Comprehensive Analysis of Microstructure and Mechanical, Operational, and Technological Properties of AISI 321 Austenitic Stainless Steel at Electron Beam Freeform Fabrication
Abstract
1. Introduction
2. Materials and Methods
2.1. Materials
2.2. Building EBAM Samples
2.3. Microstructural Examinations and Tensile Tests
2.4. Evaluation of Chemical Compositions
2.5. Corrosion Tests
2.6. Study of Cutting Forces upon Milling with an Industrial Machine
2.7. Optimization of the Cutting Parameters for a Semi-Industrial CNC Machine
3. Chemical Compositions, Microstructures, and Mechanical Properties
3.1. Chemical Composition
3.2. Microstructures and Mechanical Properties
3.3. TEM Examinations
3.4. Corrosion Resistance
4. Machinability of the 3D-Built Walls
4.1. Cutting Forces upon Milling with the Industrial Machine
4.2. Optimization of the Milling Parameters for the Semi-Industrial CNC Machine
5. Discussion
6. Conclusions
- The dimensions of the AISI 321 steel EBAM samples (thick or thin walls) did not exert a noticeable effect on their chemical compositions, including in comparison with the original wires (feedstocks) used for their 3D building. The contents of the alloying elements varied within the error limits of the method applied for determining the chemical compositions.
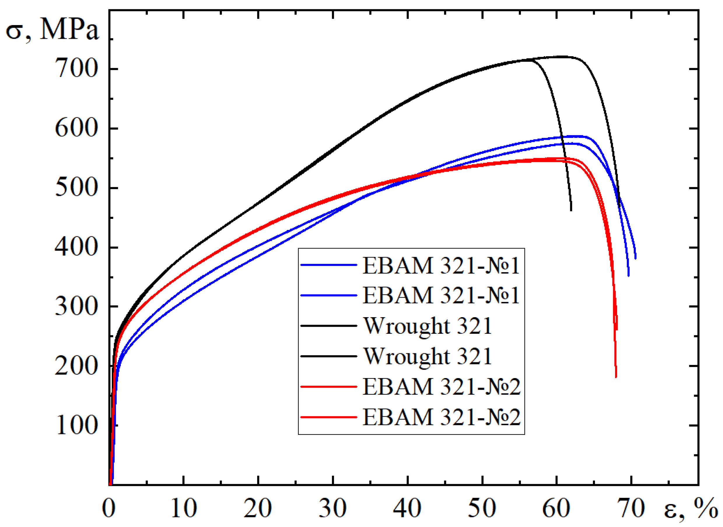
- The microstructures and the mechanical properties of the 3D-built walls were found to be similar. In comparison, the strength characteristics of the wrought steel were higher due to finer grains, as well as the greater ferrite content and dislocation density. During the EBAM process, multiple thermal cycles gave rise to the formation of elongated columnar grains, reducing the strength characteristics.
- The corrosion rate of the wrought steel was almost twice those of the 3D-built walls because of the high contents of both ferrite and twins. This datum is of relevance when express estimation of microstructure is to be carried out without running long and expansive TEM studies. The established “process-structure-property” relationship for EBAM-fabricated 321 stainless steel opens up a theoretical foundation for its future industrial applications.
- By assessing machinability of the 3D-built walls using the stationary dry milling machine (with high stiffness), it was shown that the cutting forces were comparable due to similar mechanical properties (including microhardness). To improve the MRR values and reduce the cutting forces, it is recommended to enhance the cutting speeds but not to increase the feeds.
- For the semi-industrial machine (with lower stiffness of the portal frame and application of the cutting fluid), both linear multiple regression and nonlinear FFNN models were applied. The obtained results enabled the authors to conclude that it was sufficient to use the first one to predict the optimal milling parameters. However, these studies were carried out within the narrow framework of the ‘mild’ modes in short durations, avoiding substantial wear of the end mills. Under these conditions, the predicted optimal milling parameters (N = 4500 rpm, S = 404 mm/min, and B = 0.43 mm) corresponded to both an Ra roughness of 0.648 μm and MRR value of 695 mm3/min.
