Systemic Oxidative Stress Parameters in Skin Cancer Patients and Patients with Benign Lesions
Abstract
1. Introduction
1.1. The Concept of Oxidative Stress
1.2. Oxidative Stress in Dermatology—The Interaction between Cutaneous and Systemic Oxidative Stress
1.3. Oxidative Stress and Skin Cancer
1.3.1. Oxidative Stress and NMSC
1.3.2. Oxidative Stress and Melanoma
1.4. Oxidative Stress and Benign Skin Lesions
1.5. Oxidative Stress and Warts
2. Result and Methods
| Study | Patients | Tested | Method Used | Redox Biomarker | Result |
|---|---|---|---|---|---|
| [5] | BCC vs. control | Erythrocytes | [35] | Catalase (U/mg Hb) | No significant difference detected |
| [5] | BCC vs. AK | Erythrocytes | [35] | Catalase (U/mg Hb) | No significant difference detected |
| [5] | BCC vs. SCC | Erythrocytes | [35] | Catalase (U/mg Hb) | No significant difference detected |
| [36] | BCC vs. control | Plasma | Kit protocol from Cayman Chemical (Ann Arbor, MI, USA) | Catalase activity (unit/mg protein) | Lower in BCC patients than control |
| [36] | BCC vs. medical history of NMSC (BCC) | Plasma | Kit protocol from Cayman Chemical (Ann Arbor, MI) | Catalase activity (unit/mg protein) | Lower in BCC patients than NMSC-excised patients |
| [36] | BCC vs. control | Plasma | [37] | GPx (unit/mg protein) | Lower in BCC patients than control |
| [36] | BCC vs. medical history of NMSC (BCC) | Plasma | [37] | GPx (unit/mg protein) | Lower in BCC patients than NMSC-excised patients |
| [36] | BCC vs. control | Plasma | [38] and kit protocol from Cayman Chemical (Ann Arbor, MI) | SOD (unit/mg protein) | Higher in BCC than control |
| [36] | BCC vs. medical history of NMSC (BCC) | Plasma | [38] and kit protocol from Cayman Chemical (Ann Arbor, MI) | SOD (unit/mg protein) | No significant difference detected |
| [36] | BCC vs. control | Plasma | [39] | NQO1 (µmol 2,6-dichloroindophenol reduced/min/mg protein) | Lower in BCC patients than control |
| [36] | BCC vs. medical history of NMSC (BCC) | Plasma | [39] | NQO1 (µmol 2,6-dichloroindophenol reduced/min/mg protein) | Lower in BCC patients than NMSC-excised patients |
| Study | Patients | Tested | Method Used | Redox Biomarker | Result |
|---|---|---|---|---|---|
| [5] | BCC vs. control | Erythrocytes | [35] | GSH (μmol/g Hb) | Lower in BCC patients than control |
| [5] | BCC vs. AK | Erythrocytes | [35] | GSH (μmol/g Hb) | No significant difference detected |
| [5] | BCC vs. SCC | Erythrocytes | [35] | GSH (μmol/g Hb) | No significant difference detected |
| [36] | BCC vs. control | Plasma | DTNB enzymatic recycling method following kit protocol from Sigma-Aldrich (St. Louis, MO, USA) | GSH (µmol/mg protein) | Higher in BCC than control |
| [36] | BCC vs. medical history of NMSC (BCC) | Plasma | DTNB enzymatic recycling method following kit protocol from Sigma-Aldrich (MO, USA) | GSH (µmol/mg protein) | No significant difference detected |
| [40] | BCC vs. control | Erythrocytes | [41] | GSH (mg/dL) | Lower in BCC patients compared to control |
| [40] | BCC vs. AK | Erythrocytes | [41] | GSH (mg/dL) | Lower in BCC patients compared to AK |
| [5] | BCC vs. control | Plasma | [42] | TAC (mmol DPPH/L) | Lower in BCC patients than control |
| [5] | BCC vs. AK | Plasma | [42] | TAC (mmol DPPH/L) | No significant difference detected |
| [5] | BCC vs. SCC | Plasma | [42] | TAC (mmol DPPH/L) | No significant difference detected |
| [40] | BCC vs. control | Plasma | [43] | Ascorbic acid (mg/dL) | Lower in BCC patients compared to control |
| [40] | BCC vs. AK | Plasma | [43] | Ascorbic acid (mg/dL) | No significant difference detected |
| [40] | BCC vs. control | Plasma | [44] | a-tocopherol (mg/L) | Lower in BCC patients compared to control |
| [40] | BCC vs. AK | Plasma | [44] | a-tocopherol (mg/L) | Lower in BCC patients compared to AK |
| [45] | NMSC (BCC included) | Serum | [46] | Carotenoids (μmol/L) | No significant difference detected |
| [45] | NMSC (BCC included) | Serum | [46] | Selenium (μmol/L) | Lower in patients with NMSC |
| [45] | NMSC (BCC included) | Serum | [47] | a-tocopherol (μmol/L) | No significant difference detected |
| [48] | BCC vs. controls | Serum | [46] | Carotenoids (μmol/L) | No significant difference detected |
| [48] | BCC vs. controls | Serum | [46] | a-tocopherol (μmol/L) | No significant difference detected |
| [49] | BCC vs. controls | Serum | HPLC analysis (described in [50]) | a-tocopherol (μg/mL) | No significant difference detected |
| [49] | BCC vs. controls | Serum | HPLC analysis (described in [50]) | Retinol (μg/mL) | Lower in BCC patients than control |
| [51] | BCC vs. controls | Serum | [52] | Selenium (μg/dL) | No significant difference detected |
| [51] | BCC vs. controls | Serum | [53] | b-carotenoid (μg/dL) | No significant difference detected |
| [51] | BCC vs. controls | Serum | [53] | a-tocopherol (mg/dl) | No significant difference detected |
| [51] | BCC vs. controls | Serum | [53] | Retinol (μg/dL) | Higher in BCC patients compared to control |
| [54] | BCC vs. controls | Serum | Atomic absorption spectroscopy (AAS) | Zinc (μg/dL) | Lower in BCC than control |
| [40] | BCC vs. control | Plasma | [55] | Total thiol groups (mmol/L) | Lower in BCC patients compared to control |
| [40] | BCC vs. AK | Plasma | [55] | Total thiol groups (mmol/L) | No significant difference detected |
| Study | Patients | Tested | Method Used | Redox Biomarker | Result |
|---|---|---|---|---|---|
| [5] | BCC vs. control | Plasma | [56] | TBARS (μmol/L) | Higher in BCC patients than control |
| [5] | BCC vs. control | Plasma | [57] | CARBS (nmol/mg protein) | No significant difference detected |
| [5] | BCC vs. AK | Plasma | [56] | TBARS (μmol/L) | No significant difference detected |
| [5] | BCC vs. AK | Plasma | [57] | CARBS (nmol/mg protein) | No significant difference detected |
| [5] | BCC vs. SCC | Plasma | [56] | TBARS (μmol/L) | No significant difference detected |
| [5] | BCC vs. SCC | Plasma | [57] | CARBS (nmol/mg protein) | Higher in SCC patients than BCC |
| [36] | BCC vs. controls | Urine | Competitive enzyme immunoassay (STA-320, Cell Biolabs, San Diego, CA, USA) | 8-oxo-dGuo levels (ng/mg creatinine) | Higher in BCC patients than control |
| [36] | BCC vs. medical history of NMSC (BCC) | Urine | Competitive enzyme immunoassay (STA-320, Cell Biolabs, San Diego, CA, USA) | 8-oxo-dGuo levels (ng/mg creatinine) | No significant difference detected |
| [58] | NMSC (BCC and SCC) vs. controls | Peripheral blood | [59] | H2O2-induced DNA damage (mean tail length after H2O2)—(basal mean tail length) | H2O2-induced DNA damage was significantly higher in NMSC (BCC and SCC) than in control |
| [54] | BCC vs. controls | Serum | Colorimetric assay, protocol kit by Sigma-Aldrich Company, catalog number MAK085 | MDA (nmol/mL) | Higher in BCC than control |
| Study | Patients | Tested | Method Used | Redox Biomarker | Result |
|---|---|---|---|---|---|
| [5] | SCC vs. AK | Erythrocytes | [35] | GSH (μmol/g Hb) | No significant difference detected |
| [5] | SCC vs. AK | Erythrocytes | [35] | Catalase activity (U/mg Hb) | Lower in SCC patients than AK patients |
| [5] | SCC vs. AK | Plasma | [42] | TAC (mmol DPPH/L) | No significant difference detected |
| [5] | SCC vs. AK | Plasma | [56] | TBARS (μmol/L) | No significant difference detected |
| [5] | SCC vs. AK | Plasma | [57] | CARBS (nmol/mg protein) | Higher in SCC patients than AK patients |
| [5] | BCC vs. SCC | Erythrocytes | [35] | GSH (μmol/g Hb) | No significant difference detected |
| [5] | BCC vs. SCC | Erythrocytes | [35] | Catalase activity (U/mg Hb) | No significant difference detected |
| [5] | BCC vs. SCC | Plasma | [42] | TAC (mmol DPPH/L) | No significant difference detected |
| [5] | BCC vs. SCC | Plasma | [56] | TBARS (μmol/L) | No significant difference detected |
| [5] | BCC vs. SCC | Plasma | [57] | CARBS (nmol/mg protein) | Higher in SCC patients than BCC |
| [5] | SCC vs. control | Erythrocytes | [35] | GSH (μmol/g Hb) | No significant difference detected |
| [5] | SCC vs. control | Erythrocytes | [35] | Catalase (U/mg Hb) | Lower in SCC patients than control |
| [5] | SCC vs. control | Plasma | [42] | TAC (mmol DPPH/L) | Lower in SCC patients than control |
| [5] | SCC vs. control | Plasma | [56] | TBARS (μmol/L) | No significant difference detected |
| [5] | SCC vs. control | Plasma | [57] | CARBS (nmol/mg protein) | Higher in SCC patients than control |
| [58] | NMSC (BCC and SCC) vs. controls | Peripheral blood | [59] | H2O2-induced DNA damage (mean tail length after H2O2)—(basal mean tail length) | H2O2-induced DNA damage was significantly higher in NMSC (BCC and SCC) than in controls |
| [45] | NMSC (SCC included) | Serum | [46] | Carotenoids (μmol/L) | No significant difference detected |
