Influence of the Ambient Relative Humidity on the Very-Long-Term DEF
Abstract
:1. Introduction
2. Experiments
2.1. Materials, Specimens Curing, and Storage
- Im for concretes that were immersed continuously in water;
- , , and for concretes that were stored initially at 94%, 98%, and 100% , respectively.
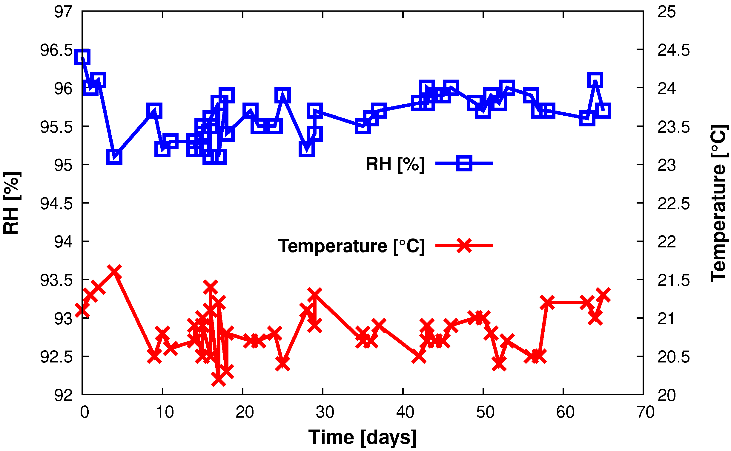
2.2. Measurements
2.3. Results
3. Modeling
- The stress-free potential chemical strain that constitutes the amplitude of fully reached expansion;
- The characteristic time ;
- The latency time .
4. Discussion
5. Conclusions
Author Contributions
Funding
Data Availability Statement
Conflicts of Interest
Appendix A. Swelling Evolution in the Case of Constant RH
Appendix B. Swelling Evolution in the Case of Variable RH
References
- Taylor, H.F.W.; Famy, C.; Scrivener, K.L. Delayed ettringite formation. Cem. Concr. Res. 2001, 31, 683–693. [Google Scholar] [CrossRef]
- Al Shaama, M.; Lavaud, S.; Divet, L.; Nahas, G.; Torrenti, J.M. Coupling between mechanical and transfer properties and expansion due to DEF in a concrete of nuclear power plant. Nucl. Eng. Des. 2014, 266, 70–77. [Google Scholar] [CrossRef]
- Rasheed, P.A.; Nayar, S.K.; Barsoum, I.; Alfantazi, A. Degradation of concrete structures in nuclear power plants: A review of the major causes and possible preventive measures. Energies 2022, 15, 8011. [Google Scholar] [CrossRef]
- Scrivener, K.L.; Damidot, D.; Famy, C. Possible mechanisms of expansion of concrete exposed to elevated temperatures during curing (also known as DEF) and implications for avoidance of field problems. Cem. Concr. Aggreg. 1999, 21, 93–101. [Google Scholar]
- Collepardi, M. A state-of-the-art review on delayed ettringite attack on concrete. Cem. Concr. Compos. 2003, 25, 401–407. [Google Scholar] [CrossRef]
- Salgues, M.; Sellier, A.; Multon, S.; Bourdarot, E.; Grimal, E. DEF modelling based on thermodynamics equilibria and ionic transfers for structural analysis. Eur. J. Environ. Civ. Eng. 2014, 18, 377–402. [Google Scholar]
- Pavoine, A.; Brunetaud, X.; Divet, L. The impact of cement parameters on Delayed Ettringite Formation. Cem. Concr. Compos. 2012, 34, 521–528. [Google Scholar] [CrossRef]
- Lawrence, C.D. Long-term expansion of mortars and concretes. Spec. Publ. 1999, 177, 105–124. [Google Scholar]
- Miller, F.M.; Conway, T. Use of ground granulated blast furnace slag for reduction of expansion due to delayed ettringite formation. Cem. Concr. Aggreg. 2003, 25, 221–230. [Google Scholar]
- Ramlochan, T.; Zacarias, P.; Thomas, M.D.A.; Hooton, R.D. The effect of pozzolans and slag on the expansion of mortars cured at elevated temperature: Part I: Expansion behaviour. Cem. Concr. Res. 2003, 33, 807–814. [Google Scholar] [CrossRef]
- Thiebaut, Y.; Multon, S.; Sellier, A.; Lacarriere, L.; Boutillon, L.; Belili, D.; Hadji, S. Effects of stress on concrete expansion due to delayed ettringite formation. Constr. Build. Mater. 2018, 183, 626–641. [Google Scholar] [CrossRef]
- Boening, A.; Funez, L.M.; Memberg, L.; Roche, J.; Tinkey, B.; Kligner, R.E.; Fowler, T.J. Structural assessment of bridges with premature concrete deterioration due to expansive reactions. ACI Struct. J. 2014, 106, 196–204. [Google Scholar]