- An integrated approach was proposed to rationally determine both AM and post-processing parameters based on a combination of express assessment and analysis of the mechanical, operational, and technological characteristics of 3D-built products within a single laboratory complex. This research provides a systematic methodology for the fabrication of large-scale 321 stainless steel components, encompassing the enhancement of material utilization efficiency, reduction of production cycles, and improvement of workpiece surface quality.
Author Contributions
Funding
Data Availability Statement
Acknowledgments
Conflicts of Interest
Nomenclature
| CNC | Computer Numerical Control |
| EBAM | Electron Beam Additive Manufacturing |
| EBSM | Electron Beam Selective Melting |
| FFNN | Feedforward Neural Network |
| HV | Microhardness |
| LSV | Linear Sweep Voltammetry |
| MRR | Material Remove Rate |
| MSE | Mean Square Error |
| SEM-EDS | Scanning Electron Microscopy and Energy Dispersive X-ray Spectroscopy |
| SLM | Selective Laser Melting |
| SOP | Suboptimal Parameters |
| TEM | Transmission Electron Microscope |
| WAAM | Wire Arc Additive Manufacturing |
| WLAM | Wire Laser Additive Manufacturing |
| B | Cutting Width |
| C | Deposition Speed/Building Rate, (mm/min) |
| Maximum Cutting Force | |
| I | Beam Current |
| N | Tool Rotation Speed |
| p | Significance Level |
| Surface Roughness | |
| S | Feed |
| t | Cutting Depth |
| V | Cutting Speed |
| W | Wire Feeding Rate |
References
- Lippold, J.C.; Kotecki, D.J. Welding Metallurgy and Weldability of Stainless Steel; Willer Inder Science Publication: New York, NY, USA, 2005. [Google Scholar]
- Huang, Z.; Zhang, J.; Ma, Z.; Yuan, S.; Yang, H. Research Progress on the Relationship Between Microstructure and Properties of AISI 321 Stainless Steel. Appl. Sci. 2024, 14, 10196. [Google Scholar] [CrossRef]
- Yin, Q.; Chen, G.; Cao, H.; Zhang, G.; Zhang, B.; Wei, S. Transformation law of microstructure evolution and mechanical properties of electron beam freeform fabricated 321 austenitic stainless steel. Vacuum 2021, 194, 110594. [Google Scholar] [CrossRef]
- Ma, M.; Wang, Z.; Gao, M.; Zeng, X. Layer thickness dependence of performance in high-power selective laser melting of 1Cr18Ni9Ti stainless steel. J. Mech. Work. Technol. 2015, 215, 142–150. [Google Scholar] [CrossRef]
- Kameneva, A.L.; A Minkova, A.; Cherkashneva, N.N.; Karmanov, V.V. Correlation between heat treatment process parameters, phase composition, texture, and mechanical properties of 12H18N10T stainless steel processed by selective laser melting. In IOP Conference Series: Materials Science and Engineering; IOP Publishing: Bristol, UK, 2018; Volume 447. [Google Scholar]
- Wang, X.; Hu, Q.; Liu, W.; Yuan, W.; Shen, X.; Gao, F.; Tang, D.; Hu, Z. Microstructure and corrosion properties of wire arc additively manufactured multi-trace and multilayer stainless steel 321. Metals 2022, 12, 1039. [Google Scholar] [CrossRef]
- Zhong, C.; Gasser, A.; Backes, G.; Fu, J.; Schleifenbaum, J.H. Laser additive manufacturing of Inconel 718 at increased deposition rates. Mater. Sci. Eng. A 2022, 844, 143196. [Google Scholar] [CrossRef]
- Sciaky, Inc. Benefits of Wire vs. Powder Metal 3D Printing. Comparing Sciaky’s Wirefeed 3D Printing Process, A.K.A. Electron Beam Additive Manufacturing, to Powder-Based Feedstock 3D Printing Processes. Available online: https://www.sciaky.com/additive-manufacturing/wire-vs-powder (accessed on 25 January 2024).