| [45] | NMSC (SCC included) | Serum | [47] | Selenium (μmol/L) | Lower in patients with NMSC |
| [45] | NMSC (SCC included) | Serum | [46] | a-tocopherol (μmol/L) | No significant difference detected |
| [48] | SCC vs. controls | Serum | [46] | Carotenoids (μmol/L) | No significant difference detected |
| [48] | SCC vs. controls | Serum | [46] | a-tocopherol (μmol/L) | No significant difference detected |
| [51] | SCC vs. controls | Serum | [53] | Retinol (μg/dL) | No significant difference detected |
| [51] | SCC vs. controls | Serum | [53] | b-carotenoid (μg/dL) | No significant difference detected |
| [51] | SCC vs. controls | Serum | [53] | a-tocopherol (mg/dL) | No significant difference detected |
| [51] | SCC vs. controls | Serum | [52] | Selenium (μg/dL) | No significant difference detected |
| [60] | SCC vs. controls | Plasma | [61] | b-carotene (ng/mL) | No significant difference detected |
| [60] | SCC vs. controls | Plasma | [62] | a-tocopherol (μg/mL) | No significant difference detected |
| [60] | SCC vs. controls | Plasma | [62] | Retinol (ng/mL) | No significant difference detected |
| [60] | SCC vs. controls | Plasma | [63] | Selenium (ppm) | No significant difference detected |
| Study | Patients | Tested | Method Used | Redox Biomarker | Result |
|---|---|---|---|---|---|
| [64] | Medical history of NMSC (BCC and SCC) vs. control | Plasma | [65] | TBARS (nmol/L) | No significant difference detected |
| [64] | Medical history of NMSC (BCC and SCC) vs. control | Plasma | Enzyme-linked immunosorbent assay-(Isoprostane Express EIA Kit; Cayman, USA) | 15-F2t-isoprostane levels (pg/mL) | Higher in NMSC-excised patients compared to control |
| [64] | Medical history of NMSC (BCC and SCC) vs. control | Plasma | [66] | Nitrate (mmol/L × 10−1) | No significant difference detected |
| [64] | Medical history of NMSC (BCC and SCC) vs. control | Plasma | Antioxidant Assay Kit protocol from Cayman, USA). | TAC (mmol × 10−2) | No significant difference detected |
| [36] | Medical history of NMSC (BCC) vs. control | Urine | Competitive enzyme immunoassay (STA-320, Cell Biolabs, San Diego, CA, USA) | 8-oxo-dGuo levels (ng/mg creatinine) | Higher in NMSC-excised patients than control |
| [36] | BCC vs. medical history of NMSC (BCC) | Urine | Competitive enzyme immunoassay (STA-320, Cell Biolabs, San Diego, CA, USA) | 8-oxo-dGuo levels (ng/mg creatinine) | No significant difference detected |
| [36] | Medical history of NMSC (BCC) vs. control | Plasma | Kit protocol from Cayman Chemical (Ann Arbor, MI, USA) | Catalase Activity (unit/mg protein) | No significant difference detected |
| [36] | BCC vs. medical history of NMSC (BCC) | Plasma | Kit protocol from Cayman Chemical (Ann Arbor, MI, USA) | Catalase Activity (unit/mg protein) | Lower in BCC patients than NMSC-excised patients |
| [36] | Medical history of NMSC (BCC) vs. control | Plasma | [37] | GPx (unit/mg protein) | No significant difference detected |
| [36] | BCC vs. medical history of NMSC (BCC) | Plasma | [37] | GPx (unit/mg protein) | Lower in BCC patients than NMSC-excised patients |
| [36] | Medical history of NMSC (BCC) vs. control | Plasma | [39] | NQO1 (µmol 2,6-dichloroindophenol reduced/min/mg protein) | No significant difference detected |
| [36] | BCC vs. medical history of NMSC (BCC) | Plasma | [39] | NQO1 (µmol 2,6-dichloroindophenol reduced/min/mg protein) | Lower in BCC patients than NMSC-excised patients |
| [36] | Medical history of NMSC (BCC) vs. control | Plasma | DTNB enzymatic recycling method following kit protocol from Sigma-Aldrich (St louis, MO, USA) | GSH (µmol/mg protein) | Higher in NMSC-excised than control |
| [36] | BCC vs. medical history of NMSC (BCC) | Plasma | DTNB enzymatic recycling method following kit protocol from Sigma-Aldrich (St louis, MO, USA) | GSH (µmol/mg protein) | No significant difference detected |
| [36] | Medical history of NMSC (BCC) vs. control | Plasma | [38] and kit protocol from Cayman Chemical (Ann Arbor, MI, USA) | SOD (unit/mg protein) | Higher in NMSC-excised than control |
| [36] | BCC vs. medical history of NMSC (BCC) | Plasma | [38] and kit protocol from Cayman Chemical (Ann Arbor, MI, USA) | SOD (unit/mg protein) | No significant difference detected |
| [67] | Medical history of NMSC (BCC and SCC) vs. control | Plasma | Protocol by Antioxidant Assay Kit (Cayman, USA). | TAC (nmol/L) | No significant difference detected |
| [68] | Medical history of NMSC (BCC) vs. control | Serum | [53] | Carotenoids | No significant difference detected |
| [68] | Medical history of NMSC (BCC) vs. control | Serum | [53] | a-tocopherol | No significant difference detected |
| [68] | Medical history of NMSC (BCC) vs. control | Serum | [52] | Selenium | No significant difference detected |
| Study | Patients | Tested | Method Used | Redox Biomarker | Result |
|---|---|---|---|---|---|
| [69] | Melanoma patients vs. control | Serum | [70] | SOD (total superoxide dismutase activity) (U/mL) | Higher in melanoma (especially stage III) patients compared to control |
| [69] | Melanoma patients vs. control | Serum | [70] | Mn-SOD (U/mL) | Higher in melanoma (especially stage IV) patients compared to control |
| [69] | Melanoma patients vs. control | Serum | [71] | CAT (kU/L) | Higher in melanoma (especially stages I, II, and III) patients compared to control |
| [72] | Melanoma patients vs. control | Serum | [73] | Mn-SOD (ng/mL) | Higher in melanoma (all stages) patients compared to control |
| [74] | Melanoma patients vs. control | Erythrocytes | [75] | SOD (U/g Hb) | No significant difference detected |
| [74] | Melanoma patients vs. control | Erythrocytes | [71] | CAT (absorption/min/g Hb × 103) | No significant difference detected |
| [76] | Melanoma patients vs. control | Erythrocytes | [70] | SOD (U/g Hb) | Lower in melanoma patients compared to control |
| [76] | Melanoma patients vs. patients with excised melanoma | Erythrocytes | [70] | SOD (U/g Hb) | No significant difference detected |
| [76] | Melanoma patients vs. control | Erythrocytes | [77] | CAT (U/g Hb) | Higher in melanoma patients compared to control |
| [76] | Melanoma patients vs. patients with excised melanoma | Erythrocytes | [77] | CAT (U/g Hb) | No significant difference detected |
| [78] | Melanoma patients vs. control | Erythrocytes | [75] | CAT ((V abs/min) Hb−1) | Lower in melanoma patients compared to control |
| [78] | Melanoma patients vs. melanoma patients with metastasis | Erythrocytes | [75] | CAT ((V abs/min) Hb−1) | No significant difference detected |
| [78] | Melanoma patients with metastasis vs. controls | Erythrocytes | [75] | CAT ((V abs/min) Hb−1) | No significant difference detected |
| [78] | Melanoma patients vs. control | Erythrocytes | [75] | SOD (U/g Hb) | No significant difference detected |
| [78] | Melanoma patients vs. melanoma patients with metastasis | Erythrocytes | [75] | SOD (U/g Hb) | No significant difference detected |
| [78] | Melanoma patients with metastasis vs. control | Erythrocytes | [75] | SOD (U/g Hb) | No significant difference detected |
| Study | Patients | Tested | Method Used | Redox Biomarker | Result |
|---|---|---|---|---|---|
| [74] | Melanoma patients vs. control | Erythrocytes | [79] | GSH (μM/g Hb−1) | Lower in melanoma patients compared to control |
| [72] | Melanoma patients vs. control | Erythrocytes | [79] | GSH (μΜ/g Hb) | Lower in melanoma patients compared to control |
| [72] | Melanoma patients vs. melanoma patients with metastasis | Erythrocytes | [79] | GSH (μΜ/g Hb) | No significant difference detected |
| [72] | Melanoma patients with metastasis vs. control | Erythrocytes | [79] | GSH (μΜ/g Hb) | No significant difference detected |
| [69] | Melanoma patients vs. control | Serum | [80] | Superoxide anion radical (mmol red nitroblue-tetrazolium/min/L) | Higher in all clinical stage melanoma patients compared to control |
| [81] | Melanoma patients vs. patients with excised melanoma | Serum | [82] | Albumin thiols (μmol/100 mL) | No significant difference detected |
| [74] | Melanoma patients vs. control | Plasma | [83] | Total thiols (μΜ) | Higher total thiols in melanoma patients compared to control |
| [79] | Melanoma patients vs. control | Plasma | [83] | Total thiols (μΜ) | No significant difference detected |
| [78] | Melanoma patients vs. melanoma patients with metastasis | Plasma | [83] | Total thiols (μΜ) | No significant difference detected |
| [78] | Melanoma patients with metastasis vs. control | Plasma | [83] | Total thiols (μΜ) | Higher in patients with melanoma metastasis compared to control |
| [78] | Melanoma patients vs. control | Plasma | [84] | TRAP (total radical-trapping antioxidant parameter) (μΜ Trolox) | No significant difference detected |
