Phytoremediation Potential of Melia azedarach and Ailanthus altissima for Pb, Zn, and Cu from Aqueous Solution
Abstract
1. Introduction
2. Results
2.1. Effect of Metals (Pb, Zn, and Cu) on Biomass
2.2. Effect of Metals (Pb, Zn, and Cu) on Photosynthetic Pigments
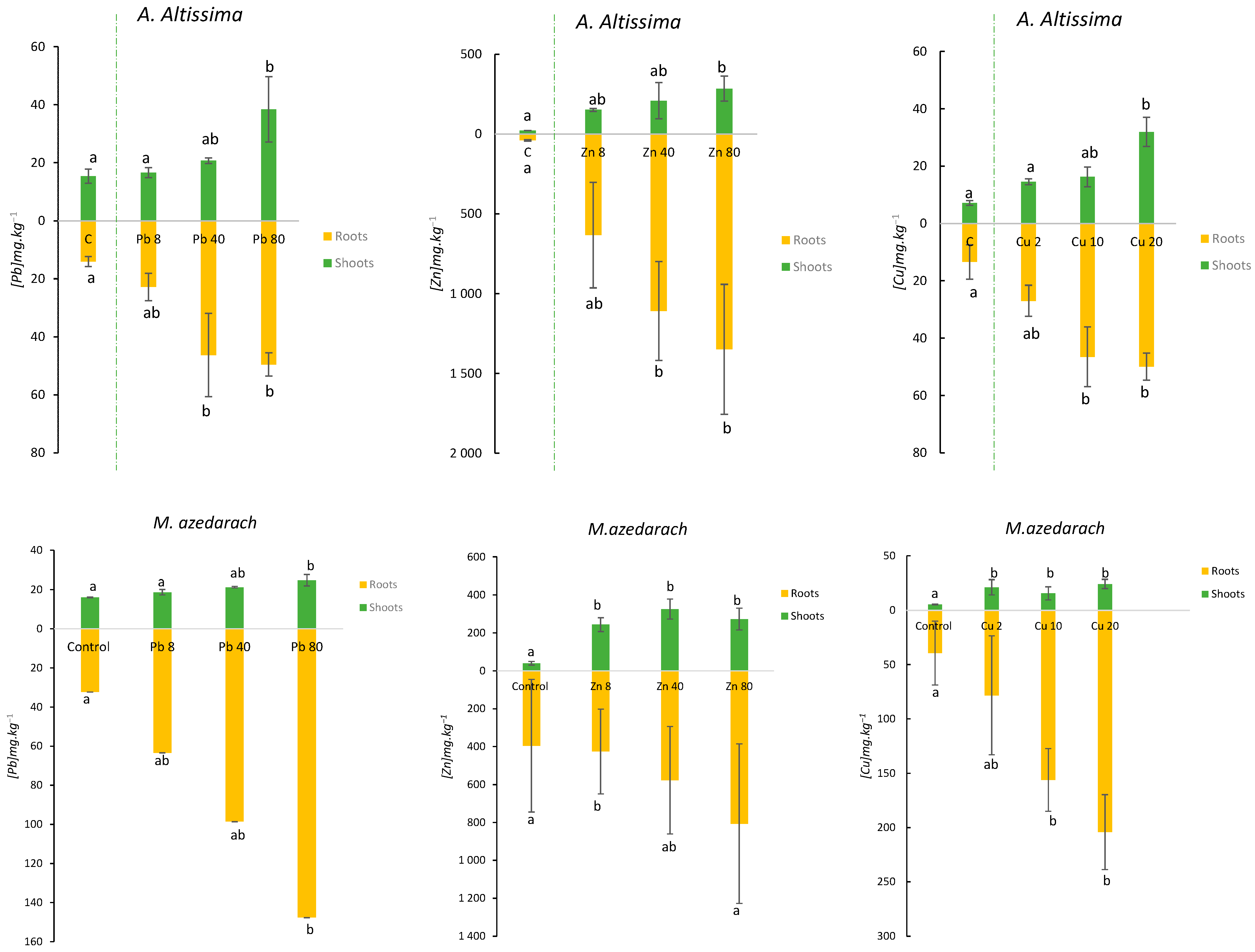
2.3. Pb, Zn, and Cu Concentrations in Shoots and Roots
2.4. Translocation Factor (TF) and Potential of Phytoremediation
3. Materials and Methods
3.1. Plant Material
3.2. Experimental Design
3.3. Harvesting Procedure
3.4. Analytical Determinations
3.5. Translocation Factor (TF)
3.6. Statistical Analysis
4. Conclusions
Author Contributions
Funding
Data Availability Statement
Conflicts of Interest
References
- Zhou, Y.; Wang, L.; Xiao, T.; Chen, Y.; Beiyuan, J.; She, J.; Zhou, Y.; Yin, M.; Liu, J.; Liu, Y.; et al. Legacy of Multiple Heavy Metal(Loid)s Contamination and Ecological Risks in Farmland Soils from a Historical Artisanal Zinc Smelting Area. Sci. Total Environ. 2020, 720, 137541. [Google Scholar] [CrossRef] [PubMed]
- Yang, F.-C.O. The Research of Using STEM-6E Teaching Model in AR Technology Learning: System Development and Evaluation. IIAI Lett. Inform. Interdiscip. Res. 2023, 4, 1. [Google Scholar] [CrossRef]
- Tchounwou, P.B.; Yedjou, C.G.; Patlolla, A.K.; Sutton, D.J. Heavy Metal Toxicity and the Environment. EXS 2012, 101, 133–164. [Google Scholar] [CrossRef] [PubMed]