- Chen, Y.; Chen, X.; Jiang, M.; Lei, Z.; Wang, Z.; Liang, J.; Wu, S.; Ma, S.; Jiang, N.; Chen, Y. Coaxial laser metal wire deposition of Ti6Al4V alloy: Process, microstructure and mechanical properties. J. Mater. Res. Technol. 2022, 20, 2578–2590. [Google Scholar] [CrossRef]
- Caballero, A.; Ding, J.; Ganguly, S.; Williams, S. Wire+ Arc Additive Manufacture of 17-4 PH stainless steel: Effect of different processing conditions on microstructure, hardness, and tensile strength. J. Mater. Process. Technol. 2019, 268, 54–62. [Google Scholar] [CrossRef]
- Węglowski, M.S.; Błacha, S.; Phillips, A. Electron beam welding–Techniques and trends–Review. Vacuum 2016, 130, 72–92. [Google Scholar] [CrossRef]
- Wang, D.; Liu, Z.; Liu, W. Experimental measurement of vacuum evaporation of aluminum in Ti-Al, V-Al, Ti6Al4V alloys by electron beam. Metals 2021, 11, 1688. [Google Scholar] [CrossRef]
- Lyu, Z.; Sato, Y.S.; Tokita, S.; Zhao, Y.; Jia, J.; Wu, A. Microstructural evolution in a thin wall of 2Cr13 martensitic stainless steel during wire arc additive manufacturing. Mater. Charact. 2021, 182, 111520. [Google Scholar] [CrossRef]
- Martyushev, N.V.; Kozlov, V.N.; Qi, M.; Tynchenko, V.S.; Kononenko, R.V.; Konyukhov, V.Y.; Valuev, D.V. Production of workpieces from martensitic stainless steel using electron-beam surfacing and investigation of cutting forces when milling workpieces. Materials 2023, 16, 4529. [Google Scholar] [CrossRef]
- Ravi, G.A.; Hao, X.; Wain, N.; Wu, X.; Attallah, M. Direct laser fabrication of three dimensional components using SC420 stainless steel. Mater. Des. 2013, 47, 731–736. [Google Scholar] [CrossRef]
- Antunes, P.D.; Silva, C.C.; Correa, E.O.; Tavares, S.S.M. Influence of the heat input and aging treatment on microstructure and mechanical properties of AISI 317 L steel weldments using 0020 robotic–pulsed GMAW. Int. J. Adv. Manuf. Technol. 2019, 105, 5151–5163. [Google Scholar] [CrossRef]
- Silva, C.C.; de Miranda, H.C.; de Sant’Ana, H.B.; Farias, J.P. Microstructure, hardness and petroleum corrosion evaluation of 316L/AWS E309MoL-16 weld metal. Mater. Charact. 2009, 60, 346–352. [Google Scholar] [CrossRef]
- Grzesik, W. Hybrid additive and subtractive manufacturing processes and systems: A review. J. Mach. Eng. 2018, 18, 5–24. [Google Scholar] [CrossRef]
- Kolubaev, E.A.; Rubtsov, V.E.; Chumaevsky, A.V.; Astafurova, E.G. Micro-, Meso- and Macrostructural Design of Bulk Metallic and Polymetallic Materials by Wire-Feed Electron-Beam Additive Manufacturing. Phys. Mesomech. 2022, 25, 479–491. [Google Scholar] [CrossRef]
- Osipovich, K.; Kalashnikov, K.; Chumaevskii, A.; Gurianov, D.; Kalashnikova, T.; Vorontsov, A.; Zykova, A.; Utyaganova, V.; Panfilov, A.; Nikolaeva, A.; et al. Wire-Feed Electron Beam Additive Manufacturing: A Review. Metals 2023, 13, 279. [Google Scholar] [CrossRef]
- Holkar, H.; Sadaiah, M. Optimization of end milling machining parameters of AISI 321stainless steel using Taguchi method. Int. J. Recent Innov. Trends Comput. Commun. 2016, 4, 20–23. [Google Scholar]
- Arlyapov, A.; Volkov, S.; Promakhov, V.; Matveev, A.; Babaev, A.; Vorozhtsov, A.; Zhukov, A. Study of the machinability of an Inconel 625 composite with added NiTi-TiB2 fabricated by direct laser deposition. Metals 2022, 12, 1956. [Google Scholar] [CrossRef]
- Klimenov, V.A.; Kolubaev, E.A.; Han, Z.; Chumaevskii, A.V.; Klopotov, A.A.; Ustinov, A.M.; Kovalevskaya, Z.G.; Moskvichev, E.; Pan, M. Influence of anisotropy properties and structural inhomogeneity on elasticity and fracture of titanium alloys produced by electron-beam melting. Int. J. Adv. Manuf. Technol. 2024, 135, 5575–5594. [Google Scholar] [CrossRef]
- GOST 9.912-89 (ST SEV 6446-88); Unified System of Corrosion and Ageing Protection. Corrosion-Resistant Steels and Alloys. Method of Accelerated Test for Resistance to Pitting Corrosion. Publishing House of Standards: Moscow, Russia, 1989.