| [78] | Melanoma patients vs. melanoma patients with metastasis | Plasma | [84] | TRAP (total radical-trapping antioxidant parameter) (μΜ Trolox) | No significant difference detected |
| [78] | Melanoma patients with metastasis vs. control | Plasma | [84] | TRAP (total radical-trapping antioxidant parameter) (μΜ Trolox) | Higher in patients with melanoma metastasis compared to control |
| [81] | Melanoma patients vs. patients with excised melanoma | Serum | [85,86] | Serum antioxidants (μg/L) | No significant difference detected |
| [74] | Melanoma patients vs. control | Plasma | [87] | TRAP (total radical-trapping antioxidant parameter) (μΜ Trolox) | No significant difference detected |
| [88] | Melanoma patients | Serum | Mass spectrometry (ICP-MS NexION 350D, Perkin Elmer) | Selenium (µg/L) | A low selenium level might contribute to worse survival for patients with melanoma |
| [89] | Melanoma patients vs. control | Serum | Spectrometry | Selenium (μg/L) | All clinical melanoma stages (especially stage III) had lower selenium levels than the controls |
| [90] | Melanoma patients | Serum | Spectrometry | Selenium (μg/L) | Lower selenium correlates with worse disease severity |
| [90] | Melanoma patients | Serum | Spectrometry | Selenium (μg/L) | Selenium concentration was significantly lower for stage I and II melanomas with recurrence compared to those without recurrence |
| [51] | Melanoma patients vs. control | Serum | [53] | Retinol (μg/dL) | No significant difference detected |
| [51] | Melanoma patients vs. control | Serum | [53] | b-carotenoid (μg/dL) | No significant difference detected |
| [51] | Melanoma patients vs. control | Serum | [53] | a-tocopherol (mg/dl) | No significant difference detected |
| [51] | Melanoma patients vs. controls | Serum | [52] | Selenium (μg/dL) | No significant difference detected |
| [91] | Melanoma patients vs. control | Serum | Atomic absorption spectroscopy | Zinc (μg/100 mL) | No significant difference detected |
| [91] | Melanoma patients with metastasis vs. patients | Serum | Atomic absorption spectroscopy | Zinc (μg/100 mL) | No significant difference detected |
| [92] | Melanoma patients vs. control | Serum | [93] | Zinc (μg/100 mL) | Lower in melanoma patients compared to control |
| [94] | Melanoma patients vs. control | Serum | Atomic absorption spectroscopy | Zinc (μg/dL) | Higher in melanoma patients compared to control |
| Study | Patients | Tested | Method Used | Redox Biomarker | Result |
|---|---|---|---|---|---|
| [69] | Melanoma patients vs. control | Serum | [95] | mmol MDA/L | Higher in melanoma (especially stage IV) patients compared to control |
| [81] | Melanoma patients vs. patients with excised melanoma | Serum | [96] | Serum lipid peroxides (μmol/100 mL) | No significant difference detected |
| [74] | Melanoma patients vs. control | Plasma | [87] | MDA (nM) | Higher in melanoma patients compared to control |
| [76] | Melanoma patients vs. control | Plasma | [97] | MDA (μΜ) | Higher in melanoma patients compared to control |
| [76] | Melanoma patients vs. patients with excised melanoma | Plasma | [97] | MDA (μΜ) | Higher in melanoma patients compared to patients with melanoma history |
| [76] | Patients with excised melanoma vs. control | Plasma | [97] | MDA (μΜ) | No significant difference detected |
| [78] | Melanoma patients vs. control | Plasma | [98] | MDA (nM) | Higher in melanoma patients compared to control |
| [78] | Melanoma patients vs. melanoma patients with metastasis | Plasma | [98] | MDA (nM) | No significant difference detected |
| [78] | Melanoma patients with metastasis vs. control | Plasma | [98] | MDA (nM) | Higher in patients with melanoma history compared to control |
| [78] | Melanoma patients vs. control | Plasma | [99] | AOPPs (advanced oxidation protein products) (μΜ × mg protein) | No significant difference detected |
| [78] | Melanoma patients vs. melanoma patients with metastasis | Plasma | [99] | AOPPs (advanced oxidation protein products) (μΜ × mg protein) | No significant difference detected |
| [78] | Melanoma patients with metastasis vs. control | Plasma | [99] | AOPPs (advanced oxidation protein products) (μΜ × mg protein) | Higher in patients with melanoma metastasis compared to control |
| Study | Patients | Tested | Method | Redox Biomarker | Result |
|---|---|---|---|---|---|
| [5] | AK vs. control | Erythrocytes | [35] | GSH (μmol/g Hb) | Lower in AK patients than control |
| [5] | AK vs. control | Erythrocytes | [35] | Catalase (U/mg Hb) | No significant difference detected |
| [5] | AK vs. control | Plasma | [42] | TAC (mmol DPPH/L) | No significant difference detected |
| [5] | AK vs. control | Plasma | [56] | TBARS (μmol/L) | Higher in AK patients than control |
| [5] | AK vs. control | Plasma | [57] | CARBS (nmol/mg protein) | No significant difference detected |
| [5] | SCC vs. AK | Erythrocytes | [35] | GSH (μmol/g Hb) | No significant difference detected |
| [5] | SCC vs. AK | Erythrocytes | [35] | Catalase activity (U/mg Hb) | Lower in SCC patients than AK patients |
| [5] | SCC vs. AK | Plasma | [42] | TAC (mmol DPPH/L) | No significant difference detected |
| [5] | SCC vs. AK | Plasma | [56] | TBARS (μmol/L) | No significant difference detected |
| [5] | SCC vs. AK | Plasma | [57] | CARBS (nmol/mg protein) | Higher in SCC patients than AK patients |
| [5] | BCC vs. AK | Erythrocytes | [35] | GSH (μmol/g Hb) | No significant difference detected |
| [5] | BCC vs. AK | Erythrocytes | [35] | Catalase (U/mg Hb) | No significant difference detected |
| [5] | BCC vs. AK | Plasma | [42] | TAC (mmol DPPH/L) | No significant difference detected |
| [5] | BCC vs. AK | Plasma | [56] | TBARS (μmol/L) | No significant difference detected |
| [5] | BCC vs. AK | Plasma | [57] | CARBS (nmol/mg protein) | No significant difference detected |
| [40] | BCC vs. AK | Plasma | [43] | Ascorbic acid (mg/dL) | No significant difference detected |
| [40] | BCC vs. AK | Plasma | [43] | a-tocopherol (mg/L) | Lower in BCC patients compared to AK |
| [40] | BCC vs. AK | Plasma | [57] | Total thiol groups (mmol/L) | No significant difference detected |
| [40] | BCC vs. AK | Erythrocytes | [41] | GSH (mg/dl) | Lower in BCC patients compared to AK |
| [40] | AK vs. control | Plasma | [49] | a-tocopherol (mg/L) | Lower in AK patients compared to control |
| [40] | AK vs. control | Plasma | [57] | Total thiol groups (mmol/L) | Lower in AK patients compared to control |
| [40] | AK vs. control | Plasma | [43] | Ascorbic acid (mg/dL) | Lower in AK patients compared to control |
| [40] | AK vs. control | Erythrocytes | [41] | GSH (mg/dL) | Lower in AK patients compared to control |
| [99] | SK vs. control | Plasma | TBARS, method not explained | MDA (mmol/L) | No significant difference detected |
| [99] | SK vs. control | Plasma | ELISA[100] | SOD (U/L) | No significant difference detected |
| Study | Patients | Tested | Number/Chronicity of the Lesions | Method Used | Redox Biomarker | Result |
|---|---|---|---|---|---|---|
| [101] | Patients with non-genital warts vs. control | Serum | NM/Most of the lesions occurred over 1 year (19.6 ± 3.8 months) | [102] | Disulfide (μm/L) | Higher in wart patients compared to control |
| [101] | Patients with non-genital warts vs. control | Serum | NM/Most of the lesions occurred over 1 year (19.6 ± 3.8 months) | [102] | Total serum thiol (μm/L) | Higher in wart patients compared to control |
| [101] | Patients with non-genital warts vs. control | Serum | NM/Most of the lesions occurred over 1 year (19.6 ± 3.8 months) | [102] | Disulfide/native thiol ratio | Higher in wart patients compared to control |
| [101] | Patients with non-genital warts vs. control | Serum | NM/Most of the lesions occurred over 1 year (19.6 ± 3.8 months) | [102] | Native thiol (µm/L) | No significant difference detected |
| [101] | Patients with non-genital warts vs. control | Serum | Genital (10 lesions) Non-genital (4 lesions)/Most of the lesions occurred over 1 year (19.35 ± 28.82 months) | [102] | Disulfide/total thiol | No significant difference detected |
| [101] | Patients with non-genital warts vs. control | Serum | Genital (10 lesions) Non-genital (4 lesions)/Most of the lesions occurred over 1 year (19.35 ± 28.82 months) | [102] | Native thiol/total thiol | No significant difference detected |
| [103] | Patients with genital and non-genital warts vs. controls | Serum | Genital (10 lesions) Non-genital (4 lesions)/Most of the lesions occurred over 1 year (19.35 ± 28.82 months) | Enzyme-linked immunosorbent assay kit (Human CoQ10-ELISA kit/Shanghai Sunred Biological Technology Co, Ltd., Shanghai, China) | Coenzyme Q10 levels (ng/mL) | No significant difference detected |
