Next Article in Journal
Turning Waste into Resources: Bibliometric Study on Sand–Rubber Tire Mixtures in Geotechnical Engineering
Previous Article in Journal
Interpretable AI-Driven Modelling of Soil–Structure Interface Shear Strength Using Genetic Programming with SHAP and Fourier Feature Augmentation
 
 
Font Type:
Arial Georgia Verdana
Font Size:
Aa Aa Aa
Line Spacing:
Column Width:
Background:
Article

Monotonic Behaviour and Physical Characteristics of Silty Sands with Kaolinite Clay

by
Davor Marušić
1 and
Vedran Jagodnik
1,2,*
1
Faculty of Civil Engineering, University of Rijeka, Radmile Matejčić 3, 51000 Rijeka, Croatia
2
Center for Artificial Intelligence and Cybersecurity, University of Rijeka, Radmile Matejčić 2, 51000 Rijeka, Croatia
*
Author to whom correspondence should be addressed.
Geotechnics 2025, 5(4), 70; https://doi.org/10.3390/geotechnics5040070
Submission received: 1 August 2025 / Revised: 12 September 2025 / Accepted: 28 September 2025 / Published: 9 October 2025

Abstract

This study investigates the behaviour of dense silty sands with kaolinite clay under static drained/undrained conditions at low confining stress. Conventional laboratory tests assessed the mixtures’ physical properties, but standard void ratio methods proved inadequate for silty sands with kaolinite. Despite targeting 80% relative density, specimens exhibited loose sand behaviour in both drained and undrained tests. With increasing kaolinite content, conventionally reconstituted mixtures exhibit reduced peak stress ratios up to 10% fines, with little change beyond, while critical ratios generally rise at 25 kPa but remain unchanged or decrease slightly at 50 kPa. Analytical redefinition of minimum/maximum void ratios (based on sand–clay volumetric fractions) improved specimen reconstitution, yielding dense behaviour matching that of the host sand. The alternatively reconstituted mixtures display increasing drained peaks and minor changes in undrained peaks with increasing kaolinite content, with critical ratios increasing markedly at 25 kPa and only slightly at 50 kPa. However, this analytical void ratio determination method is limited to non-expansive, low-plasticity clays. Void ratios in silty sands with clay mineras are influenced by confining stress, drainage, saturation, clay content, and the sand skeleton structure. Unlike pure sands, these mixtures exhibit variable void ratios due to changes in the clay phase under different saturation levels. A new evaluation method is needed that accounts for clay composition, saturation-dependent consistency, and initial sand skeleton configuration to characterise these soils accurately. The findings highlight the limitations of conventional approaches and stress the need for advanced frameworks to model complex soil behaviour in geotechnical applications.

1. Introduction

The conventional understanding of soil behaviour generally focuses on the individual behaviour of coarse-grained, granular soils (sands and gravels) and fine-grained (fines), cohesive silts and clays. However, the monotonic behaviour of transitional, silty sands remains a subject of ongoing research [1,2,3,4,5,6,7]. It has been shown that in silty sands, below the fines threshold content where the interparticle stress transfer should still be governed by sand skeleton structure, the fines affect both drained and undrained soil behaviour [1,8,9,10,11,12]. The fines interact with the sand skeleton structure by sticking to the sand grains’ surfaces, filling the existing pore spaces, and forming narrow “bridges” between the sand grains [13,14]. This affects silty sand behaviour differently, considering variations in fines and sand particle sizes and shapes, mineral composition, the relative density of the sand fraction, and outer conditions like governing effective stresses or draining conditions. The behaviour of granular soils is mainly influenced by their texture (particle size distribution and shape) and relative density [13,14]. In contrast, the behaviour of fine-grained soil is influenced by its structure, which is conditioned by the clay mineral fabric (particles’ geometric arrangement) and interparticle forces. Clay fractions’ behaviour and strength depend on the soil’s consistency or firmness, conditioned with clay mineralogy, particle size distribution, the corresponding Atterberg limits, and the water content. Additionally, the gravels, sands, and silts are represented by equidimensional particles, while the clay particles are mostly shaped like plates, elongated flakes, or needles. This influences the stress-related orientation of particles, causing different soil behaviour in different effective stress directions [14].
Recent advances in discrete element method (DEM) modelling have provided new insights into the micromechanical behaviour of transitional soils. Cheng et al. [15] developed a CT image-based DEM model of sand–kaolinite mixtures under uniaxial compression and showed that sand–clay interfaces act as mechanically weak zones, with particle morphology (irregular versus spherical grains) affecting interlocking and stiffness. This modelling approach provides a valuable framework for comparing simulation results with laboratory tests, which will be examined in future studies to validate and improve the DEM models further.