- Vardhan, K.H.; Kumar, P.S.; Panda, R.C. A Review on Heavy Metal Pollution, Toxicity and Remedial Measures: Current Trends and Future Perspectives. J. Mol. Liq. 2019, 290, 111197. [Google Scholar] [CrossRef]
- Pierattini, E.C.; Francini, A.; Raffaelli, A.; Sebastiani, L. Surfactant and Heavy Metal Interaction in Poplar: A Focus on SDS and Zn Uptake. Tree Physiol. 2017, 38, 109–118. [Google Scholar] [CrossRef] [PubMed]
- Ahamad, A.; Janardhana Raju, N.; Madhav, S.; Gossel, W.; Ram, P.; Wycisk, P. Potentially Toxic Elements in Soil and Road Dust around Sonbhadra Industrial Region, Uttar Pradesh, India: Source Apportionment and Health Risk Assessment. Environ. Res. 2021, 202, 111685. [Google Scholar] [CrossRef]
- Wang, Y.; Zhang, P.; Yang, C.; Guo, Y.; Gao, P.; Wang, T.; Liu, Y.; Xu, L.; Zhou, G. Responses in Plant Growth and Root Exudates of Pistia Stratiotes under Zn and Cu Stress. Plants 2024, 13, 736. [Google Scholar] [CrossRef]
- Giannakoula, A.; Therios, I.; Chatzissavvidis, C. Effect of Lead and Copper on Photosynthetic Apparatus in Citrus (Citrus aurantium L.) Plants. The Role of Antioxidants in Oxidative Damage as a Response to Heavy Metal Stress. Plants 2021, 10, 155. [Google Scholar] [CrossRef] [PubMed]
- ATSDR Priority List of Hazardous Substances; Agency for Toxic Substances and Diseases: Atlanta, Georgia, 2011.