| [103] | Patients with genital and non-genital warts vs. controls | Serum | Genital (10 lesions) Non-genital (4 lesions)/Most of the lesions occurred over 1 year (19.35 ± 28.82 months) | Double heating method of Draper and Hadley [103] | MDA (µmol/L) | Higher in wart patients compared to control |
| [103] | Patients with genital and non-genital warts vs. controls | Serum | Genital (10 lesions) Non-genital (4 lesions)/Most of the lesions occurred over 1 year (19.35 ± 28.82 months) | Perkin Elmer AAnalyst 800 atomic absorption spectrometer (USA) with a deuterium background correction [104] | Zinc (µg/dL) | Lower in wart patients compared to control |
| [103] | Patients with genital vs. patients with non-genital warts | Serum | Genital (10 lesions) Non-genital (4 lesions)/Most of the lesions occurred over 1 year (19.35 ± 28.82 months) | Enzyme-linked immunosorbent assay kit (Human CoQ10-ELISA kit/Shanghai Sunred Biological Technology Co, Ltd., Shanghai, China) | Coenzyme Q10 levels (ng/mL) | No significant difference detected |
| [103] | Patients with genital vs. patients with non-genital warts | Serum | Genital (10 lesions) Non-genital (4 lesions)/Most of the lesions occurred over 1 year (19.35 ± 28.82 months) | Double heating method of Draper and Hadley [103] | MDA (µmol/L) | No significant difference detected |
| [103] | Patients with genital vs. patients with non-genital warts | Serum | Genital (10 lesions) Non-genital (4 lesions)/Most of the lesions occurred over 1 year (19.35 ± 28.82 months) | Perkin Elmer AAnalyst 800 atomic absorption spectrometer (USA) with a deuterium background correction [105] | Zinc (µg/dL) | No significant difference detected |
| [106] | Patients with non-genital warts vs. controls | Serum | From <5 to >10 lesions/Lesions occurred from <1 to >6 months | Spectrophotometric method (Randox reagents, HumaStar 300 analyzer) | Total oxidant status (µmol Trolox Eq/L) | Higher in wart patients compared to control |
| [106] | Patients with non-genital warts vs. controls | Serum | From <5 to >10 lesions/Lesions occurred from <1 to >6 months | Spectrophotometric method (Randox reagents, HumaStar 300 analyzer) | Total antioxidant status (µmol H2O2 Eq/L) | Lower in wart patients compared to control |
| [106] | Patients with non-genital warts vs. controls | Serum | From <5 to >10 lesions/Lesions occurred from <1 to >6 months | Spectrophotometric method (Randox reagents, HumaStar 300 analyzer) | Oxidative stress index (arbitrary units) | Higher in wart patients compared to control |
| [107] | Patients with genital or non-genital warts vs. controls | Serum | Non- recalcitrant warts (mean number of 5.5 lesions)/(Mean duration of 4.5 months) | Enzyme-linked immunosorbent assay (ELISA) kit (Cayman, Canada, USA). | 8-hydroxy-2-deoxyguanosine (ng/mL) | No significant difference detected |
| [107] | Patients with genital or non-genital warts vs. controls | Serum | Non-recalcitrant warts (mean number of 5.5 lesions)/(Mean duration of 4.5 months) | [107] | Total oxidant status (µmol Trolox Eq/L) | No significant difference detected |
| [107] | Patients with genital or non-genital warts vs. controls | Serum | Non-recalcitrant warts (mean number of 5.5 lesions)/(Mean duration of 4.5 months) | [108] | Total antioxidant status (µmol H2O2 Eq/L) | No significant difference detected |
| [107] | Patients with genital or non-genital warts vs. controls | Serum | Non-recalcitrant warts (mean number of 5.5 lesions)/(Mean duration of 4.5 months) | [109] | Oxidative stress index (arbitrary units) | No significant difference detected |
| [107] | Patients with genital or non-genital warts vs. controls | Serum | Non-recalcitrant warts (mean number of 5.5 lesions)/(Mean duration of 4.5 months) | [102] | Total thiol (μmol/L) | Higher in wart patients compared to controls |
| [107] | Patients with genital or non-genital warts vs. controls | Serum | Non-recalcitrant warts (mean number of 5.5 lesions)/(Mean duration of 4.5 months) | [102] | Native thiol (μmol/L) | Higher in wart patients compared to controls |
| [107] | Patients with genital or non-genital warts vs. controls | Serum | Non-recalcitrant warts (mean number of 5.5 lesions)/(Mean duration of 4.5 months) | [102] | Disulphide (μmol/L) | Higher in wart patients compared to control |
| [107] | Patients with genital or non-genital warts vs. controls | Serum | Non-recalcitrant warts (mean number of 5.5 lesions)/(Mean duration of 4.5 months) | [102] | Native thiol/total thiol | Higher in wart patients compared to control |
| [107] | Patients with genital or non-genital warts vs. controls | Serum | Non-recalcitrant warts (mean number of 5.5 lesions)/(Mean duration of 4.5 months) | [102] | Disulphide/total thiol | Lower in wart patients compared to control |
| [107] | Patients with genital or non-genital warts vs. controls | Serum | NM/Most of the warts lasted less than 1 year | [102] | Disulphide/native thiol | Lower in wart patients compared to control |
| [110] | Patients with genital warts vs. controls | Serum | NM/Most of the warts lasted less than 1 year | [111] | Paraoxonase (ng/mL) | No significant difference detected |
| [110] | Patients with genital warts vs. controls | Erythrocytes | NM/Most of the warts lasted less than 1 year | [111] | GPx (IU/gHb) | Higher in wart patients compared to control |
| [110] | Patients with genital warts vs. controls | Serum | NM/Most of the warts lasted less than 1 year | High-pressure liquid chromatography via Chromsystems (Chromsystems®, Mannheim, Germany) kits and an Agilent 1200 series autoanalyzer (Agilent Technologies®, CA, USA). | MDA (mmol/L) | Higher in wart patients compared to control |
| [110] | Patients with genital warts vs. controls | Serum | NM/Most of the warts lasted less than 1 year | [111] | CAT (kU/L) | Higher in wart patients compared to control |
| [112] | Patients with non-genital warts vs. controls | Erythrocytes | 19 patients with less than 10 lesions and 12 patients with more than 10 lesions/Most of the warts lasted less than 1 year | [40] | CAT (U/g Hb) | Higher in wart patients compared to control |
| [112] | Patients with non-genital warts vs. controls | Erythrocytes | 19 patients with less than 10 lesions and 12 patients with more than 10 lesions/Most of the warts lasted less than 1 year | [40] | G6PD (U/g Hb) | Higher in wart patients compared to control |
| [112] | Patients with non-genital warts vs. controls | Erythrocytes | 19 patients with less than 10 lesions and 12 patients with more than 10 lesions/Most of the warts lasted less than 1 year | [113] | SOD (U/g Hb) | Higher in wart patients compared to control |
| [112] | Patients with non-genital warts vs. controls | Plasma | 19 patients with less than 10 lesions and 12 patients with more than 10 lesions/Most of the warts lasted less than 1 year | [114] | MDA (nmol/mL) | Higher in wart patients compared to control |
| Study | Patients | Tested | Method Used | Redox Biomarker | Result |
|---|---|---|---|---|---|
| [107] | Recalcitrant wart patients vs. control | Serum | Enzyme-linked immunosorbent assay (ELISA) kit (Cayman, Canada, USA). | 8-hydroxy-2-deoxyguanosine (ng/mL) | Higher in recalcitrant patients compared to control |
| [107] | Recalcitrant wart patients vs. control | Serum | [107] | Total oxidant status (µmol Trolox Eq/L) | No significant difference detected |
| [107] | Recalcitrant wart patients vs. control | Serum | [108] | Total antioxidant status (µmol H2O2 Eq/L) | Higher in recalcitrant patients compared to control |
| [107] | Recalcitrant wart patients vs. control | Serum | [109] | Oxidative stress index (arbitrary units) | Higher in recalcitrant patients compared to control |
| [107] | Recalcitrant wart patients vs. control | Serum | [102] | Total thiol (μmol/L) | Higher in recalcitrant patients compared to control |
| [107] | Recalcitrant wart patients vs. control | Serum | [102] | Native thiol (μmol/L) | Higher in recalcitrant patients compared to control |
| [107] | Recalcitrant wart patients vs. control | Serum | [102] | Disulphide (μmol/L) | No significant difference detected |
| [107] | Recalcitrant wart patients vs. control | Serum | [102] | Native thiol/total thiol | Higher in recalcitrant patients compared to control |
| [107] | Recalcitrant wart patients vs. control | Serum | [102] | Disulphide/total thiol | Lower in recalcitrant patients compared to control |
| [107] | Recalcitrant wart patients vs. control | Serum | [102] | Disulphide/native thiol | Lower in recalcitrant patients compared to control |
| [107] | Recalcitrant wart patients vs. wart patients | Serum | Enzyme-linked immunosorbent assay (ELISA) kit (Cayman, Canada, USA). | 8-hydroxy-2-deoxyguanosine (ng/mL) | No significant difference detected |
| [107] | Recalcitrant wart patients vs. wart patients | Serum | [107] | Total oxidant status (µmol Trolox Eq/L) | No significant difference detected |
