Physics-Constrained Machine Learning Modeling for Geotechnical Data Prediction: Case Study on Site Soil Type and Bedrock Depth Datasets
Abstract
1. Introduction
2. Soil Type and Bedrock Depth Data
2.1. Soil Type Dataset
2.2. Bedrock Depth Data
3. Machine Learning Models with Physical Constraints
3.1. Soil Type Classification Neural Network Model with Physical Constraints
- = The index of the true class label for sample i
- = Predicted class
- = Penalty weight
- = Total number of samples
- = Total number of constraints
- = Total number of classes
- = Training dataset
- = Constraint function of the kth constraint for the ith sample
- = The vector of raw output logits for sample i
3.2. Regression Neural Network Model for Bedrock Depth Prediction
- = Predicted value
- = Observed value
- = Penalty weight
- = Total number of samples
- = Total number of constraints
- = Training dataset
- = Constraint function of the kth constraint for the ith sample
4. Results and Discussion
4.1. Soil Type Prediction in the Eastern Shore Area
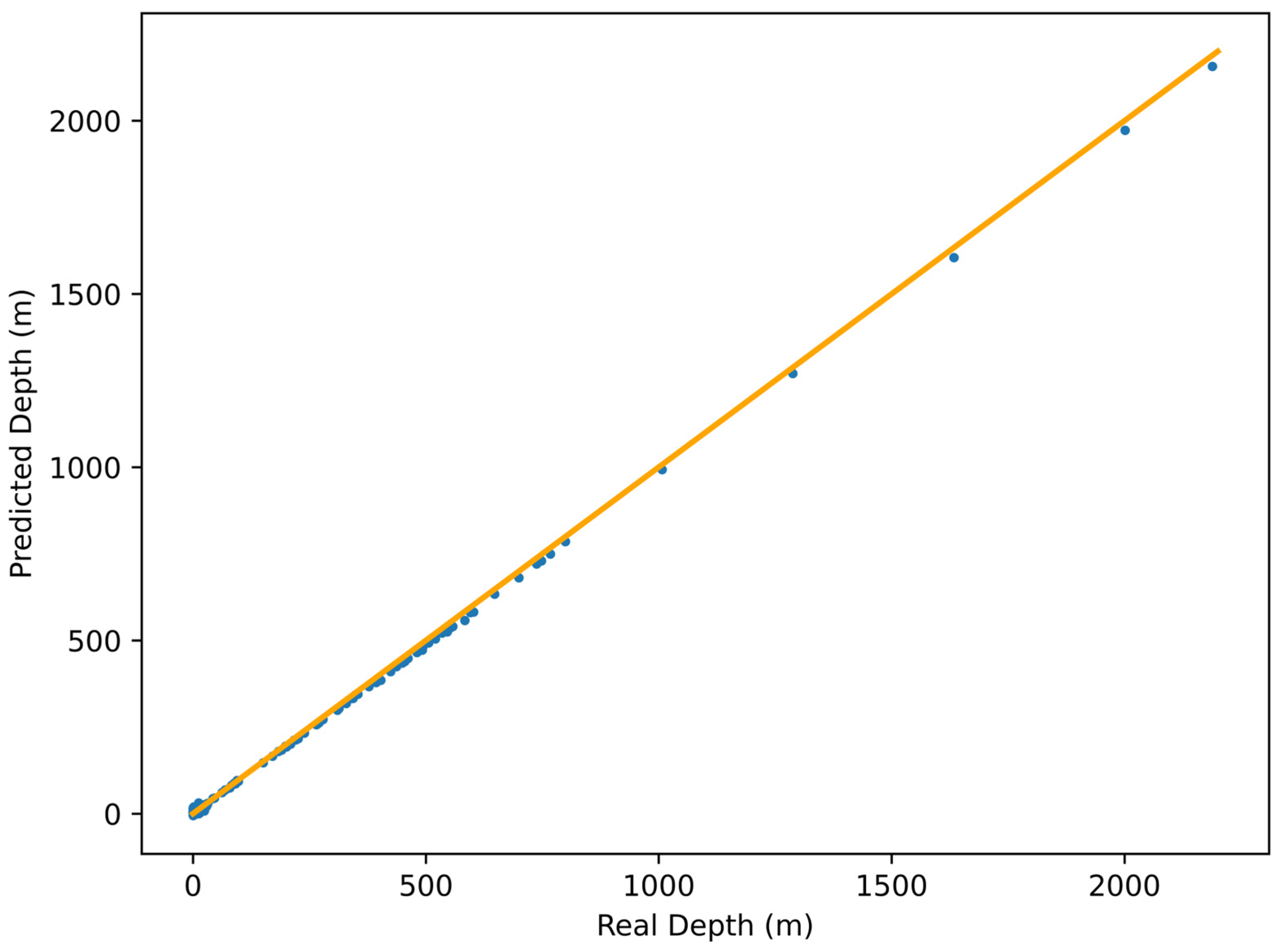
4.2. Bedrock Depth Prediction
5. Conclusions
Author Contributions
Funding
Institutional Review Board Statement
Informed Consent Statement
Data Availability Statement
Acknowledgments
Conflicts of Interest
References
- Zhang, Y.; Xu, J.; Moore, N. Effectively Implementing Machine Learning with Highway Datasets; Report of Phase II Machine Learning Research Project; Marland DOT State Highway Administration: Baltimore, MD, USA, 2023. Available online: https://roads.maryland.gov/OPR_Research/MD-21-SHAUM5-23_Machine-Learning_Report.pdf (accessed on 3 February 2026).
- Zhang, Y.; Xu, J.; Cutts, R. Implementing Machine Learning with Highway Datasets; Report of Research project supported by Maryland DOT State Highway Administration (High Value Research Award); National Transportation Library: Washington, DC, USA, 2021. Available online: https://rosap.ntl.bts.gov/view/dot/56625/dot_56625_DS1.pdf (accessed on 12 February 2024).
- Kim, H.J.; Dinoy, P.R.T.; Choi, H.-S.; Lee, K.-B.; Mission, J.L.C. Spatial interpolation of SPT data and prediction of consolidation of clay by ANN method. Coupled Syst. Mech. 2019, 8, 523–535. [Google Scholar] [CrossRef]
- Wang, H.; Wang, X.; Liang, R.; Merklin, C.; Taliaferro, S. When AI Meets DIGGS. ASCE GeoStrata Mag. 2021, 25, 38–45. [Google Scholar] [CrossRef]