- Zulfiqar, U.; Farooq, M.; Hussain, S.; Maqsood, M.; Hussain, M.; Ishfaq, M.; Ahmad, M.; Anjum, M.Z. Lead Toxicity in Plants: Impacts and Remediation. J. Environ. Manag. 2019, 250, 109557. [Google Scholar] [CrossRef]
- Inglezakis, V.J.; Zorpas, A.A.; Karagianides, A.; Samaras, P.; Voukalli, I. European Union Legislation on Sewage Sludge Management. In Proceedings of the 3’rd International CEMEPE&SECOTOX Conference, Skiathos, Greece, 19–24 June 2011; Grafima Publications: Skiathos, Greece, 2011; pp. 475–480. [Google Scholar]
- Wang, Y.; Dong, R.; Zhou, Y.; Luo, X. Characteristics of Groundwater Discharge to River and Related Heavy Metal Transportation in a Mountain Mining Area of Dabaoshan, Southern China. Sci. Total Environ. 2019, 679, 346–358. [Google Scholar] [CrossRef] [PubMed]
- World Health Organization. Guidelines for Drinking-Water Quality; World Health Organization: Geneva, Switzerland, 2002. [Google Scholar]
- Soltani, N.; Sadeghi, T.; Khalili, P.; Mahmoodi, M.R.; Saadloo, M.; Baneshi, M.R.; Chermahini, S.A.; Shamsizade, A. Comparing the Association between Heavy Metals and Cognitive Status and Depression in Miners and Non-Miners: A Study from Southeast of Iran. Neurotoxicology 2023, 99, 97–103. [Google Scholar] [CrossRef] [PubMed]
- Bhatti, Z.I.; Ishtiaq, M.; Khan, S.A.; Nawab, J.; Ghani, J.; Ullah, Z.; Khan, S.; Baig, S.A.; Muhammad, I.; Din, Z.U.; et al. Contamination Level, Source Identification and Health Risk Assessment of Potentially Toxic Elements in Drinking Water Sources of Mining and Non-Mining Areas of Khyber Pakhtunkhwa, Pakistan. J. Water Health 2022, 20, 1343–1363. [Google Scholar] [CrossRef]
- Sheoran, V.; Sheoran, A.S.; Poonia, P. International Journal of Soil, Sediment and Water Soil Reclamation of Abandoned Mine Land by Revegetation: A Review. Int. J. Soil. Sediment. Water 2010, 3, 13. [Google Scholar]
- Wei, Z.; Gu, H.; Van Le, Q.; Peng, W.; Lam, S.S.; Yang, Y.; Li, C.; Sonne, C. Perspectives on Phytoremediation of Zinc Pollution in Air, Water and Soil. Sustain. Chem. Pharm. 2021, 24, 100550. [Google Scholar] [CrossRef]
- Salas-Moreno, M.; Marrugo-Negrete, J. Phytoremediation Potential of Cd and Pb-Contaminated Soils by Paspalum Fasciculatum Willd. Ex Flüggé. Int. J. Phytoremediat. 2020, 22, 87–97. [Google Scholar] [CrossRef] [PubMed]
- Sarwar, N.; Imran, M.; Shaheen, M.R.; Ishaque, W.; Kamran, M.A.; Matloob, A.; Rehim, A.; Hussain, S. Phytoremediation Strategies for Soils Contaminated with Heavy Metals: Modifications and Future Perspectives. Chemosphere 2017, 171, 710–721. [Google Scholar] [CrossRef] [PubMed]
- Xin, J.; Ma, S.; Li, Y.; Zhao, C.; Tian, R. Pontederia Cordata, an Ornamental Aquatic Macrophyte with Great Potential in Phytoremediation of Heavy-Metal-Contaminated Wetlands. Ecotoxicol. Environ. Saf. 2020, 203, 111024. [Google Scholar] [CrossRef] [PubMed]
- Emenike, C.U.; Jayanthi, B.; Agamuthu, P.; Fauziah, S.H. Biotransformation and Removal of Heavy Metals: A Review of Phytoremediation and Microbial Remediation Assessment on Contaminated Soil. Environ. Rev. 2018, 26, 156–168. [Google Scholar] [CrossRef]