- Mielenz, R.C.; Marusin, S.L.; Hime, W.G.; Jugovic, Z.T. Investigation of prestressed concrete railway tier distress. Concr. Int. 1995, 17, 62–68. [Google Scholar]
- Hanehara, S.; Omayada, T.; Fujiwara, T. Reproduction of delayed ettringite formation in concrete and its mechanism. In Proceedings of the International Conference on Microstructure Related Durability of Cementitious Composites, Nanjing, China, 13–15 October 2008; RILEM Publications: Bagneux, France, 2008. [Google Scholar]
- Famy, C.; Scrivener, K.L.; Atkinson, A.; Brough, A.R. Influence of the storage conditions on the dimensional changes of heat-cured mortars. Cem. Concr. Res. 2001, 31, 795–803. [Google Scholar] [CrossRef]
- Heinz, D.; Kalde, M.; Ludwig, U.; Ruediger, I. Present state of investigation on damaging late ettringite formation (DEF) in mortars and concretes. In SP177: Ettringite—The Sometimes Host of Destruction; Erlin, B., Ed.; American Concrete Institute: Farmington Hills, MI, USA, 1999; pp. 1–14. [Google Scholar]
- Rust, C.K. Role of Relative Humidity in Concrete Expansion due to Alkali-Silica Reaction and Delayed Ettringite Formation: Relative Humidity Thresholds, Measurement Methods, and Coating to Mitigate Expansion. Ph.D. Thesis, University of Texas, Austin, TX, USA, 2009. [Google Scholar]
- Shimada, Y.; Johansen, V.C.; Miller, F.M.; Mason, T.O. Chemical Path of Ettringite Formation in Heat-Cured Mortar and Its Relationship to Expansion: A Literature Review; Portland Cement Association: Skokie, IL, USA, 2005. [Google Scholar]
- Older, I.; Chen, Y. Effect of cement composition on the expansion of heat-cured cement pastes. Cem. Concr. Res. 1995, 25, 853–862. [Google Scholar]
- Martin, R.P. Analyse sur Structures Modèles des Effets Mécaniques de la Réaction Sulfatique Interne Du béton. Ph.D. Thesis, Université Paris-Est, Paris, France, 2010. [Google Scholar]
- Al Shaama, M.; Lavaud, S.; Divet, L.; Nahas, G.; Torrenti, J.M. Influence of relative humidity on delayed ettringite formation. Cem. Concr. Compos. 2015, 58, 14–22. [Google Scholar] [CrossRef]
- Graf, L. Effect of Relative Humidity on Expansion and Microstructure of Heat-Cured Mortars; Portland Cement Association: Skokie, IL, USA, 2007. [Google Scholar]
- Sellier, A.; Multon, S. Chemical modelling of delayed ettringite formation for assessment of affected concrete structures. Cem. Concr. Res. 2018, 108, 72–86. [Google Scholar] [CrossRef]
- Bouzabata, H.; Multon, S.; Sellier, A.; Houari, H. Swelling due Alkali-Silica reaction and delayed ettringite formation: Characterisation of expansion isotropy and effect of moisture conditions. Cem. Concr. Compos. 2012, 34, 349–356. [Google Scholar] [CrossRef]
- Martin, R.P.; Bonnet, A.; Renaud, J.C.; Chlela, R.; Toutlemonde, F.; Sauvaget, C. Influence of moisture on the development of Delayed Ettringite Formation. Mag. Concr. Res. 2023, 75, 747–754. [Google Scholar] [CrossRef]
- Escadeillas, G.; Aubert, J.; Segerer, M.; Prince, W. Some factors affecting delayed ettringite formation in heat-cured mortars. Cem. Concr. Res. 2007, 37, 1445–1452. [Google Scholar] [CrossRef]
