.1681 | ||
| Total | 35 | 71.553300 | |||
| pH_Coarse Model | |||||
| Source | DF | Sum of Squares | Mean Squares | F Ratio | p-Value |
| Model | 5 | 39.9188 | 7.9838 | 140.2710 | <0.05 |
| Error | 30 | 1.7075 | 0.0569 | ||
| Total | 35 | 41.6263 | |||
Disclaimer/Publisher’s Note: The statements, opinions and data contained in all publications are solely those of the individual author(s) and contributor(s) and not of MDPI and/or the editor(s). MDPI and/or the editor(s) disclaim responsibility for any injury to people or property resulting from any ideas, methods, instructions or products referred to in the content. |
© 2024 by the authors. Licensee MDPI, Basel, Switzerland. This article is an open access article distributed under the terms and conditions of the Creative Commons Attribution (CC BY) license (https://creativecommons.org/licenses/by/4.0/).
Share and Cite
Lolas, A.; Molla, K.; Georgiou, K.; Apostologamvrou, C.; Petrotou, A.; Skordas, K.; Vafidis, D. Evaluating the Liming Potential of Mytilus galloprovincialis Shell Waste on Acidic Soils. Conservation 2024, 4, 778-791. https://doi.org/10.3390/conservation4040046
Lolas A, Molla K, Georgiou K, Apostologamvrou C, Petrotou A, Skordas K, Vafidis D. Evaluating the Liming Potential of Mytilus galloprovincialis Shell Waste on Acidic Soils. Conservation. 2024; 4(4):778-791. https://doi.org/10.3390/conservation4040046
Chicago/Turabian StyleLolas, Alexios, Katerina Molla, Konstantinos Georgiou, Chrysoula Apostologamvrou, Alexandra Petrotou, Konstantinos Skordas, and Dimitris Vafidis. 2024. "Evaluating the Liming Potential of Mytilus galloprovincialis Shell Waste on Acidic Soils" Conservation 4, no. 4: 778-791. https://doi.org/10.3390/conservation4040046
APA StyleLolas, A., Molla, K., Georgiou, K., Apostologamvrou, C., Petrotou, A., Skordas, K., & Vafidis, D. (2024). Evaluating the Liming Potential of Mytilus galloprovincialis Shell Waste on Acidic Soils. Conservation, 4(4), 778-791. https://doi.org/10.3390/conservation4040046