- Yousefpour, N.; Liu, Z.; Zhao, C. Machine Learning Methods for Geotechnical Site Characterization and Scour Assessment. Transp. Res. Rec. 2024, 2679, 632–655. [Google Scholar] [CrossRef]
- Xu, J.; Zhang, Y. AI-Powered Digital Twin Technology for Highway System Slope Stability Risk Monitoring. Geotechnics 2025, 5, 19. [Google Scholar] [CrossRef]
- Nguyen, T.T.; Nguyen, K.L.; Huynh, T.Q.; Tran, D.Q. Influence of feature selection on machine learning prediction of pile foundation—The role of soil-pile interaction knowledge and application to base resistance. Geod. AI 2025, 3, 100019. [Google Scholar] [CrossRef]
- Phoon, K.-K.; Tang, C. (Eds.) Databases for Data-Centric Geotechnics: Site Characterization; CRC Press: Boca Raton, FL, USA, 2024. [Google Scholar] [CrossRef]
- Min, Y.; Azizan, N. HardNet: Hard-Constrained Neural Networks with Universal Approximation Guarantees. arXiv 2025, arXiv:2410.10807. [Google Scholar] [CrossRef]
- Mukherjee, A.; Zavala, V.M. Physics-Constrained Machine Learning for Chemical Engineering. arXiv 2025, arXiv:2508.20649. [Google Scholar] [CrossRef]
- Beucler, T.; Pritchard, M.; Rasp, S.; Ott, J.; Baldi, P.; Gentine, P. Enforcing Analytic Constraints in Neural Networks Emulating Physical Systems. Phys. Rev. Lett. 2021, 126, 098302. [Google Scholar] [CrossRef]
- Ebrahimi, P.; Matano, F.; Amato, V.; Mattera, R.; Scepi, G. A field-based thickness measurement dataset of fallout pyroclasticdeposits in the peri-volcanic areas of Campania (Italy): Statisticalcombination of different predictions for spatial estimation of thickness. Earth Syst. Sci. Data 2024, 16, 4161–4188. [Google Scholar] [CrossRef]
- Zhou, J.; Zhang, R.; Qiu, Y.; Khandelwal, M. A true triaxial strength criterion for rocks by Gene Expression Programming. J. Rock Mech. Geotech. Eng. 2023, 15, 2508–2520. [Google Scholar] [CrossRef]
- Li, D.; Faradonbeh, R.S.; Lv, A.; Wang, X.; Roshan, H. A data-driven field-scale approach to estimate the permeability of fractured rocks. Int. J. Min. Reclam. Environ. 2022, 36, 671–687. [Google Scholar] [CrossRef]
- Wang, L.; Gao, Y.; Pan, Q.; Wang, S.; Phoon, K.-K. Coupled geological modeling using multi-source data: A K-dimensional tree-graph convolutional neural process approach. Comput. Geotech. 2025, 187, 107509. [Google Scholar] [CrossRef]
