Experimental and Analytical Assessment of Shaft Resistance and Critical Depth of Piles Subjected to Uplift Loads in Overconsolidated Sand
Abstract
1. Introduction
2. Mode of Failure

3. Critical Depth Theory
4. Test Tank and Loading System Setup
5. Characteristics of Test Sand
6. Test Pile Instrumentation Setup
7. Testing Program
8. Test Preparation of the Sand
- weight of soil in the can [g]
- : can volume [cm3]
- minimum dry unit weight of the soil [g/cm3]
- : maximum dry unit weight of the soil [g/cm3]
9. Overconsolidation Ratio (OCR)
10. Pile Driving and Static Load Testing
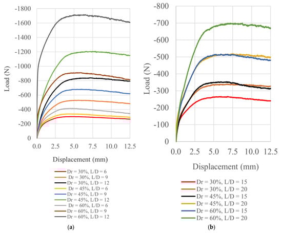
11. Pile Load Test Results
Measured Uplift Load Capacities
12. Ultimate Shaft Resistance
13. Impact of Soil Density and Pile Geometry on Ks
14. Model Validation
15. Critical Depth Analytical Model
16. Conclusions
- Uplift load tests in overconsolidated sand confirmed that shaft resistance () increases with pile diameter, relative density (), and embedment ratio (L/D) up to the critical depth (), beyond which resistance plateaus due to confinement effects.
- The earth pressure coefficient () and shaft resistance were strongly influenced by sand density and pile geometry, highlighting the importance of pile–soil interaction under uplift conditions.
- An empirical model of overconsolidated ratio (OCR) correlation was developed, offering a practical approach for predicting preconsolidation effects in sands. Nevertheless, additional experimental data under broader soil, embedment ratio, and geometry of pile are required to further validate this model.
- A design chart relating to the friction angle (ϕ) demonstrated that Ks increases with ϕ, reflecting enhanced lateral confinement and higher shaft resistance with steeper friction angles.
- The analytical model for Qs, based on the earth pressure equation and validated for Dr = 30%, 45%, and 60%, showed good agreement with both test data and previous studies.
- The empirical equation for (/D) as a function of (ϕ) confirmed that critical depth increases with increasing friction angle, aligning with the observations of Das [17].
- Comparable uplift capacities were obtained from different combinations of L/D and Dr, indicating a compensatory relationship between embedment depth and soil density.
- For instance, L/D = 20 at = 30% produced shaft resistance analogous to L/D = 15 at = 45%, while L/D = 20 at = 45% matched L/D = 20 at = 60%. However, for the cases cited in the text, the computed values are /(γ DL2 = 1.04) for L/D = 20 at Dr = 30% and /(γ DL2 = 1.87) for L/D = 15 at = 45%. These results indicate that the two combinations do not exhibit truly equivalent uplift performance when expressed in dimensionless form.
- These findings highlight design flexibility, allowing optimization of either embedment or relative density to achieve desired uplift capacity without excessive pile depth.
- Collectively, the results provide a rational framework for understanding soil–pile interaction under uplift loading and improve the basis for designing pile foundations in overconsolidated sands.
Author Contributions
Funding
Institutional Review Board Statement
Informed Consent Statement
Data Availability Statement
Conflicts of Interest
Nomenclature
| As | Pile shaft area |
| A—Tp | Axial Uplift Loading series for 38 mm pile model |
| Axial Uplift Loading series for 63 mm pile model | |
| D | Pile Diameter |
| Dr | Relative density (%) |
| fs | Mobilized shaft friction |
| Ks | Lateral earth pressure coefficient on the pile shaft |
| Coefficient of earth pressure at depth z | |
| Ku | Uplift lateral earth pressure coefficient |
| L | Pile embedment depth |
| Ratio Pile embedment critical depth | |
| OCR | Overconsolidation ratio |
| Ultimate shaft resistance | |
| Axial Uplift Loading | |
| z | Depth variable |
| Pile-soil interface friction angle | |
| Effective unit weight of soil | |
| γ | Unit weight of the sand |
| Vertical Effective stress | |
| Angle of shearing resistance |
References
- Meyerhof, G.G. Uplift Resistance of Inclined Anchors and Piles. In Proceedings of the 8th ICSMFE, Moscow, USSR, 6–11 August 1973; pp. 167–172. [Google Scholar]
- Vesic, A.S. Design of Pile Foundations. NCHRP Synthesis of Highway Practice 1977. Available online: https://trid.trb.org/View/60308 (accessed on 10 December 2025).