- Elmer, J.W.; Allen, S.M.; Eagar, T.W. Microstructural development during solidification of stainless steel alloys. Metall. Trans. A 1989, 20, 2117–2131. [Google Scholar] [CrossRef]
- Pixner, F.; Warchomicka, F.; Peter, P.; Steuwer, A.; Colliander, M.H.; Pederson, R.; Enzinger, N. Wire-based additive manufacturing of Ti-6Al-4V using electron beam technique. Materials 2020, 13, 3310. [Google Scholar] [CrossRef]
- Aghuy, A.A.; Zakeri, M.; Moayed, M.H.; Mazinani, M. Effect of grain size on pitting corrosion of 304L austenitic stainless steel. Corros. Sci. 2015, 94, 368–376. [Google Scholar] [CrossRef]
- Tiamiyu, A.A.; Eduok, U.; Odeshi, A.G.; Szpunar, J.A. Effect of prior plastic deformation and deformation rate on the corrosion resistance of AISI 321 austenitic stainless steel. Mater. Sci. Eng. A 2019, 745, 1–9. [Google Scholar] [CrossRef]
- Tiamiyu, A.A.; Eduok, U.; Szpunar, J.A.; Odeshi, A.G. Corrosion behavior of metastable AISI 321 austenitic stainless steel: Investigating the effect of grain size and prior plastic deformation on its degradation pattern in saline media. Sci. Rep. 2019, 9, 12116. [Google Scholar] [CrossRef]
- Gupta, R.K.; Birbilis, N. The influence of nanocrystalline structure and processing route on corrosion of stainless steel: A review. Corros. Sci. 2015, 92, 1–15. [Google Scholar] [CrossRef]
- Stepanov, D.Y.; Tian, D.; Alexenko, V.O.; Panin, S.V.; Buslovich, D.G. Application of Neural Network Models with Ultra-Small Samples to Optimize the Ultrasonic Consolidation Parameters for ‘PEI Adherend/Prepreg (CF-PEI Fabric)/PEI Adherend’ Lap Joints. Polymers 2024, 16, 451. [Google Scholar] [CrossRef] [PubMed]
- Draper, N.R.; Smith, H. Applied Regression Analysis. In Wiley Series in Probability and Statistics; John Wiley and Sons: Hoboken, NJ, USA, 2014; p. 736. [Google Scholar]
- Kuprienko, N.V.; Ponomareva, O.A.; Tikhonov, D.V. Statistical Methods for Studying Relationships. In Correlation-Regression Analysis; Publishing House of the Polytechnic University: St. Petersburg, Russia, 2008; p. 118. (In Russian) [Google Scholar]
- Yan, X.; Su, X. Linear Regression Analysis: Theory and Computing; World Scientific Publishing: Singapore, 2009. [Google Scholar]
- Haykin, S.S. Neural Networks and Learning Machines, 3rd ed.; Pearson Education: Upper Saddle River, NJ, USA, 2009. [Google Scholar]
- Swingler, K. Applying Neural Networks: A Practical Guide; Morgan Kaufman Publishers, Inc.: San Francisco, CA, USA, 1996. [Google Scholar]













| No. | Cutting Speed (m/min) | Feed (mm/min) | Width (mm) | Depth (mm) |
|---|---|---|---|---|
| 1 | 25 | 50 | 8 | 0.5 |
| 2 | 25 | 160 | ||
| 3 | 25 | 250 | ||
| 4 | 50 | 50 | ||
| 5 | 50 | 160 | ||
| 6 | 50 | 250 | ||
| 7 | 75 | 50 | ||
| 8 | 75 | 160 | ||
| 9 | 75 | 250 |