| [107] | Recalcitrant wart patients vs. wart patients | Serum | [108] | Total antioxidant status (µmol H2O2 Eq/L) | No significant difference detected |
| [107] | Recalcitrant wart patients vs. wart patients | Serum | [109] | Oxidative stress index (arbitrary units) | No significant difference detected |
| [107] | Recalcitrant wart patients vs. wart patients | Serum | [102] | Total thiol (μmol/L) | Lower in recalcitrant wart patients compared with wart patients |
| [107] | Recalcitrant wart patients vs. wart patients | Serum | [102] | Native thiol (μmol/L) | Lower in recalcitrant wart patients compared with wart patients |
| [107] | Recalcitrant wart patients vs. wart patients | Serum | [102] | Disulphide (μmol/L) | Lower in recalcitrant wart patients compared with wart patients |
| [107] | Recalcitrant wart patients vs. wart patients | Serum | [102] | Native thiol/total thiol | No significant difference detected |
| [107] | Recalcitrant wart patients vs. wart patients | Serum | [102] | Disulphide/total thiol | No significant difference detected |
| [107] | Recalcitrant wart patients vs. wart patients | Serum | [102] | Disulphide/native thiol | No significant difference detected |

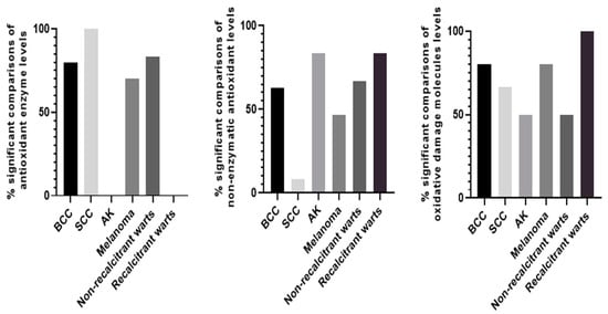
| Malignant | Benign | ||||||
|---|---|---|---|---|---|---|---|
| BCC | Redox Biomarker Reported | Reference | Results | AK | Redox Biomarker Report | Reference | Results |
| Antioxidant enzyme levels | CAT | [36] | Lower | Non-enzymatic antioxidants | GSH | [5] | Lower |
| GPx | [36] | Lower | a-tocopherol | [40] | Lower | ||
| SOD | [36] | Higher | Total thiol groups | [40] | Lower | ||
| NQO1 | [36] | Lower | Ascorbic acid | [40] | Lower | ||
| Non-enzymatic antioxidants | GSH | [5] | Lower | GSH | [40] | Lower | |
| GSH | [36] | Higher | Oxidative damage molecules | TBARS | [5] | Higher | |
| GSH | [40] | Lower | Warts (non-recalcitrant) | ||||
| TAC | [5] | Lower | Antioxidant enzyme levels | GPx | [110] | Higher | |
| Ascorbic acid | [40] | Lower | CAT | [109] | Higher | ||
| a-tocopherol | [40] | Lower | CAT | [112] | Higher | ||
| Retinol | [48] | Lower | G6PD | [112] | Higher | ||
| Retinol | [50] | Higher | SOD | [112] | Higher | ||
| Total thiol groups | [40] | Lower | Non-enzymatic antioxidants | Disulfide | [101] | Higher | |
| Oxidative damage molecules | TBARS | [5] | Higher | Total serum thiol | [101] | Higher | |
| 8-oxo-dGuo levels | [36] | Higher | Disulfide/native thiol ratio | [101] | Higher | ||
| MDA | [53] | Higher | Zinc | [103] | Lower | ||
| SCC | Total thiol | [107] | Higher | ||||
| Antioxidant enzyme levels | CAT | [5] | Lower | Native thiol | [107] | Higher | |
| Non-enzymatic antioxidants | TAC | [5] | Lower | Disulphide | [107] | Higher | |
| Oxidative damage molecules | CARBS | [5] | Higher | Disulphide/total thiol | [107] | Higher | |
| H2O2-induced DNA damage | [58] | Higher | Disulphide/native thiol | [107] | Lower | ||
| Melanoma | Oxidative damage molecules | MDA | [103] | Higher | |||
| Antioxidant enzyme levels | SOD | [69] | Higher | MDA | [110] | Higher | |
| Mn-SOD | [69] | Higher | MDA | [72] | Higher | ||
| CAT | [69] | Higher | Recalcitrant warts | ||||
| Mn-SOD | [70] | Higher | Non-enzymatic antioxidants | Total thiol | [107] | Higher | |
| SOD | [77] | Lower | Native thiol | [107] | Higher | ||
| CAT | [77] | Higher | Native thiol/total thiol | [107] | Higher | ||
| CAT | [72] | Lower | Disulphide/total thiol | [107] | Higher | ||
| Non-enzymatic antioxidants | GSH | [74] | Lower | Disulphide/native thiol | [107] | Lower | |
| GSH | [72] | Lower | Oxidative damage molecules | 8-hydroxy-2-deoxyguanosine | [107] | Higher | |
| Total thiols | [74] | Higher | |||||
| Selenium | [89] | Lower | |||||
| Zinc | [92] | Lower | |||||
| Zinc | [94] | Higher | |||||
| Oxidative damage molecules | MDA | [69] | Higher | ||||
| MDA | [74] | Higher | |||||
| MDA | [75] | Higher | |||||
| MDA | [72] | Higher |
3. Discussion
4. Conclusions
Author Contributions
Funding
Data Availability Statement
Conflicts of Interest
References
- Sies, H. Oxidative Stress: Concept and Some Practical Aspects. Antioxidants 2020, 9, 852. [Google Scholar] [CrossRef]
- Bassoy, E.Y.; Walch, M.; Martinvalet, D. Reactive Oxygen Species: Do They Play a Role in Adaptive Immunity? Front. Immunol. 2021, 12, 755856. [Google Scholar] [CrossRef]
- Zhang, J.; Wang, X.; Vikash, V.; Ye, Q.; Wu, D.; Liu, Y.; Dong, W. ROS and ROS-Mediated Cellular Signaling. Oxid. Med. Cell. Longev. 2016, 2016, 4350965. [Google Scholar] [CrossRef] [PubMed]
- Mittler, R. ROS Are Good. Trends Plant Sci. 2017, 22, 11–19. [Google Scholar] [CrossRef] [PubMed]
- Karampinis, E.; Aloizou, A.-M.; Zafiriou, E.; Bargiota, A.; Skaperda, Z.; Kouretas, D.; Roussaki-Schulze, A.-V. Non-Melanoma Skin Cancer and Vitamin D: The “Lost Sunlight” Paradox and the Oxidative Stress Explanation. Antioxidants 2023, 12, 1107. [Google Scholar] [CrossRef]
- Lubos, E.; Loscalzo, J.; Handy, D.E. Glutathione Peroxidase-1 in Health and Disease: From Molecular Mechanisms to Therapeutic Opportunities. Antioxid. Redox Signal. 2011, 15, 1957–1997. [Google Scholar] [CrossRef] [PubMed]
- Prasad, A.S. Zinc Is an Antioxidant and Anti-Inflammatory Agent: Its Role in Human Health. Front. Nutr. 2014, 1, 14. [Google Scholar] [CrossRef]
- Adjepong, M.; Agbenorku, P.; Brown, P.; Oduro, I. The Role of Antioxidant Micronutrients in the Rate of Recovery of Burn Patients: A Systematic Review. Burns Trauma 2016, 4, 18. [Google Scholar] [CrossRef] [PubMed]
- Aguiar, P.H.N.; Furtado, C.; Repolês, B.M.; Ribeiro, G.A.; Mendes, I.C.; Peloso, E.F.; Gadelha, F.R.; Macedo, A.M.; Franco, G.R.; Pena, S.D.J.; et al. Oxidative Stress and DNA Lesions: The Role of 8-Oxoguanine Lesions in Trypanosoma Cruzi Cell Viability. PLoS Negl. Trop. Dis. 2013, 7, e2279. [Google Scholar] [CrossRef]
- Clemente, S.M.; Martínez-Costa, O.H.; Monsalve, M.; Samhan-Arias, A.K. Targeting Lipid Peroxidation for Cancer Treatment. Molecules 2020, 25, 5144. [Google Scholar] [CrossRef]
- Waugh, R.J.; Morrow, J.D.; Roberts, L.J.; Murphy, R.C. Identification and Relative Quantitation of F2-Isoprostane Regioisomers Formed in Vivo in the Rat. Free Radic. Biol. Med. 1997, 23, 943–954. [Google Scholar] [CrossRef] [PubMed]
- Kehm, R.; Baldensperger, T.; Raupbach, J.; Höhn, A. Protein Oxidation—Formation Mechanisms, Detection and Relevance as Biomarkers in Human Diseases. Redox Biol. 2021, 42, 101901. [Google Scholar] [CrossRef] [PubMed]
- Ulrich, K.; Jakob, U. The Role of Thiols in Antioxidant Systems. Free Radic. Biol. Med. 2019, 140, 14–27. [Google Scholar] [CrossRef] [PubMed]
- Farbstein, D.; Kozak-Blickstein, A.; Levy, A.P. Antioxidant Vitamins and Their Use in Preventing Cardiovascular Disease. Molecules 2010, 15, 8098–8110. [Google Scholar] [CrossRef] [PubMed]
- Yildirim, M.; Inaloz, H.; Baysal, V.; Delibas, N. The Role of Oxidants and Antioxidants in Psoriasis. J. Eur. Acad. Dermatol. Venereol. 2003, 17, 34–36. [Google Scholar] [CrossRef] [PubMed]
- Popa, G.L.; Mitran, C.I.; Mitran, M.I.; Tampa, M.; Matei, C.; Popa, M.I.; Georgescu, S.R. Markers of Oxidative Stress in Patients with Acne: A Literature Review. Life 2023, 13, 1433. [Google Scholar] [CrossRef] [PubMed]
- Medovic, M.V.; Jakovljevic, V.L.; Zivkovic, V.I.; Jeremic, N.S.; Jeremic, J.N.; Bolevich, S.B.; Ravic Nikolic, A.B.; Milicic, V.M.; Srejovic, I.M. Psoriasis between Autoimmunity and Oxidative Stress: Changes Induced by Different Therapeutic Approaches. Oxid. Med. Cell. Longev. 2022, 2022, 2249834. [Google Scholar] [CrossRef]
- Bertino, L.; Guarneri, F.; Cannavò, S.P.; Casciaro, M.; Pioggia, G.; Gangemi, S. Oxidative Stress and Atopic Dermatitis. Antioxidants 2020, 9, 196. [Google Scholar] [CrossRef]
- Zhang, P.; Arora, M.; Chaleckis, R.; Isobe, T.; Jain, M.; Meister, I.; Melén, E.; Perzanowski, M.; Torta, F.; Wenk, M.R.; et al. Tackling the Complexity of the Exposome: Considerations from the Gunma University Initiative for Advanced Research (GIAR) Exposome Symposium. Metabolites 2019, 9, 106. [Google Scholar] [CrossRef]
- Shih, B.B.; Farrar, M.D.; Vail, A.; Allan, D.; Chao, M.-R.; Hu, C.-W.; Jones, G.D.D.; Cooke, M.S.; Rhodes, L.E. Influence of Skin Melanisation and Ultraviolet Radiation on Biomarkers of Systemic Oxidative Stress. Free Radic. Biol. Med. 2020, 160, 40–46. [Google Scholar] [CrossRef]
- Hayes, J.D.; Dinkova-Kostova, A.T.; Tew, K.D. Oxidative Stress in Cancer. Cancer Cell 2020, 38, 167–197. [Google Scholar] [CrossRef]
- Han, J.; Colditz, G.A.; Hunter, D.J. Manganese Superoxide Dismutase Polymorphism and Risk of Skin Cancer (United States). Cancer Causes Control. 2007, 18, 79–89. [Google Scholar] [CrossRef]
- Preissner, S.C.; Hoffmann, M.F.; Preissner, R.; Dunkel, M.; Gewiess, A.; Preissner, S. Polymorphic Cytochrome P450 Enzymes (CYPs) and Their Role in Personalized Therapy. PLoS ONE 2013, 8, e82562. [Google Scholar] [CrossRef] [PubMed]