- Poulos, H.G.; Davis, E.H. Pile Foundation Analysis and Design; The National Academies of Sciences, Engineering, and Medicine: Washington, DC, USA, 1980. [Google Scholar]
- Ghaly, A.; Hanna, A. Experimental and Theoretical Studies on Installation Torque of Screw Anchors. Can. Geotech. J. 1991, 28, 353–364. [Google Scholar] [CrossRef]
- Fang, L.; Brown, M.; Davidson, C.; Wang, W.; Sharif, Y. A 1g Model Experimental Study on the Effects of Installation Parameters on Vibratory Driving Performance of Monopiles. In Proceedings of the ECPMG 2024: 5th European Conference on Physical Modelling in Geotechnics; International Society for Soil Mechanics and Geotechnical Engineering, Delft, The Netherlands, 2–4 October 2024. [Google Scholar]
- Manthey, S.; Vogt, S.; Cudmani, R.; Kidane, M. Experimental Study on the Time-Dependent Resistance of Open-Ended Steel Piles in Sand. Geotechnics 2024, 4, 985–1006. [Google Scholar] [CrossRef]
- Ma, H.; Ma, Y.; Zhu, L.; Zhang, H. Experimental Study on the Difference Mechanism of Shaft Resistance between Uplift Piles and Compressive Piles. Appl. Sci. 2023, 13, 3158. [Google Scholar] [CrossRef]
- Kulhawy, F.H.; Kozera, D.W.; Withiam, J.L. Uplift Testing of Model Drilled Shafts in Sand. J. Geotech. Eng. 1979, 105, 31–47. [Google Scholar] [CrossRef]
- Jeevagan, P. Understanding over Consolidation Ratio in Geotechnical Design. Available online: https://www.vjtech.co.uk/ocr-understanding-over-consolidation-ratio-in-geotechnical-design/ (accessed on 10 December 2025).
- Massarsch, K.R.; Fellenius, B.H. Deep Compaction of Sand Causing Horizontal Stress Change. Geotech. Eng. J. SEAGS AGSSEA 2020, 51, 9–21. [Google Scholar]
- Monaco, P.; Marchetti, D. Evaluation of OCR in Sand from DMT & CPT. In In Situ and Laboratory Characterization of OCR Subsoil, 6th International Workshop; Exemplum: Poznań, Poland, 2017; pp. 69–80. [Google Scholar]
- Chang, M.F. Interpretation of Overconsolidation Ratio from In Situ Tests in Recent Clay Deposits in Singapore and Malaysia. Can. Geotech. J. 1991, 28, 210–225. [Google Scholar] [CrossRef]
- Sui, S.; Zhang, X.; Lu, K.; Li, Z.; Liu, W.; Xu, H.; Han, P. Finite Element Analysis of Combined Bearing Characteristics of Pile–Soil Interaction in Composite Foundation. Appl. Sci. 2024, 14, 3894. [Google Scholar] [CrossRef]
- Ukritchon, B.; Keawsawasvong, S. Design Equations of Uplift Capacity of Circular Piles in Sands. Appl. Ocean Res. 2019, 90, 101844. [Google Scholar] [CrossRef]
- Chattopadhyay, B.C.; Pise, P.J. Uplift Capacity of Piles in Sand. J. Geotech. Eng. 1986, 112, 888–904. [Google Scholar] [CrossRef]
- Kraft, L.M. Performance of Axially Loaded Pipe Piles in Sand. J. Geotech. Eng. 1991, 117, 272–296. [Google Scholar] [CrossRef]
- Das, B.M. A Procedure for Estimation of Uplift Capacity of Rough Piles. Soils Found. 1983, 23, 122–126. [Google Scholar] [CrossRef]
- De Nicola, A.; Randolph, M.F. Tensile and Compressive Shaft Capacity of Piles in Sand. J. Geotech. Eng. 1993, 119, 1952–1973. [Google Scholar] [CrossRef]
- Altaee, A.; Fellenius, B.H.; Evgin, E. Load Transfer for Piles in Sand and the Critical Depth. Can. Geotech. J. 1993, 30, 455–463. [Google Scholar] [CrossRef]
- Fellenus, B.H.; Altaee, A.A.; Kulhawy, F.H. Critical Depth: How It Came into Being and Why It Does Not Exist. Proc. Inst. Civ. Eng. Geotech. Eng. 1996, 119, 244. [Google Scholar]
- Kim, S.-R.; Chung, S.-G. Equivalent Head-Down Load vs. Movement Relationships Evaluated from Bi-Directional Pile Load Tests. KSCE J. Civ. Eng. 2012, 16, 1170–1177. [Google Scholar] [CrossRef]
- Garnier, J.; Gaudin, C.; Springman, S.M.; Culligan, P.J.; Goodings, D.; Konig, D.; Kutter, B.; Phillips, R.; Randolph, M.F.; Thorel, L. Catalogue of Scaling Laws and Similitude Questions in Geotechnical Centrifuge Modelling. Int. J. Phys. Model. Geotech. 2007, 7, 1–23. [Google Scholar] [CrossRef]
- Vakili, R. Load Sharing Mechanism of Piled-Raft Foundation in Sand. Ph.D. Thesis, Concordia University, Montreal, QC, Canada, 2015. [Google Scholar]
- SingleTact. SingleTact Miniature Force Sensors. Available online: https://www.eu.singletact.com (accessed on 10 December 2025).