- Pan, J. Can machines learn with hard constraints? Nat. Comput. Sci. 2021, 1, 244. [Google Scholar] [CrossRef] [PubMed]
- USDA. USDA Soil Survey Geographic Database (SSURGO). 2025. Available online: https://www.nrcs.usda.gov/resources/data-and-reports/soil-survey-geographic-database-ssurgo (accessed on 20 January 2025).
- Schoonover, J.E.; Crim, J.F. An Introduction to Soil Concepts and the Role of Soils in Watershed Management. J. Contemp. Water Res. Educ. 2015, 154, 21–34. [Google Scholar] [CrossRef]
- ESRI. ArcGIS Pro. 2024. Available online: https://pro.ArcGIS.com/en/pro-app/latest/get-started/download-ArcGIS-pro.htm (accessed on 3 February 2026).
- USDA NRCS. Soil Colors of the United States. 2025. Available online: https://www.nrcs.usda.gov/resources/education-and-teaching-materials/soil-colors-of-the-united-states (accessed on 6 November 2025).
- ASTM D2487-17; Standard Practice for Classification of Soils for Engineering Purposes (Unified Soil Classification System). ASTM International: West Conshohocken, PA, USA, 2017. Available online: https://www.astm.org/d2487-17.html (accessed on 3 February 2026).
- Moon, S.-W.; Subramaniam, P.; Zhang, Y.; Vinoth, G.; Ku, T. Bedrock depth evaluation using microtremor measurement: Empirical guidelines at weathered granite formation in Singapore. J. Appl. Geophys. 2019, 171, 103866. [Google Scholar] [CrossRef]
- Hansen, H.J.; Edwards, J., Jr. The Lithology and Distribution of Pre-Cretaceous Basement Rocks Beneath the Maryland Coastal Plain; Department of Natural Resources, Maryland Geological Survey: Baltimore, MD, USA, 1986.
- Pyzik, L.; Caddick, J.; Marx, P. Chesapeake Bay: Introduction to an Ecosystem; Chesapeake Bay Program, Annapolis, Maryland; US Environmental Protection Agency: Washington, DC, USA, 2004.
- Ioffe, S.; Szegedy, C. Batch Normalization: Accelerating Deep Network Training by Reducing Internal Covariate Shift. In Proceedings of the 32nd International Conference on Machine Learning, Lille, France, 6–11 July 2015; Available online: https://arxiv.org/abs/1502.03167 (accessed on 3 February 2026).
- Junkin, W.D. Geologic Map of the Relay Quadrangle, Anne Arundel, Baltimore, and Howard Counties and Baltimore City, Maryland; MD DNR Publication No: DNR12-032822-308; Department of Natural Resources, Maryland Geological Survey: Baltimore, MD, USA, 2021.