- Juwarkar, A.A.; Jambhulkar, H.P. Phytoremediation of Coal Mine Spoil Dump through Integrated Biotechnological Approach. Bioresour. Technol. 2008, 99, 4732–4741. [Google Scholar] [CrossRef] [PubMed]
- Banerjee, R.; Goswami, P.; Mukherjee, A. Stabilization of Iron Ore Mine Spoil Dump Sites with Vetiver System. In Bio-Geotechnol. Mine Site Rehabil; Elsevier: Amsterdam, The Netherlands, 2018; pp. 393–413. [Google Scholar] [CrossRef]
- Yan, A.; Wang, Y.; Tan, S.N.; Mohd Yusof, M.L.; Ghosh, S.; Chen, Z. Phytoremediation: A Promising Approach for Revegetation of Heavy Metal-Polluted Land. Front. Plant Sci. 2020, 11, 513099. [Google Scholar] [CrossRef]
- Gavrilescu, M. Enhancing Phytoremediation of Soils Polluted with Heavy Metals. Curr. Opin. Biotechnol. 2022, 74, 21–31. [Google Scholar] [CrossRef] [PubMed]
- Monaci, F.; Trigueros, D.; Mingorance, M.D.; Rossini-Oliva, S. Phytostabilization Potential of Erica australis L. and Nerium oleander L.: A Comparative Study in the Riotinto Mining Area (SW Spain). Environ. Geochem. Health 2020, 42, 2345–2360. [Google Scholar] [CrossRef]
- Cetinkaya, G.; Sozen, N. Plant Species Potentially Useful in the Phytostabilization Process for the Abandoned CMC Mining Site in Northern Cyprus. Int. J. Phytoremediat. 2011, 13, 681–691. [Google Scholar] [CrossRef] [PubMed]
- Zhivotovsky, O.P.; Kuzovkina, J.A.; Schulthess, C.P.; Morris, T.; Pettinelli, D.; Ge, M. Hydroponic Screening of Willows (Salix L.) for Lead Tolerance and Accumulation. Int. J. Phytoremediat. 2010, 13, 75–94. [Google Scholar] [CrossRef] [PubMed]
- Stylianou, M.; Gavriel, I.; Vogiatzakis, I.N.; Zorpas, A.; Agapiou, A. Native Plants for the Remediation of Abandoned Sulphide Mines in Cyprus: A Preliminary Assessment. J. Environ. Manag. 2020, 274, 110531. [Google Scholar] [CrossRef]
- Dias, M.C.; Azevedo, C.; Costa, M.; Pinto, G.; Santos, C. Melia Azedarach Plants Show Tolerance Properties to Water Shortage Treatment: An Ecophysiological Study. Plant Physiol. Biochem. 2014, 75, 123–127. [Google Scholar] [CrossRef]
- Horbowicz, M.; Horbowicz, M.; Mitrus, J. Impact of Short-Term Exposure to Lead and Cadmium of Common Buckwheat (Fagopyrum esculentum Moench) Seedlings Grown in Hydroponic Culture. J. Elem. 2020, 25, 633–644. [Google Scholar] [CrossRef]
- Sharma, S.S.; Dietz, K.-J.; Mimura, T. Vacuolar Compartmentalization as Indispensable Component of Heavy Metal Detoxification in Plants. Plant Cell Environ. 2016, 39, 1112–1126. [Google Scholar] [CrossRef]
- Kumar, A.; Prasad, M.N.V.; Sytar, O. Lead Toxicity, Defense Strategies and Associated Indicative Biomarkers in Talinum Triangulare Grown Hydroponically. Chemosphere 2012, 89, 1056–1065. [Google Scholar] [CrossRef]
- Wang, J.; Li, W.; Zhang, C.; Ke, S. Physiological Responses and Detoxific Mechanisms to Pb, Zn, Cu and Cd in Young Seedlings of Paulownia fortunei. J. Environ. Sci. 2010, 22, 1916–1922. [Google Scholar] [CrossRef]
- Küpper, H.; Andresen, E. Mechanisms of Metal Toxicity in Plants. Metallomics 2016, 8, 269–285. [Google Scholar] [CrossRef]
- Sharma, P.; Dubey, R.S. Lead Toxicity in Plants. Braz. J. Plant Physiol. 2005, 17, 35–52. [Google Scholar] [CrossRef]