| No. | Rotation Speed, N (rpm) | Feed, S (mm/min) | Width, B (mm) | Depth t, (mm) | Roughness Ra (μm) | MRR (mm3/min) |
|---|---|---|---|---|---|---|
| 1 | 1000 | 200 | 0.1 | 4 | 0.46 ± 0.02 | 80 |
| 2 | 1000 | 400 | 0.3 | 1.29 ± 0.04 | 480 | |
| 3 | 1000 | 600 | 0.5 | 2.57 ± 0.23 | 1200 | |
| 4 | 2500 | 200 | 0.3 | 0.59 ± 0.03 | 240 | |
| 5 | 2500 | 400 | 0.5 | 1.01 ± 0.04 | 800 | |
| 6 | 2500 | 600 | 0.1 | 0.88 ± 0.04 | 240 | |
| 7 | 4000 | 200 | 0.5 | 0.63 ± 0.03 | 400 | |
| 8 | 4000 | 400 | 0.1 | 0.40 ± 0.01 | 160 | |
| 9 | 4000 | 600 | 0.3 | 0.75 ± 0.03 | 720 |
| Sample | Fe | Cr | Ni | Mn | Si | Ti | Cu | Mo | Co | Al | P | C | V |
|---|---|---|---|---|---|---|---|---|---|---|---|---|---|
| wt.% | |||||||||||||
| Wire | 65.3 | 19.6 | 11.5 | 0.8 | 0.7 | 0.7 | 0.5 | 0.3 | 0.6 | 0.04 | 0.06 | 0.02 | – |
| Thick wall | 64.6 | 19.5 | 12.1 | 0.8 | 0.7 | 0.6 | 0.5 | 0.3 | 0.6 | – | 0.05 | 0.02 | 0.04 |
| Thin wall | 65.7 | 19.3 | 11.5 | 0.8 | 0.7 | 0.7 | 0.5 | 0.3 | 0.5 | – | – | 0.03 | – |
| Sample | Ultimate Tensile Strength, MPa | Yield Strength, MPa | Elongation, % | Microhardness, HV |
|---|---|---|---|---|
| Thick wall | 570 ± 10 | 208 ± 10 | 70 ± 2% | 191 ± 5 |
| Thin wall | 550 ± 5 | 198 ± 10 | 68 ± 1% | 185 ± 5 |
| Wrought steel | 700 ± 10 | 250 ± 10 | 63 ± 3% | 230 ± 5 |
| No. | Element Content, wt.% | |||||
|---|---|---|---|---|---|---|
| Si | Cr | Mn | Fe | Ni | Mo | |
| 1 | 0.5 | 24.9 | 2.0 | 68.9 | 3.4 | 0.3 |
| 2 | 0.5 | 18.2 | 1.5 | 72.7 | 7.1 | 0.0 |
| 3 | 0.1 | 18.0 | 2.0 | 72.0 | 7.5 | 0.4 |
| No. | Composition of Elements, wt.% | |||||
|---|---|---|---|---|---|---|
| Si | Ti | Cr | Mn | Fe | Ni | |
| 1 | 0.3 | 33.4 | 12.0 | 0.2 | 46.3 | 7.8 |
| 2 | 0.8 | 81.8 | 5.1 | 0.2 | 10.8 | 0.7 |
| 3 | 0.6 | 0.0 | 17.6 | 2.0 | 67.3 | 12.4 |
| Sample | Corrosion Current, Icorr (μA) | Corrosion Potential, Ecorr (V) | Breakdown Potential, Eb (V) | Polarization Resistance, (kΩ/cm2) | Corrosion Rate, (μm/year) |
|---|---|---|---|---|---|
| Thick wall | 3.4 ± 0.1 | −0.33 ± 0.02 | 0.46 ± 0.01 | 14.6 ± 0.4 | 30 ± 2 |
| Thin wall | 3.8 ± 0.1 | −0.32 ± 0.02 | 0.43 ± 0.01 | 12.5 ± 0.3 | 35 ± 2 |
| Wrought steel | 6.4 ± 0.1 | −0.20 ± 0.02 | 0.20 ± 0.01 | 7.3 ± 0.2 | 56 ± 2 |
| Thick Wall | Thin Wall | Wrought Steel | |
|---|---|---|---|
| Microhardness (НV) | 191 ± 5 | 185 ± 5 | 230 ± 5 |
| Ultimate tensile strength (MPa) | 570 ± 10 | 550 ± 10 | 700 ± 10 |
| Elongation (%) | 70 ± 2% | 68 ± 1% | 63 ± 3% |
| Average grain size (μm) | - | 25.9 | 11.7 |
| Grain structure type | - | columnar | equiaxed fine |
| Conditional dislocation density (cm−2) | - | ~1010 | 1011 |
| Ferrite content (%) | - | 6.9 | 16.1 |
| Austenite content (%) | - | 93.1 | 83.9 |
| Presence of twins | - | - | + |
| Carbide type | - | TiC | TiC |
| Corrosion rate (μm/year) | 30 ± 2 | 35 ± 2 | 56 ± 2 |
| Limiting Ranges | Suboptimality Boundaries | |||
|---|---|---|---|---|