- Brzeziński, K.; Ciężkowski, P.; Józefiak, K.; Bąk, S.; Michalczyk, R.; Kwaśniewski, A. Enhancing Plate Compactor Efficiency: A Study on Frequency Effects for Different Soil Types. Transp. Geotech. 2024, 49, 101393. [Google Scholar] [CrossRef]
- Choo, H.; Lee, W.; Lee, C.; Kim, Y.-S.; Lee, M.-J. Perception of Overconsolidated States of Coarse-Grained Soils Using DMT Results. In Proceedings of the Third International Conference on the Flat Dilatometer DMT’15, Rome, Italy, 14–17 June 2015; pp. 205–212. [Google Scholar]
- Verbrugge, J.-C.; Schroeder, C. Geotechnical Correlations for Soils and Rocks; Wiley: Hoboken, NJ, USA, 2018. [Google Scholar]
- Krogh, L.; Quinteros, S.; Engin, H.K.; Lunne, T. Revisiting Interpretation of Relative Density from Shallow Depth CPTs in Sand. Can. Geotech. J. 2022, 59, 808–826. [Google Scholar] [CrossRef]
- Hanna, A.; Nguyen, T.Q. Shaft Resistance of Single Vertical and Batter Piles Driven in Sand. J. Geotech. Geoenviron. Eng. 2003, 129, 601–607. [Google Scholar] [CrossRef]
- ASTM D3689–07; Standard Test Methods for Deep Foundations under Static Axial Tensile Load. ASTM: West Conshohocken, PA, USA, 2007.
- Foray, P.; Balachowski, L.; Colliat, J.-L. Bearing Capacity of Model Piles Driven into Dense Overconsolidated Sands. Can. Geotech. J. 1998, 35, 374–385. [Google Scholar] [CrossRef]
- Han, F.; Salgado, R.; Prezzi, M.; Lim, J. Shaft and Base Resistance of Non-Displacement Piles in Sand. Comput. Geotech. 2017, 83, 184–197. [Google Scholar] [CrossRef]
- Nagai, H. Shaft Resistance of Piles Close to Backfilled Sand Columns. GEOMATE J. 2021, 21, 121–128. [Google Scholar]
- Aksoy, H.S.; Taher, N.R.; Ozpolat, A.; Gör, M.; Edan, O.M. An Experimental Study on Estimation of the Lateral Earth Pressure Coefficient (K) from Shaft Friction Resistance of Model Piles under Axial Load. Appl. Sci. 2023, 13, 9355. [Google Scholar] [CrossRef]
- Briaud, J.; Tucker, L.M. Measured and Predicted Axial Response of 98 Piles. J. Geotech. Eng. 1988, 114, 984–1001. [Google Scholar] [CrossRef]
- Stas, C.V.; Kulhawy, F.H. Critical Evaluation of Design Methods for Foundations under Axial Uplift and Compression Loading; Final Report; Cornell University: Ithaca, NY, USA, 1984. [Google Scholar]
- Fellenius, B.H. Unified Design of Piles and Pile Groups. Transp. Res. Rec. 1989, 1169, 75–82. [Google Scholar]
- Hanna, A.M.; Afram, A. Pull-Out Capacity of Single Batter Piles in Sand. Can. Geotech. J. 1986, 23, 387–392. [Google Scholar] [CrossRef]















| Relative Density Dr | Void Ratio e | Angle of Shearing Resistance (Degree) ɸ | Dry Unit Weight (KN/m3) γd |
|---|---|---|---|
| 30% | 0.72 | 32.27 | 14.88 |
| 45% | 0.68 | 34.55 | 15.34 |
| 60% | 0.61 | 36.72 | 15.76 |
| Pile Diameter D (mm) | Test Series | Relative Density Dr (%) | Relative Depth (L/D) | Embedment Depth L (mm) | Test Name |
|---|---|---|---|---|---|
| 63 | A—Tp | 30 | 6 | 380 | -A-30-6 |