- Pleńkowska, J.; Gabig-Cimińska, M.; Mozolewski, P. Oxidative Stress as an Important Contributor to the Pathogenesis of Psoriasis. Int. J. Mol. Sci. 2020, 21, 6206. [Google Scholar] [CrossRef] [PubMed]
- Pan, M.-H.; Lai, C.-S.; Ho, C.-T. Anti-Inflammatory Activity of Natural Dietary Flavonoids. Food Funct. 2010, 1, 15. [Google Scholar] [CrossRef] [PubMed]
- Apalla, Z.; Nashan, D.; Weller, R.B.; Castellsagué, X. Skin Cancer: Epidemiology, Disease Burden, Pathophysiology, Diagnosis, and Therapeutic Approaches. Dermatol. Ther. 2017, 7, 5–19. [Google Scholar] [CrossRef] [PubMed]
- Sinha, R.P.; Häder, D.-P. UV-Induced DNA Damage and Repair: A Review. Photochem. Photobiol. Sci. 2002, 1, 225–236. [Google Scholar] [CrossRef] [PubMed]
- Narendhirakannan, R.T.; Hannah, M.A.C. Oxidative Stress and Skin Cancer: An Overview. Indian. J. Clin. Biochem. 2013, 28, 110–115. [Google Scholar] [CrossRef]
- Azzimonti, B.; Ballacchino, C.; Zanetta, P.; Cucci, M.A.; Monge, C.; Grattarola, M.; Dianzani, C.; Barrera, G.; Pizzimenti, S. Microbiota, Oxidative Stress, and Skin Cancer: An Unexpected Triangle. Antioxidants 2023, 12, 546. [Google Scholar] [CrossRef]
- Kamiński, K.; Kazimierczak, U.; Kolenda, T. Oxidative Stress in Melanogenesis and Melanoma Development. Współczesna Onkol. 2022, 26, 1–7. [Google Scholar] [CrossRef]
- Remigante, A.; Spinelli, S.; Marino, A.; Pusch, M.; Morabito, R.; Dossena, S. Oxidative Stress and Immune Response in Melanoma: Ion Channels as Targets of Therapy. Int. J. Mol. Sci. 2023, 24, 887. [Google Scholar] [CrossRef] [PubMed]
- Wollina, U. Seborrheic Keratoses—The Most Common Benign Skin Tumor of Humans. Clinical Presentation and an Update on Pathogenesis and Treatment Options. Open Access Maced. J. Med. Sci. 2018, 6, 2270–2275. [Google Scholar] [CrossRef] [PubMed]
- Williams, V.M.; Filippova, M.; Filippov, V.; Payne, K.J.; Duerksen-Hughes, P. Human Papillomavirus Type 16 E6* Induces oxidative Stress and DNA Damage. J. Virol. 2014, 88, 6751–6761. [Google Scholar] [CrossRef] [PubMed]
- Zahra, K.; Patel, S.; Dey, T.; Pandey, U.; Mishra, S.P. A Study of Oxidative Stress in Cervical Cancer—An Institutional Study. Biochem. Biophys. Rep. 2021, 25, 100881. [Google Scholar] [CrossRef] [PubMed]
- Veskoukis, A.S.; Kyparos, A.; Paschalis, V.; Nikolaidis, M.G. Spectrophotometric Assays for Measuring Redox Biomarkers in Blood. Biomarkers 2016, 21, 208–217. [Google Scholar] [CrossRef] [PubMed]
- Chaisiriwong, L.; Wanitphakdeedecha, R.; Sitthinamsuwan, P.; Sampattavanich, S.; Chatsiricharoenkul, S.; Manuskiatti, W.; Panich, U. A Case-Control Study of Involvement of Oxidative DNA Damage and Alteration of Antioxidant Defense System in Patients with Basal Cell Carcinoma: Modulation by Tumor Removal. Oxid. Med. Cell. Longev. 2016, 2016, 5934024. [Google Scholar] [CrossRef] [PubMed]
- Pluemsamran, T.; Onkoksoong, T.; Panich, U. Caffeic Acid and Ferulic Acid Inhibit UVA-Induced Matrix Metalloproteinase-1 through Regulation of Antioxidant Defense System in Keratinocyte HaCaT Cells. Photochem. Photobiol. 2012, 88, 961–968. [Google Scholar] [CrossRef]
- Johns, E.J.; O’Shaughnessy, B.; O’Neill, S.; Lane, B.; Healy, V. Impact of Elevated Dietary Sodium Intake on NAD(P)H Oxidase and SOD in the Cortex and Medulla of the Rat Kidney. Am. J. Physiol. Regul. Integr. Comp. Physiol. 2010, 299, R234–R240. [Google Scholar] [CrossRef]
- Siegel, D.; Kepa, J.K.; Ross, D. Biochemical and Genetic Analysis of NAD(P)H:Quinone Oxidoreductase 1 (NQO1). Curr. Protoc. Toxicol. 2007, 32, 4–22. [Google Scholar] [CrossRef]
- Vural, P.; Canbaz, M.; Selçuki, D. Plasma Antioxidant Defense in Actinic Keratosis and Basal Cell Carcinoma. J. Eur. Acad. Dermatol. Venereol. 1999, 13, 96–101. [Google Scholar] [CrossRef]
- BEUTLER, E.; DURON, O.; KELLY, B.M. Improved Method for the Determination of Blood Glutathione. J. Lab. Clin. Med. 1963, 61, 882–888. [Google Scholar] [PubMed]
- Janaszewska, A.; Bartosz, G. Assay of Total Antioxidant Capacity: Comparison of Four Methods as Applied to Human Blood Plasma. Scand. J. Clin. Lab. Invest. 2002, 62, 231–236. [Google Scholar] [CrossRef] [PubMed]
- Denson, K.W.; Bowers, E.F. The Determination of Ascorbic Acid in White Blood Cells. A Comparison of W.B.C. Ascorbic Acid. and Phenolic Acid. Excretion in Elderly Patients. Clin. Sci. 1961, 21, 157–162. [Google Scholar] [PubMed]
- Brown, M.A. Resistance of Human Erythrocytes Containing Elevated Levels of Vitamin E to Radiation-Induced Hemolysis. Radiat. Res. 1983, 95, 303–316. [Google Scholar] [CrossRef] [PubMed]
- van der Pols, J.C.; Heinen, M.M.; Hughes, M.C.; Ibiebele, T.I.; Marks, G.C.; Green, A.C. Serum Antioxidants and Skin Cancer Risk: An 8-Year Community-Based Follow-up Study. Cancer Epidemiol. Biomark. Prev. 2009, 18, 1167–1173. [Google Scholar] [CrossRef]
- Sowell, A.L.; Huff, D.L.; Yeager, P.R.; Caudill, S.P.; Gunter, E.W. Retinol, Alpha-Tocopherol, Lutein/Zeaxanthin, Be-ta-Cryptoxanthin, Lycopene, Alpha-Carotene, Trans-Beta-Carotene, and Four Retinyl Esters in Serum Determined Simultaneously by Reversed-Phase HPLC with Multiwavelength Detection. Clin. Chem. 1994, 40, 411–416. [Google Scholar] [CrossRef]
- Carnrick, G.R.; Manning, D.C.; Slavin, W. Determination of Selenium in Biological Materials with Platform Furnace At-om-ic-Absorption Spectroscopy and Zeeman Background Correction. Analyst 1983, 108, 1297. [Google Scholar] [CrossRef]
- Dorgan, J.F.; Boakye, N.A.; Fears, T.R.; Schleicher, R.L.; Helsel, W.; Anderson, C.; Robinson, J.; Guin, J.D.; Lessin, S.; Ratnasinghe, L.D.; et al. Serum Carotenoids and α-Tocopherol and Risk of Nonmelanoma Skin Cancer. Cancer Epidemiol. Biomark. Prev. 2004, 13, 1276–1282. [Google Scholar] [CrossRef]
- Ghaedi, E.; Rahrovani, F.; Javanbakht, M.H.; Ehsani, A.-H.; Esrafili, A.; Mohammadi, H.; Zarei, M.; Djalali, M. Retinol and α-Tocopherol Levels in the Serum and Subcutaneous Adipose Tissue of Newly Diagnosed Basal Cell Carcinoma Patients. Iran. J. Public. Health 2019, 48, 1838–1846. [Google Scholar] [CrossRef]
- Katrangi, N.; Kaplan, L.A.; Stein, E.A. Separation and Quantitation of Serum Beta-Carotene and Other Carotenoids by High Performance Liquid Chromatography. J. Lipid Res. 1984, 25, 400–406. [Google Scholar] [CrossRef]
- Breslow, R.A.; Alberg, A.J.; Helzlsouer, K.J.; Bush, T.L.; Norkus, E.P.; Morris, J.S.; Spate, V.E.; Comstock, G.W. Serological Precursors of Cancer: Malignant Melanoma, Basal and Squamous Cell Skin Cancer, and Prediagnostic Levels of Retinol, Beta- Carotene, Ly-copene, Alpha-Tocopherol, and Selenium. Cancer Epidemiol. Biomarkers Prev. 1995, 4, 837–842. [Google Scholar]
- Lavi, N.; Mantel, M.; Alfassi, Z.B. Determination of Selenium in Biological Materials by Neutron Activation Analysis. Analyst 1988, 113, 1855. [Google Scholar] [CrossRef] [PubMed]
- Driskell, W.J.; Bashor, M.M.; Neese, J.W. Beta-Carotene Determined in Serum by Liquid Chromatography with an Internal Standard. Clin. Chem. 1983, 29, 1042–1044. [Google Scholar] [CrossRef] [PubMed]
- Majidi, Z.; Djalali, M.; Javanbakht, M.H.; Fathi, M.; Zarei, M.; Foladsaz, K. Evaluation of the Level of Zinc and Malondialdehyde in Basal Cell Carcinoma. Iran. J. Public. Health 2017, 46, 1104–1109. [Google Scholar] [PubMed]
- Sedlak, J.; Lindsay, R.H. Estimation of Total, Protein-Bound, and Nonprotein Sulfhydryl Groups in Tissue with Ellman’s Reagent. Anal. Biochem. 1968, 25, 192–205. [Google Scholar] [CrossRef] [PubMed]
- Keles, M.S.; Taysi, S.; Sen, N.; Aksoy, H.; Akçay, F. Effect of Corticosteroid Therapy on Serum and CSF Malondialdehyde and Antioxidant Proteins in Multiple Sclerosis. Can. J. Neurol. Sci. 2001, 28, 141–143. [Google Scholar] [CrossRef] [PubMed]
- Patsoukis, N.; Zervoudakis, G.; Panagopoulos, N.T.; Georgiou, C.D.; Angelatou, F.; Matsokis, N.A. Thiol Redox State (TRS) and Oxidative Stress in the Mouse Hippocampus after Pentylenetetrazol-Induced Epileptic Seizure. Neurosci. Lett. 2004, 357, 83–86. [Google Scholar] [CrossRef] [PubMed]
- Bendesky, A.; Michel, A.; Sordo, M.; Calderón-Aranda, E.S.; Acosta-Saavedra, L.C.; Salazar, A.M.; Podoswa, N.; Ostrosky-Wegman, P. DNA Damage, Oxidative Mutagen Sensitivity, and Repair of Oxidative DNA Damage in Nonmelanoma Skin Cancer Patients. Environ. Mol. Mutagen. 2006, 47, 509–517. [Google Scholar] [CrossRef] [PubMed]
- Sordo, M.; Herrera, L.A.; Ostrosky-Wegman, P.; Rojas, E. Cytotoxic and Genotoxic Effects of As, MMA, and DMA on Leukocytes and Stimulated Human Lymphocytes. Teratog. Carcinog. Mutagen. 2001, 21, 249–260. [Google Scholar] [CrossRef]
- Karagas, M.R.; Greenberg, E.R.; Nierenberg, D.; Stukel, T.A.; Morris, J.S.; Stevens, M.M.; Baron, J.A. Risk of Squamous Cell Carcinoma of the Skin in Relation to Plasma Selenium, Alpha-Tocopherol, Beta-Carotene, and Retinol: A Nested Case-Control Study. Cancer Epidemiol. Biomark. Prev. 1997, 6, 25–29. [Google Scholar]