| Min | Max | Min | Max | |
| Parameters | ||||
| Rotation speed, N (rpm) | 500 | 5000 | ||
| Feed, S (mm/min) | 100 | 800 | ||
| Width, B (mm) | 0.1 | 1 | ||
| Characteristics | ||||
| Ra roughness (µm) | 0 | 4 | - | 0.8 |
| MRR (mm3/min) | 0 | 2000 | 300 | - |
| No. | Milling Parameters | Characteristics | |||||
|---|---|---|---|---|---|---|---|
| Rotation Speed, N (rpm) | Feed, S (mm/min) | Width, B (mm) | MRR, mm3/min | Ra Roughness (µm) | |||
| Experiment | Regress | FFNN | |||||
| 10 | 4000 | 100 | 0.5 | 200 | 0.333 | 0.3117 | 0.6115 |
| 11 | 4000 | 600 | 0.5 | 1200 | 1.193 | 1.3617 | 1.0429 |
| 12 | 4500 | 400 | 0.3 | 480 | 0.425 | 0.3889 | 0.5224 |
| Mean deviation | 0.0753 | 0.1753 | |||||
Disclaimer/Publisher’s Note: The statements, opinions and data contained in all publications are solely those of the individual author(s) and contributor(s) and not of MDPI and/or the editor(s). MDPI and/or the editor(s) disclaim responsibility for any injury to people or property resulting from any ideas, methods, instructions or products referred to in the content. |
© 2025 by the authors. Licensee MDPI, Basel, Switzerland. This article is an open access article distributed under the terms and conditions of the Creative Commons Attribution (CC BY) license (https://creativecommons.org/licenses/by/4.0/).
Share and Cite
Panin, S.V.; Qi, M.; Stepanov, D.Y.; Burkov, M.V.; Rubtsov, V.E.; Kushnarev, Y.V.; Litovchenko, I.Y. Comprehensive Analysis of Microstructure and Mechanical, Operational, and Technological Properties of AISI 321 Austenitic Stainless Steel at Electron Beam Freeform Fabrication. Constr. Mater. 2025, 5, 62. https://doi.org/10.3390/constrmater5030062
Panin SV, Qi M, Stepanov DY, Burkov MV, Rubtsov VE, Kushnarev YV, Litovchenko IY. Comprehensive Analysis of Microstructure and Mechanical, Operational, and Technological Properties of AISI 321 Austenitic Stainless Steel at Electron Beam Freeform Fabrication. Construction Materials. 2025; 5(3):62. https://doi.org/10.3390/constrmater5030062
Chicago/Turabian StylePanin, Sergey V., Mengxu Qi, Dmitry Yu. Stepanov, Mikhail V. Burkov, Valery E. Rubtsov, Yury V. Kushnarev, and Igor Yu. Litovchenko. 2025. "Comprehensive Analysis of Microstructure and Mechanical, Operational, and Technological Properties of AISI 321 Austenitic Stainless Steel at Electron Beam Freeform Fabrication" Construction Materials 5, no. 3: 62. https://doi.org/10.3390/constrmater5030062
APA StylePanin, S. V., Qi, M., Stepanov, D. Y., Burkov, M. V., Rubtsov, V. E., Kushnarev, Y. V., & Litovchenko, I. Y. (2025). Comprehensive Analysis of Microstructure and Mechanical, Operational, and Technological Properties of AISI 321 Austenitic Stainless Steel at Electron Beam Freeform Fabrication. Construction Materials, 5(3), 62. https://doi.org/10.3390/constrmater5030062