- Küpper, H.; Setlik, I.; Spiller, M.; Küpper, F.; Prasil, O. Heavy Metal-Induced Inhibition of Photosynthesis: Targets of in Vivo Heavy Metal Chlorophyll Formation. J. Phycol. 2002, 38, 429–441. [Google Scholar] [CrossRef]
- Tian, S.-K.; Lu, L.-L.; Yang, X.-E.; Huang, H.-G.; Brown, P.; Labavitch, J.; Liao, H.-B.; He, Z.-L. The Impact of EDTA on Lead Distribution and Speciation in the Accumulator Sedum Alfredii by Synchrotron X-Ray Investigation. Environ. Pollut. 2010, 159, 782–788. [Google Scholar] [CrossRef] [PubMed]
- Paunov, M.; Koleva, L.; Vassilev, A.; Vangronsveld, J.; Goltsev, V. Effects of Different Metals on Photosynthesis: Cadmium and Zinc Affect Chlorophyll Fluorescence in Durum Wheat. Int. J. Mol. Sci. 2018, 19, 787. [Google Scholar] [CrossRef]
- Pavithra, G.J.; Mahesh, S.; Parvathi, M.S.; Basavarajeshwari, R.M.; Nataraja, K.N.; Shankar, A.G. Comparative Growth Responses and Transcript Profiling of Zinc Transporters in Two Tomato Varieties under Different Zinc Treatments. Indian. J. Plant Physiol. 2016, 21, 208–212. [Google Scholar] [CrossRef]
- De Conti, L.; Cesco, S.; Mimmo, T.; Pii, Y.; Valentinuzzi, F.; B Melo, G.W.; Ceretta, C.A.; Trentin, E.; Marques, A.C.R.; Brunetto, G. Iron Fertilization to Enhance Tolerance Mechanisms to Copper Toxicity of Ryegrass Plants Used as Cover Crop in Vineyards. Chemosphere 2020, 243, 125298. [Google Scholar] [CrossRef] [PubMed]
- Houri, T.; Khairallah, Y.; Al Zahab, A.; Osta, B.; Romanos, D.; Haddad, G. Heavy Metals Accumulation Effects on The Photosynthetic Performance of Geophytes in Mediterranean Reserve. J. King Saud. Univ. Sci. 2020, 32, 874–880. [Google Scholar] [CrossRef]
- You, J.; Chan, Z. Ros Regulation during Abiotic Stress Responses in Crop Plants. Front. Plant Sci. 2015, 6, 165102. [Google Scholar] [CrossRef]
- Abbaslou, H.; Bakhtiari, S. Phytoremediation Potential of Heavy Metals by Two Native Pasture Plants (Eucalyptus grandis and Ailanthus altissima) Assisted with AMF and Fibrous Minerals in Contaminated Mining Regions. Pollution 2017, 3, 471–486. [Google Scholar]
- Lebrun, M.; Alidou Arzika, I.; Miard, F.; Nandillon, R.; Bayçu, G.; Bourgerie, S.; Morabito, D. Effect of Fertilization of a Biochar and Compost Amended Technosol: Consequence on Ailanthus Altissima Growth and As-and Pb-specific Root Sorption. Soil. Use Manag. 2020, 36, 766–772. [Google Scholar] [CrossRef]
- Khamis, M.H.; El-Mahrook, E.M.; Abdelgawad, M.A. Phytoextraction Potential of Cadmium and Lead Contamination Using Melia Azedarach and Populus Alba Seedlings. Afr. J. Biotechnol. 2014, 13, 4726–4732. [Google Scholar] [CrossRef]
- Mohebzadeh, F.; Motesharezadeh, B.; Jafari, M.; Zare, S.; Aman, M.S. Remediation of Heavy Metal Polluted Soil by Utilizing Organic Amendments and Two Plant Species (Ailanthus altissima and Melia azedarach). Arab. J. Geosci. 2021, 14, 1211. [Google Scholar] [CrossRef]
- Đunisijević Bojović, D.; Đukić, M.; Maksimović, V.; Skočajić, D.; Suručić, L. The Effects of Iron Deficiency on Lead Accumulation in Ailanthus altissima (Mill.) Swingle Seedlings. J. Environ. Qual. 2012, 41, 1517–1524. [Google Scholar] [CrossRef]