- Young, J.F. Humidity control in the laboratory using salt solutions—A review. J. Appl. Chem. 1967, 17, 241–268. [Google Scholar] [CrossRef]
- Ulm, F.J.; Coussy, O.; Li, K.; Larive, C. Thermo-chemo-mechanics of ASR expansion in concrete structures. ASCE J. Eng. Mech. 2000, 126, 233–242. [Google Scholar] [CrossRef]
- Nedjar, B.; Rospars, C.; Martin, R.P.; Toutlemonde, F. Benchmark Study Results: IFSTTAR. In Diagnosis and Prognosis of AAR Affected Structures: State-of-the-Art Report of the RILEM TC 259-ISR; Saouma, V.E., Ed.; Springer International Publishing: Berlin/Heidelberg, Germany, 2021; pp. 401–411. [Google Scholar]
- Larive, C. Apports Combinés de l’Expérimentation et de la Modélisation à la Compréhension de L’alcali-Réaction et de ses Effets Mécaniques, OA28; Technical Report; Laboratoire Central des Ponts et Chaussées: Paris, France, 1998. [Google Scholar]
- Malbois, M.; Nedjar, B.; Lavaud, S.; Rospars, C.; Divet, L.; Torrenti, J.M. On DEF expansion modelling in concrete structures under variable hydric conditions. Constr. Build. Mater. 2019, 207, 396–402. [Google Scholar] [CrossRef]
- Jabbour, J. Étude multi-échelles de l’attaque sulfatique externe dans les structures en béton armé. Ph.D. Thesis, University Paris-Est, Marne-la-Vallée, France, 2019. [Google Scholar]



| Material | kg/m3 |
|---|---|
| Cement CEM I 52.5 N | 400 |
| Siliceous sand 0/4 | 710 |
| Siliceous aggregate 4/20 | 1090 |
| Water | 190 |
| Material Parameters | |||
|---|---|---|---|
| Potential chemical strain (%) | = 1.1965 | − | − |
| Characteristic time, Equation | days | ||
| Latency time, Equation | days |
Disclaimer/Publisher’s Note: The statements, opinions and data contained in all publications are solely those of the individual author(s) and contributor(s) and not of MDPI and/or the editor(s). MDPI and/or the editor(s) disclaim responsibility for any injury to people or property resulting from any ideas, methods, instructions or products referred to in the content. |
© 2023 by the authors. Licensee MDPI, Basel, Switzerland. This article is an open access article distributed under the terms and conditions of the Creative Commons Attribution (CC BY) license (https://creativecommons.org/licenses/by/4.0/).
Share and Cite
Houndonougbo, T.; Nedjar, B.; Divet, L.; Torrenti, J.-M. Influence of the Ambient Relative Humidity on the Very-Long-Term DEF. Constr. Mater. 2023, 3, 405-413. https://doi.org/10.3390/constrmater3040026
Houndonougbo T, Nedjar B, Divet L, Torrenti J-M. Influence of the Ambient Relative Humidity on the Very-Long-Term DEF. Construction Materials. 2023; 3(4):405-413. https://doi.org/10.3390/constrmater3040026
Chicago/Turabian StyleHoundonougbo, Thierry, Boumediene Nedjar, Loic Divet, and Jean-Michel Torrenti. 2023. "Influence of the Ambient Relative Humidity on the Very-Long-Term DEF" Construction Materials 3, no. 4: 405-413. https://doi.org/10.3390/constrmater3040026
APA StyleHoundonougbo, T., Nedjar, B., Divet, L., & Torrenti, J.-M. (2023). Influence of the Ambient Relative Humidity on the Very-Long-Term DEF. Construction Materials, 3(4), 405-413. https://doi.org/10.3390/constrmater3040026