- Nierenberg, D.W. Serum and Plasma β-Carotene Levels Measured with an Improved Method of High-Performance Liquid Chromatography. J. Chromatogr. B Biomed. Sci. Appl. 1985, 339, 273–284. [Google Scholar] [CrossRef]
- Nierenberg, D.W.; Lester, D.C. Determination of Vitamins a and e in Serum and Plasma Using a Simplified Clarification Method and High-Performance Liquid Chromatography. J. Chromatogr. B Biomed. Sci. Appl. 1985, 345, 275–284. [Google Scholar] [CrossRef] [PubMed]
- Willett, W.; Stampfer, M.; Underwood, B.; Speizer, F.; Rosner, B.; Hennekens, C. Validation of a Dietary Questionnaire with Plasma Carotenoid and α-Tocopherol Levels. Am. J. Clin. Nutr. 1983, 38, 631–639. [Google Scholar] [CrossRef]
- e Silva de Almendra Freitas, B.; Lloret, G.R.; Visacri, M.B.; Tuan, B.T.; Amaral, L.S.; Baldini, D.; de Sousa, V.M.; de Castro, L.L.; Aguiar, J.R.S.; Pincinato, E.D.C.; et al. High 15-F2t-Isoprostane Levels in Patients with a Previous History of Nonmelanoma Skin Cancer: The Effects of Supplementary Antioxidant Therapy. Biomed. Res. Int. 2015, 2015, 963569. [Google Scholar] [CrossRef]
- Attia, D.M.; Goldschmeding, R.; Attia, M.A.; Boer, P.; Koomans, H.A.; Joles, J.A. Male Gender Increases Sensitivity to Renal Injury in Response to Cholesterol Loading. Am. J. Physiol. Ren. Physiol. 2003, 284, F718–F726. [Google Scholar] [CrossRef] [PubMed]
- Tatsch, E.; Bochi, G.V.; Pereira, R.D.S.; Kober, H.; Oliveira, J.R.D.; Moresco, R.N. Influência Dos Anticoagulantes e Da Temperatura de Armazenamento Sobre Os Níveis Sanguíneos de Nitrito. J. Bras. Patol. Med. Lab. 2011, 47, 147–150. [Google Scholar] [CrossRef][Green Version]
- e Silva de Almendra Freitas, B.; de Castro, L.L.; Aguiar, J.R.S.; de Araújo, C.G.B.; Visacri, M.B.; Tuan, B.T.; de Carvalho Pincinato, E.; Moriel, P. Antioxidant Capacity Total in Non-Melanoma Skin Cancer and Its Relationship with Food Consumption of Antioxidant Nutrients. Nutr. Hosp. 2015, 31, 1682–1688. [Google Scholar] [CrossRef]
- McNaughton, S.A.; Marks, G.C.; Gaffney, P.; Williams, G.; Green, A.C. Antioxidants and Basal Cell Carcinoma of the Skin: A Nested Case–Control Study. Cancer Causes Control 2005, 16, 609–618. [Google Scholar] [CrossRef]
- Bisevac, J.P.; Djukic, M.; Stanojevic, I.; Stevanovic, I.; Mijuskovic, Z.; Djuric, A.; Gobeljic, B.; Banovic, T.; Vojvodic, D. Association Between Oxidative Stress and Melanoma Progression. J. Med. Biochem. 2018, 37, 12–20. [Google Scholar] [CrossRef]
- Sun, M.; Zigman, S. An Improved Spectrophotometric Assay for Superoxide Dismutase Based on Epinephrine Autoxidation. Anal. Biochem. 1978, 90, 81–89. [Google Scholar] [CrossRef]
- Góth, L. A Simple Method for Determination of Serum Catalase Activity and Revision of Reference Range. Clin. Chim. Acta 1991, 196, 143–151. [Google Scholar] [CrossRef] [PubMed]
- Schadendorf, D.; Zuberbier, T.; Diehl, S.; Schadendorf, C.; Czarnetzki, B.M. Serum Manganese Superoxide Dismutase Is a New Tumour Marker for Malignant Melanoma. Melanoma Res. 1995, 5, 351–353. [Google Scholar] [CrossRef] [PubMed]
- Nishida, S.; Akai, F.; Iwasaki, H.; Hosokawa, K.; Kusunoki, T.; Suzuki, K.; Taniguchl, N.; Hashimoto, S.; Tamura, T.T. Manganese Superoxide Dismutase Content and Localization in Human Thyroid Tumours. J. Pathol. 1993, 169, 341–345. [Google Scholar] [CrossRef] [PubMed]
- Bernardes, S.S.; de Souza-Neto, F.P.; Ramalho, L.N.Z.; Derossi, D.R.; Guarnier, F.A.; da Silva, C.F.N.; Melo, G.P.; Simão, A.N.C.; Cecchini, R.; Cecchini, A.L. Systemic Oxidative Profile after Tumor Removal and the Tumor Microenvironment in Melanoma Patients. Cancer Lett. 2015, 361, 226–232. [Google Scholar] [CrossRef] [PubMed]
- Panis, C.; Herrera, A.C.S.A.; Victorino, V.J.; Campos, F.C.; Freitas, L.F.; De Rossi, T.; Colado Simão, A.N.; Cecchini, A.L.; Cecchini, R. Oxidative stress and hematological profiles of advanced breast cancer patients subjected to paclitaxel or doxorubicin chemotherapy. Breast Cancer Res. Treat. 2012, 133, 89–97. [Google Scholar] [CrossRef]
- Gadjeva, V.; Dimov, A.; Georgieva, N. Influence of Therapy on the Antioxidant Status in Patients with Melanoma. J. Clin. Pharm. Ther. 2008, 33, 179–185. [Google Scholar] [CrossRef]
- Aebi, H. Catalase in Vitro. In Methods in Enzymoly 105; Sies, H., Kaplan, N., Colowick, N., Eds.; Academic Press: San Diego, CA, USA, 1984; pp. 121–1266. [Google Scholar]
- Santos Bernardes, S.; de Souza-Neto, F.P.; Pasqual Melo, G.; Guarnier, F.A.; Marinello, P.C.; Cecchini, R.; Cecchini, A.L. Correlation of TGF-Β1 and Oxidative Stress in the Blood of Patients with Melanoma: A Clue to Understanding Melanoma Progression? Tumor Biol. 2016, 37, 10753–10761. [Google Scholar] [CrossRef]
- Tietze, F. Enzymic method for quantitative determination of nanogram amounts of total and oxidized glutathione: Applications to mammalian blood and other tissues. Anal. Biochem. 1969, 27, 502–522. [Google Scholar] [CrossRef]
- Auclair, C.; Voisin, E. Nitroblue Tetrazolium Reduction. In Handbook of Methods for Oxygen Radical Research, 3rd ed.; Green Wald, R.A., Ed.; CRC Press: Boca Raton, FL, USA, 1985; pp. 123–132. [Google Scholar]
- Păsărică, M.A.; Curcă, P.F.; Burcea, M.; Schmitzer, S.; Dragosloveanu, C.D.M.; Grigorescu, A.C. The Effects of Oncological Treatment on Redox Balance in Patients with Uveal Melanoma. Diagnostics 2023, 13, 1907. [Google Scholar] [CrossRef]
- Albini, A. Standardization of Protein Free SH Groups in Blood Plasma. Boll. Soc. Ital. Sperim. 1990, 18, 1829–1898. [Google Scholar]
- Hu, M.-L. Measurement of Protein Thiol Groups and Glutathione in Plasma. In Methods in Enzymology; Academic Press: San Diego, CA, USA, 1994; pp. 380–385. [Google Scholar] [CrossRef]
- Repetto, M.; Reides, C.; Gomez Carretero, M.L.; Costa, M.; Griemberg, G.; Llesuy, S. Oxidative Stress in Blood of HIV Infected Patients. Clin. Chim. Acta 1996, 255, 107–117. [Google Scholar] [CrossRef] [PubMed]
- Cao, G.; Prior, R.L. Comparison of different analytical methods for assessing total antioxidant capacity of human serum. Clin. Chem. 1998, 44, 1309–1315. [Google Scholar] [CrossRef] [PubMed]
- Benzie, I.F.; Strain, J.J. The ferric reducing ability of plasma (FRAP) as a measure of “antioxidant power”: The FRAP assay. Anal. Biochem. 1996, 239, 70–76. [Google Scholar] [CrossRef] [PubMed]
- Gupta, A.; Bhatt, M.L.B.; Misra, M.K. Lipid Peroxidation and Antioxidant Status in Head and Neck Squamous Cell Carcinoma Patients. Oxid. Med. Cell. Longev. 2009, 2, 68–72. [Google Scholar] [CrossRef]
- Rogoża-Janiszewska, E.; Malińska, K.; Baszuk, P.; Marciniak, W.; Derkacz, R.; Lener, M.; Jakubowska, A.; Cybulski, C.; Huzarski, T.; Masojć, B.; et al. Serum Selenium Level and 10-Year Survival after Melanoma. Biomedicines 2021, 9, 991. [Google Scholar] [CrossRef]
- Reinhold, U.; Biltz, H.; Bayer, W.; Schmidt, K.H. Serum Selenium Levels in Patients with Malignant Melanoma. Acta Derm. Venereol. 1989, 69, 132–136. [Google Scholar]
- Deffuant, C.; Celerier, P.; Boiteau, H.L.; Litoux, P.; Dreno, B. Serum Selenium in Melanoma and Epidermotropic Cutaneous T-Cell Lymphoma. Acta Derm. Venereol. 1994, 74, 90–92. [Google Scholar] [CrossRef]
- Fisher, G.L.; McNeill, K.L.; Spitler, L.E.; Rosenblatt, L.S. Serum Copper and Zinc Levels in Melanoma Patients. Cancer 1981, 47, 1838–1844. [Google Scholar] [CrossRef]
- Horčičko, J.; Pantůček, M. Hypozincemia in Patients with Malignant Melanoma. Clin. Chim. Acta 1983, 130, 279–282. [Google Scholar] [CrossRef]
- Dawson, J.B.; Walker, B.E. Direct Determination of Zinc in Whole Blood, Plasma and Urine by Atomic Absorption Spectroscopy. Clin. Chim. Acta 1969, 26, 465–475. [Google Scholar] [CrossRef]
- Ros-Bullón, M.R.; Sánchez-Pedreño, P.; Martínez-Liarte, J.H. Serum Zinc Levels Are Increased in Melanoma Patients. Melanoma Res. 1998, 8, 273–277. [Google Scholar] [CrossRef] [PubMed]
- Girotti, M.J.; Khan, N.; Mclellan, B.A. Early Measurement of Systemic Lipid Peroxidation Products in the Plasma of Major Blunt Trauma Patients. J. Trauma Inj. Infect. Crit. Care 1991, 31, 32–35. [Google Scholar] [CrossRef] [PubMed]
- Carbonneau, M.A.; Peuchant, E.; Sess, D.; Canioni, P.; Clerc, M. Free and Bound Malondialdehyde Measured as Thiobarbituric Acid Adduct by HPLC in Serum and Plasma. Clin. Chem. 1991, 37, 1423–1429. [Google Scholar] [CrossRef]
- Placer, Z.A.; Cushman, L.L.; Johnson, B.C. Estimation of Product of Lipid Peroxidation (Malonyl Dialdehyde) in Biochemical Systems. Anal. Biochem. 1966, 16, 359–364. [Google Scholar] [CrossRef]
- Victorino, V.J.; Panis, C.; Campos, F.C.; Cayres, R.C.; Colado-Simão, A.N.; Oliveira, S.R.; Herrera, A.C.S.A.; Cecchini, A.L.; Cecchini, R. Decreased Oxidant Profile and Increased Antioxidant Capacity in Naturally Postmenopausal Women. Age 2013, 35, 1411–1421. [Google Scholar] [CrossRef][Green Version]