| USCS Soil Symbol | Description | Color Code (in RGB) |
|---|---|---|
| SP | Poorly Graded Sand | (0, 90, 180) |
| SW | Well Graded Sand | (50, 120, 190) |
| SM | Silty Sand | (100, 140, 180) |
| SC | Clayey Sand | (120, 130, 190) |
| ML | Low Plasticity Silt | (220, 180, 80) |
| MH | High Plasticity Silt | (200, 140, 50) |
| CL | Low Plasticity Clay | (180, 120, 200) |
| CH | High Plasticity Clay | (160, 50, 160) |
| GP | Poorly Graded Gravel | (120, 40, 150) |
| GW | Well Graded Gravel | (140, 80, 160) |
| GM | Silty Gravel | (180, 120, 120) |
| GC | Clayey Gravel | (180, 90, 140) |
| OL | Organic Silt | (180, 180, 180) |
| OH | Organic Clay | (120, 120, 120) |
| PT | Peat | (60, 60, 60) |
| IGM | Decomposed Rock | (160, 40, 40) |
| Rock | Stronger rock | (120, 30, 30) |
| USCS Class | Precision | Recall | F1 Score | Support | # of Samples (Resampled) |
|---|---|---|---|---|---|
| CH | 0.91 | 0.99 | 0.95 | 549 | 13,725 |
| CL | 0.86 | 0.88 | 0.87 | 46,651 | 139,953 |
| GC | 0.85 | 1 | 0.92 | 36 | 900 |
| GM | 0.83 | 0.99 | 0.91 | 141 | 3525 |
| GP | 0.85 | 0.99 | 0.91 | 1344 | 33,600 |
| GW | 0.81 | 0.96 | 0.88 | 123 | 3075 |
| IGM | 0.87 | 0.95 | 0.91 | 16,421 | 82,105 |
| MH | 0.83 | 0.88 | 0.86 | 10,219 | 51,095 |
| ML | 0.87 | 0.78 | 0.82 | 63,816 | 127,632 |
| OH | 0.99 | 1 | 1 | 10 | 250 |
| OL | 0.97 | 1 | 0.98 | 113 | 2825 |
| PT | 0.95 | 1 | 0.98 | 62 | 1550 |
| ROCK | 1 | 0.97 | 0.99 | 35,477 | 70,954 |
| SC | 0.77 | 0.8 | 0.78 | 8066 | 40,330 |
| SM | 0.82 | 0.76 | 0.79 | 31,148 | 93,444 |
| SP | 0.83 | 0.8 | 0.82 | 27,293 | 81,879 |
| SW | 0.78 | 0.81 | 0.79 | 8429 | 42,145 |
| Accuracy | 0.86 | 235,119 | 788,987 | ||
| Macro Avg | 0.87 | 0.92 | 0.89 | 235,119 | 788,987 |
| Weighted Avg | 0.88 | 0.85 | 0.85 | 235,119 | 788,987 |
Disclaimer/Publisher’s Note: The statements, opinions and data contained in all publications are solely those of the individual author(s) and contributor(s) and not of MDPI and/or the editor(s). MDPI and/or the editor(s) disclaim responsibility for any injury to people or property resulting from any ideas, methods, instructions or products referred to in the content. |
© 2026 by the authors. Licensee MDPI, Basel, Switzerland. This article is an open access article distributed under the terms and conditions of the Creative Commons Attribution (CC BY) license.
Share and Cite
Zhang, Y.; Darilmaz, A. Physics-Constrained Machine Learning Modeling for Geotechnical Data Prediction: Case Study on Site Soil Type and Bedrock Depth Datasets. Geotechnics 2026, 6, 20. https://doi.org/10.3390/geotechnics6010020
Zhang Y, Darilmaz A. Physics-Constrained Machine Learning Modeling for Geotechnical Data Prediction: Case Study on Site Soil Type and Bedrock Depth Datasets. Geotechnics. 2026; 6(1):20. https://doi.org/10.3390/geotechnics6010020
Chicago/Turabian StyleZhang, Yunfeng, and Ahmet Darilmaz. 2026. "Physics-Constrained Machine Learning Modeling for Geotechnical Data Prediction: Case Study on Site Soil Type and Bedrock Depth Datasets" Geotechnics 6, no. 1: 20. https://doi.org/10.3390/geotechnics6010020
APA StyleZhang, Y., & Darilmaz, A. (2026). Physics-Constrained Machine Learning Modeling for Geotechnical Data Prediction: Case Study on Site Soil Type and Bedrock Depth Datasets. Geotechnics, 6(1), 20. https://doi.org/10.3390/geotechnics6010020