| 9 | 570 | -A-30-9 | |||
| 12 | 760 | -A-30-12 | |||
| 45 | 6 | 380 | -A-45-6 | ||
| 9 | 570 | -A-45-9 | |||
| 12 | 760 | -A-45-12 | |||
| 60 | 6 | 380 | -A-60-6 | ||
| 9 | 570 | -A-60-9 | |||
| 12 | 760 | -A-60-12 | |||
| 38 | B—Tp | 30 | 15 | 570 | -B-30-15 |
| 20 | 760 | -B-30-20 | |||
| 45 | 15 | 570 | -B-45-15 | ||
| 20 | 760 | -B-45-20 | |||
| 60 | 15 | 570 | -B-60-15 | ||
| 20 | 760 | -B-60-20 |
| L/D | Averaged Lateral Earth Pressure Coefficients (Ks) | ||
|---|---|---|---|
| 30% | 45% | 60% | |
| Pile Model Diameter, D = 63 mm | |||
| 6 | 1.9784 | 2.1135 | 2.293 |
| 9 | 1.932 | 2.303 | 2.77 |
| 12 | 1.768 | 2.52 | 3.07 |
| L/D | Pile Model Diameter, D = 38 mm | ||
| 15 | 1.646 | 1.954 | 2.60 |
| 20 | 1.173 | 1.615 | 1.9768 |
| Reference | Material | D (m) | L (m) | ϕ′ (°) | γ (kN/m3) | δ (°) | fs (kPa) Estimated | fs (kPa) Predicted | Error (%) |
|---|---|---|---|---|---|---|---|---|---|
| Briaud et al. [35] | Steel | 0.27 | 9.14 | 35.4 | 10.93 | 31.9 | 22.02 | 30.72 | 39.5 |
| Stas and Kulhawy [36] | Steel | 0.45 | 3.01 | 33 | 14.6 | 29.7 | 29.43 | 35.27 | 19.8 |
| Fellenius [37] | Steel | 0.27 | 9.10 | 35 | 9.81 | 31.5 | 22.8 | 25.83 | 13.2 |
| Hanna and Afram [38] | Steel | 0.45 | 3.01 | 33 | 14.6 | 29.7 | 29.43 | 33.73 | 14.61 |
| Chattopadhyay and Pise [15] | Steel | 0.27 | 9.10 | 35 | 9.81 | 31.5 | 22.80 | 19.20 | −15.78 |
Disclaimer/Publisher’s Note: The statements, opinions and data contained in all publications are solely those of the individual author(s) and contributor(s) and not of MDPI and/or the editor(s). MDPI and/or the editor(s) disclaim responsibility for any injury to people or property resulting from any ideas, methods, instructions or products referred to in the content. |
© 2026 by the authors. Licensee MDPI, Basel, Switzerland. This article is an open access article distributed under the terms and conditions of the Creative Commons Attribution (CC BY) license.
Share and Cite
Alamari, A.; Hanna, A. Experimental and Analytical Assessment of Shaft Resistance and Critical Depth of Piles Subjected to Uplift Loads in Overconsolidated Sand. Geotechnics 2026, 6, 7. https://doi.org/10.3390/geotechnics6010007
Alamari A, Hanna A. Experimental and Analytical Assessment of Shaft Resistance and Critical Depth of Piles Subjected to Uplift Loads in Overconsolidated Sand. Geotechnics. 2026; 6(1):7. https://doi.org/10.3390/geotechnics6010007
Chicago/Turabian StyleAlamari, Abdulnaser, and Adel Hanna. 2026. "Experimental and Analytical Assessment of Shaft Resistance and Critical Depth of Piles Subjected to Uplift Loads in Overconsolidated Sand" Geotechnics 6, no. 1: 7. https://doi.org/10.3390/geotechnics6010007
APA StyleAlamari, A., & Hanna, A. (2026). Experimental and Analytical Assessment of Shaft Resistance and Critical Depth of Piles Subjected to Uplift Loads in Overconsolidated Sand. Geotechnics, 6(1), 7. https://doi.org/10.3390/geotechnics6010007