- Huang, X.; Zhu, F.; He, Z.; Chen, X.; Wang, G.; Liu, M.; Xu, H. Photosynthesis Performance and Antioxidative Enzymes Response of Melia Azedarach and Ligustrum Lucidum Plants Under Pb–Zn Mine Tailing Conditions. Front. Plant Sci. 2020, 11, 571157. [Google Scholar] [CrossRef]
- Nirola, R.; Megharaj, M.; Palanisami, T.; Aryal, R.; Venkateswarlu, K.; Naidu, R. Evaluation of Metal Uptake Factors of Native Trees Colonizing an Abandoned Copper Mine—A Quest for Phytostabilization. J. Sustain. Min. 2015, 14, 115–123. [Google Scholar] [CrossRef]
- Malar, S.; Sahi, S.V.; Favas, P.J.C.; Venkatachalam, P. Mercury Heavy-Metal-Induced Physiochemical Changes and Genotoxic Alterations in Water Hyacinths [Eichhornia crassipes (Mart.)]. Environ. Sci. Pollut. Res. 2015, 22, 4597–4608. [Google Scholar] [CrossRef]
- Nouri, J.; Lorestani, B.; Yousefi, N.; Khorasani, N.; Hasani, A.H.; Seif, F.; Cheraghi, M. Phytoremediation Potential of Native Plants Grown in the Vicinity of Ahangaran Lead–Zinc Mine (Hamedan, Iran). Environ. Earth Sci. 2011, 62, 639–644. [Google Scholar] [CrossRef]
- Ernst, W.H.O. Phytoextraction of Mine Wastes—Options and Impossibilities. Geochemistry 2005, 65, 29–42. [Google Scholar] [CrossRef]
- Millner, P.D.; Kitt, D.G. The Beltsville Method for Soilless Production of Vesicular-Arbuscular Mycorrhizal Fungi. Mycorrhiza 1992, 2, 9–15. [Google Scholar] [CrossRef]
- Krämer, U. Metal Hyperaccumulation in Plants. Annu. Rev. Plant Biol. 2010, 61, 517–534. [Google Scholar] [CrossRef] [PubMed]
- Wintermans, J.F.G.M.; De Mots, A. Spectrophotometric Characteristics of Chlorophylls a and b and Their Phenophytins in Ethanol. Biochim. Biophys. Acta (BBA)-Biophys. Incl. Photosynth. 1965, 109, 448–453. [Google Scholar] [CrossRef]
- Nandillon, R.; Lebrun, M.; Miard, F.; Gaillard, M.; Sabatier, S.; Villar, M.; Bourgerie, S.; Morabito, D. Capability of Amendments (Biochar, Compost and Garden Soil) Added to a Mining Technosol Contaminated by Pb and As to Allow Poplar Seed (Populus nigra L.) Germination. Environ. Monit. Assess. 2019, 191, 465. [Google Scholar] [CrossRef]
- Sylvain, B.; Mikael, M.-H.; Florie, M.; Emmanuel, J.; Marilyne, S.; Sylvain, B.; Domenico, M. Phytostabilization of As, Sb and Pb by Two Willow Species (S. viminalis and S. purpurea) on Former Mine Technosols. Catena 2016, 136, 44–52. [Google Scholar] [CrossRef]
- Mohanty, M.; Patra, H.K. Phytoremediation Potential of Paragrass— An In Situ Approach for Chromium Contaminated Soil. Int. J. Phytoremediat. 2012, 14, 796–805. [Google Scholar] [CrossRef] [PubMed]


| M. azedarach | A. altissima | |||||||||||||||
|---|---|---|---|---|---|---|---|---|---|---|---|---|---|---|---|---|
| Treatments | Chl a | ± | Chl b | ± | Chl a + b | ± | Carotenoids | ± | Chl a | ± | Chl b | ± | Chl a + b | ± | Carotenoids | ± |
| C | 3.441 a | 0.25 | 0.458 a | 0.12 | 3.898 a | 0.36 | 0.995 a | 0.06 | 7.513 a | 2.74 | 1.203 ab | 0.66 | 8.716 a | 3.39 | 2.068 a | 0.58 |
| Zn 8 | 3.002 ab | 0.24 | 0.611 a | 0.27 | 3.613 a | 0.47 | 0.996 a | 0.11 | 5.351 ab | 0.52 | 0.235 ab | 0.54 | 5.586 ab | 0.73 | 1.341 ab | 0.23 |
| Zn 40 | 3.243 a | 0.64 | 0.335 a | 0.27 | 3.578 a | 0.91 | 1.058 a | 0.11 | 4.531 ab | 0.65 | 1.300 ab | 0.23 | 5.831 ab | 0.42 | 1.193 ab | 0.33 |