- Elvira, Y.; Putra, I.B.; Jusuf, N.K. Correlation between Superoxide Dismutase (SOD) with Malondialdehyde (MDA) Level in Blood Plasma of Seborrheic Keratosis. Bali Med. J. 2023, 12, 1291–1294. [Google Scholar]
- Descamps-Latscha, B.; Witko-Sarsat, V.; Nguyen-Khoa, T.; Nguyen, A.T.; Gausson, V.; Mothu, N.; Cardoso, C.; Noël, L.-H.; Guérin, A.P.; London, G.M.; et al. Early Prediction of IgA Nephropathy Progression: Proteinuria and AOPP Are Strong Prognostic Markers. Kidney Int. 2004, 66, 1606–1612. [Google Scholar] [CrossRef] [PubMed]
- Sener, S.; Kilinc, F.; Akbas, A.; Erdogan, S.; Erel, O.; Metin, A. Oxidative Stress and Thiol/Disulfide Homeostasis in Human Papillomavirus Infections. Indian J. Dermatol. 2022, 67, 228. [Google Scholar] [CrossRef]
- Erel, O.; Neselioglu, S. A Novel and Automated Assay for Thiol/Disulphide Homeostasis. Clin. Biochem. 2014, 47, 326–332. [Google Scholar] [CrossRef]
- Korkmaz, S.; Şirin, F.B.; Erturan, İ.; Büyükbayram, H.İ.; Yildirim, M. Coenzyme Q10, Zinc and MDA Levels in Verruca Vulgaris. Turk. J. Med. Sci. 2020, 50, 1387–1392. [Google Scholar] [CrossRef]
- Draper, H.H.; Hadley, M. Malondialdehyde Determination as Index of Lipid Peroxidation. In Methods in Enzymology; Academic Press: San Diego, CA, USA, 1990; pp. 421–431. [Google Scholar]
- Smith, J.C.; Butrimovitz, G.P.; Purdy, W.C. Direct Measurement of Zinc in Plasma by Atomic Absorption Spectroscopy. Clin. Chem. 1979, 25, 1487–1491. [Google Scholar] [CrossRef] [PubMed]
- Mitran, C.I.; Nicolae, I.; Tampa, M.; Mitran, M.I.; Caruntu, C.; Sarbu, M.I.; Ene, C.D.; Matei, C.; Ionescu, A.C.; Georgescu, S.R.; et al. The Relationship between the Soluble Receptor for Advanced Glycation End Products and Oxidative Stress in Patients with Palmoplantar Warts. Medicina 2019, 55, 706. [Google Scholar] [CrossRef] [PubMed]
- Erturan, İ.; Kumbul Doğuç, D.; Korkmaz, S.; Büyükbayram, H.İ.; Yıldırım, M.; Kocabey Uzun, S. Evaluation of Oxidative Stress in Patients with Recalcitrant Warts. J. Eur. Acad. Dermatol. Venereol. 2019, 33, 1952–1957. [Google Scholar] [CrossRef]
- Erel, O. A New Automated Colorimetric Method for Measuring Total Oxidant Status. Clin. Biochem. 2005, 38, 1103–1111. [Google Scholar] [CrossRef]
- Demirbag, R.; Gur, M.; Yilmaz, R.; Kunt, A.S.; Erel, O.; Andac, M.H. Influence of Oxidative Stress on the Development of Collateral Circulation in Total Coronary Occlusions. Int. J. Cardiol. 2007, 115, 14–19. [Google Scholar] [CrossRef] [PubMed]
- Cokluk, E.; Sekeroglu, M.R.; Aslan, M.; Balahoroglu, R.; Bilgili, S.G.; Huyut, Z. Determining Oxidant and Antioxidant Status in Patients with Genital Warts. Redox Rep. 2015, 20, 210–214. [Google Scholar] [CrossRef]
- Paglia, D.E.; Valentine, W.N. Studies on the Quantitative and Qualitative Characterization of Erythrocyte Glutathione Peroxidase. J. Lab. Clin. Med. 1967, 70, 158–169. [Google Scholar]
- Sasmaz, S.; Arican, O.; Kurutas, E.B. Oxidative Stress in Patients with Nongenital Warts. Mediat. Inflamm. 2005, 2005, 233–236. [Google Scholar] [CrossRef]
- Fridovich, I. Superoxide Dismutases. In Advances in Enzymology and Related Areas of Molecular Biology; Meister, A., Ed.; Wiley: Hoboken, NJ, USA, 1974; pp. 35–97. [Google Scholar]
- Ohkawa, H.; Ohishi, N.; Yagi, K. Assay for Lipid Peroxides in Animal Tissues by Thiobarbituric Acid Reaction. Anal. Biochem. 1979, 95, 351–358. [Google Scholar] [CrossRef]
- Savoye, I.; Olsen, C.M.; Whiteman, D.C.; Bijon, A.; Wald, L.; Dartois, L.; Clavel-Chapelon, F.; Boutron-Ruault, M.-C.; Kvaskoff, M. Patterns of Ultraviolet Radiation Exposure and Skin Cancer Risk: The E3N-SunExp Study. J. Epidemiol. 2018, 28, 27–33. [Google Scholar] [CrossRef]
- Tsuchida, K.; Sakiyama, N.; Ogura, Y.; Kobayashi, M. Skin Lightness Affects Ultraviolet A-induced Oxidative Stress: Evaluation Using Ultraweak Photon Emission Measurement. Exp. Dermatol. 2023, 32, 146–153. [Google Scholar] [CrossRef]
- Karampinis, E.; Lallas, A.; Lazaridou, E.; Errichetti, E.; Apalla, Z. Race-Specific and Skin of Color Dermatoscopic Characteristics of Skin Cancer: A Literature Review. Dermatol. Pract. Concept. 2023, 13, e2023311S. [Google Scholar] [CrossRef] [PubMed]
- Addor, F.A.S. Antioxidants in Dermatology. An. Bras. Dermatol. 2017, 92, 356–362. [Google Scholar] [CrossRef]
- Abu Youssef, H.A.; Elshazly, M.I.; Rashed, L.A.; Sabry, I.M.; Ibrahim, E.K. Thiobarbituric Acid Reactive Substance (TBARS) a Marker of Oxidative Stress in Obstructive Sleep Apnea. Egypt. J. Chest Dis. Tuberc. 2014, 63, 119–124. [Google Scholar] [CrossRef]
- Goycheva, P.; Petkova-Parlapanska, K.; Georgieva, E.; Karamalakova, Y.; Nikolova, G. Biomarkers of Oxidative Stress in Diabetes Mellitus with Diabetic Nephropathy Complications. Int. J. Mol. Sci. 2023, 24, 13541. [Google Scholar] [CrossRef]
- Olszowy-Tomczyk, M.; Paprotny, Ł.; Celejewska, A.; Szewczak, D.; Wianowska, D. Comparison of the Antioxidant Properties of Serum and Plasma Samples as Well as Glutathione under Environmental and Pharmacological Stress Factors Involving Different Classes of Drugs. Environ. Toxicol. Pharmacol. 2022, 94, 103936. [Google Scholar] [CrossRef] [PubMed]
- Salar-Amoli, J.; Hejazy, M.; Ali Esfahani, T. Comparison between Some Oxidative Stress Biomarkers Values in Serum and Plasma of Clinically Healthy Adult Camels (Camelus Dromedarius) in Iran. Vet. Res. Commun. 2009, 33, 849–854. [Google Scholar] [CrossRef]
- Biesalski Hans, K.; Jana, T. Micronutrients in the Life Cycle: Requirements and Sufficient Supply. NFS J. 2018, 11, 1–11. [Google Scholar] [CrossRef]
- Conklin, K.A. Chemotherapy-Associated Oxidative Stress: Impact on Chemotherapeutic Effectiveness. Integr. Cancer Ther. 2004, 3, 294–300. [Google Scholar] [CrossRef]
- Shroff, A.; Mamalis, A.; Jagdeo, J. Oxidative Stress and Skin Fibrosis. Curr. Pathobiol. Rep. 2014, 2, 257–267. [Google Scholar] [CrossRef]
- Kim, Y.-W.; Byzova, T.V. Oxidative Stress in Angiogenesis and Vascular Disease. Blood 2014, 123, 625–631. [Google Scholar] [CrossRef]
- Baek, J.; Lee, M.-G. Oxidative Stress and Antioxidant Strategies in Dermatology. Redox Rep. 2016, 21, 164–169. [Google Scholar] [CrossRef] [PubMed]
- Mujtaba, S.F.; Masih, A.P.; Alqasmi, I.; Alsulimani, A.; Khan, F.H.; Haque, S. Oxidative-Stress-Induced Cellular Toxicity and Glycoxidation of Biomolecules by Cosmetic Products under Sunlight Exposure. Antioxidants 2021, 10, 1008. [Google Scholar] [CrossRef] [PubMed]
- Kowalska, J.; Rok, J.; Rzepka, Z.; Wrześniok, D. Drug-Induced Photosensitivity—From Light and Chemistry to Biological Reactions and Clinical Symptoms. Pharmaceuticals 2021, 14, 723. [Google Scholar] [CrossRef]
- Haisma, M.S.; Greven, N.; Logendran, M.; Bos, J.; Bert, V.D.; Horváth, B.; De Vos, S.; De Bock, G.H.; Hak, E.; Rácz, E. Chronic Use of Hydrochlorothiazide and Risk of Skin Cancer in Caucasian Adults: A PharmLines Initiative Inception Cohort Study. Acta Derm. Venereol. 2023, 103, adv3933. [Google Scholar] [CrossRef]
Disclaimer/Publisher’s Note: The statements, opinions and data contained in all publications are solely those of the individual author(s) and contributor(s) and not of MDPI and/or the editor(s). MDPI and/or the editor(s) disclaim responsibility for any injury to people or property resulting from any ideas, methods, instructions or products referred to in the content. |
© 2023 by the authors. Licensee MDPI, Basel, Switzerland. This article is an open access article distributed under the terms and conditions of the Creative Commons Attribution (CC BY) license (https://creativecommons.org/licenses/by/4.0/).
Share and Cite
Karampinis, E.; Nechalioti, P.-M.; Georgopoulou, K.E.; Goniotakis, G.; Roussaki Schulze, A.V.; Zafiriou, E.; Kouretas, D. Systemic Oxidative Stress Parameters in Skin Cancer Patients and Patients with Benign Lesions. Stresses 2023, 3, 785-812. https://doi.org/10.3390/stresses3040054
Karampinis E, Nechalioti P-M, Georgopoulou KE, Goniotakis G, Roussaki Schulze AV, Zafiriou E, Kouretas D. Systemic Oxidative Stress Parameters in Skin Cancer Patients and Patients with Benign Lesions. Stresses. 2023; 3(4):785-812. https://doi.org/10.3390/stresses3040054
Chicago/Turabian StyleKarampinis, Emmanouil, Paraskevi-Maria Nechalioti, Konstantina Eirini Georgopoulou, George Goniotakis, Angeliki Viktoria Roussaki Schulze, Efterpi Zafiriou, and Demetrios Kouretas. 2023. "Systemic Oxidative Stress Parameters in Skin Cancer Patients and Patients with Benign Lesions" Stresses 3, no. 4: 785-812. https://doi.org/10.3390/stresses3040054
APA StyleKarampinis, E., Nechalioti, P.-M., Georgopoulou, K. E., Goniotakis, G., Roussaki Schulze, A. V., Zafiriou, E., & Kouretas, D. (2023). Systemic Oxidative Stress Parameters in Skin Cancer Patients and Patients with Benign Lesions. Stresses, 3(4), 785-812. https://doi.org/10.3390/stresses3040054