| Zn 80 | 3.072 ab | 0.33 | −0.095 a | 0.22 | 2.977 a | 0.53 | 1.067 a | 0.08 | 2.966 b | 0.42 | 0.738 ab | 0.68 | 3.704 b | 1.11 | 0.598 b | 0.20 |
| Pb 8 | 1.069 c | 0.78 | 4.537 a | 0.21 | 5.606 a | 0.59 | −1.352 b | 0.28 | 5.014 ab | 0.72 | 0.497 ab | 0.31 | 5.511 ab | 0.47 | 1.048 b | 0.56 |
| Pb40 | 2.279 abc | 0.14 | 0.476 a | 0.16 | 2.755 a | 0.19 | 0.582 ab | 0.08 | 4.543 ab | 0.34 | 1.236 ab | 0.33 | 5.779 ab | 0.65 | 1.095 b | 0.02 |
| Pb 80 | 2.387 abc | 0.80 | 0.111 a | 0.19 | 2.498 a | 0.97 | 0.823 ab | 0.20 | 3.630 b | 0.63 | 1.605 a | 0.70 | 5.235 ab | 1.21 | 0.698 b | 0.14 |
| Cu 2 | 1.019 c | 0.31 | 2.528 a | 0.22 | 3.548 a | 0.49 | −0.665 ab | 0.05 | 4.065 b | 0.57 | 0.968 ab | 0.13 | 5.034 ab | 0.68 | 0.996 b | 0.18 |
| Cu 10 | 2.063 abc | 0.81 | 0.033 a | 4.67 | 2.096 a | 3.92 | 0.761 ab | 2.13 | 4.235 b | 1.07 | 1.820 a | 0.49 | 6.055 ab | 1.45 | 0.989 b | 0.20 |
| Cu 20 | 1.632 bc | 0.37 | 0.100 a | 2.17 | 1.733 a | 1.81 | 0.651 ab | 0.98 | 4.881 ab | 0.74 | −0.175 b | 1.07 | 4.706 b | 0.34 | 1.343 ab | 0.34 |
| Pr > F (Model) | 0.03 | 0.61 | 0.82 | 0.35 | 0.30 | 0.37 | 0.54 | 0.20 | ||||||||
| Species | Pb 8 | Pb 40 | Pb 80 | Zn 8 | Zn 40 | Zn 80 | Cu 2 | Cu 10 | Cu 20 |
|---|---|---|---|---|---|---|---|---|---|
| A. altissima | 0.73 | 0.45 | 0.77 | 0.24 | 0.19 | 0.21 | 0.54 | 0.35 | 0.64 |
| M. azedarach | 0.29 | 0.22 | 0.17 | 0.57 | 0.56 | 0.34 | 0.27 | 0.10 | 0.12 |
Disclaimer/Publisher’s Note: The statements, opinions and data contained in all publications are solely those of the individual author(s) and contributor(s) and not of MDPI and/or the editor(s). MDPI and/or the editor(s) disclaim responsibility for any injury to people or property resulting from any ideas, methods, instructions or products referred to in the content. |
© 2024 by the authors. Licensee MDPI, Basel, Switzerland. This article is an open access article distributed under the terms and conditions of the Creative Commons Attribution (CC BY) license (https://creativecommons.org/licenses/by/4.0/).
Share and Cite
Oujdi, M.; Chafik, Y.; Boukroute, A.; Morabito, D.; Addi, M. Phytoremediation Potential of Melia azedarach and Ailanthus altissima for Pb, Zn, and Cu from Aqueous Solution. Stresses 2024, 4, 923-934. https://doi.org/10.3390/stresses4040062
Oujdi M, Chafik Y, Boukroute A, Morabito D, Addi M. Phytoremediation Potential of Melia azedarach and Ailanthus altissima for Pb, Zn, and Cu from Aqueous Solution. Stresses. 2024; 4(4):923-934. https://doi.org/10.3390/stresses4040062
Chicago/Turabian StyleOujdi, Mohammed, Yassine Chafik, Azzouz Boukroute, Domenico Morabito, and Mohamed Addi. 2024. "Phytoremediation Potential of Melia azedarach and Ailanthus altissima for Pb, Zn, and Cu from Aqueous Solution" Stresses 4, no. 4: 923-934. https://doi.org/10.3390/stresses4040062
APA StyleOujdi, M., Chafik, Y., Boukroute, A., Morabito, D., & Addi, M. (2024). Phytoremediation Potential of Melia azedarach and Ailanthus altissima for Pb, Zn, and Cu from Aqueous Solution. Stresses, 4(4), 923-934. https://doi.org/10.3390/stresses4040062