1.1. Research Overview

The present research focuses on physical characteristics and behaviour of silty sands with kaolinite clay under static drained and undrained conditions and low confining stress. Specimens were reconstituted from uniform quartz sand and kaolinite silt as the fines fraction. Taking undisturbed samples for triaxial shear tests is complicated in relatively cohesionless sandy soils, and silty sand specimens are usually reconstituted using either representative natural soil sediments or artificial mixtures. Soil reconstitution enables control over the specimen’s relative density, while in the artificial mixtures, it additionally enables control over particle sizes and shapes, fines content, and specimen mineral composition. Soil mixtures tested within the present research are evaluated as granular materials (sands) since they were reconstituted below the fines threshold content [16,17,18]. Previous studies have also explored the undrained monotonic shear behaviour of sand–silt mixtures, such as the work of Karimian and Hassanlourad [19], which emphasised the role of silt content in affecting pore pressure development and strength response. While these findings offer valuable insights into transitional soils, they mainly focus on mixtures containing non-plastic silt as the fines fraction. In contrast, the current research examines silty sands with kaolinite clay fines, where the plasticity and mineralogy of the fines introduce different mechanisms that influence soil behaviour under low confining stress. Existing research [20,21] used the identical soil mixtures in physical modelling and implemented standard laboratory tests [22,23] to determine the mixtures’ minimum ( e m i n ) and maximum ( e m a x ) void ratios. However, existing standards limit the testing to silty sand mixtures with non-plastic fines and free-draining conditions. Contrary to these limitations, kaolinite clay exhibits plasticity, while its hydrophilic properties contradict free-draining properties. Therefore, standard methods should not be applicable for determining the minimum and maximum void ratios of silty sands with clay minerals. To evaluate the validity of previously determined void ratios [20,21], the mixtures’ physical characteristics were determined with laboratory tests, implementing some existing modifications and recommendations [1,24] for otherwise conventional sandy soil characteristic determination methods. The applicability of the equivalent void ratio and the equivalent relative density [16,17] was also evaluated within this research. Alternatively, the existing suggestions for the analytical redefinition of the mixtures’ void ratios [25,26] were used to reconstitute another set of specimens for testing. Both sets were tested under monotonic compression, and the resulting data was evaluated. Special focus was given to the physical–mechanical properties of the reconstituted specimens and their response to drained and undrained, strain-controlled shearing.

1.2. Void Ratio and Relative Density for Sands

Phase or volumetric relations represent an idealised and simplified interaction between the solids (soil), fluids (usually water), and gas (usually air) within a given specimen. Any arbitrary volume of sandy soil will consist of both solids and pores, with the pores being filled with water, air, or both. Phase relations are graphically presented in Figure 1, with mass and volume ratios for individual media within a soil (solid, fluid, gas).
Phase relations define the void ratio representing an important physical–mechanical soil parameter that defines the specimen volume change and relative density of the granular soil. The void ratio dependence on water content and saturation degree is expressed with (1).
e · S r = w · G s
where e stands for global void ratio, S r is the degree of saturation, w is the water content, and G s is the specific gravity of solids.
General control within reconstituted granular material can be achieved with a targeted relative density ( D r ) as a relative position between the minimum and maximum void ratios (the densest and loosest possible soil states, respectively) (2).
D r = e m a x e e m a x e m i n · 100 %
where D r is the relative density, e is the specimen’s void ratio (global void ratio), e m i n is the specimen’s minimum void ratio, and e m a x is the specimen’s maximum void ratio.

1.3. Equivalent Void Ratio and Relative Density for Silty Sands

Previous studies [1,2] indicate that a portion of fines in silty sands tends to fill the voids in the sand skeleton structure, consequently lowering the overall void ratio of the soil mixture. On the other hand, a portion of fines also forms “bridges” between sand grains, actively participating in soils’ structural force transfer, separating sand grains and increasing the host sand’s void ratio [16]. The effect of fines content on silty sands’ void ratio variations is schematically presented in Figure 2 and Figure 3.
The skeleton void ratio given by Equation (3) [2] and the equivalent void ratio by Equation (4) [16,17] were introduced as an approximation of the void ratio of silty sands at low fines content. These analytical methods continue to be successfully implemented for the silty sand relative density approximation [7,18,27].
e s = e + f c 1 + f c
where e s is the skeleton void ratio, f c is the fines content, and e is the global void ratio.
e * = e + 1 b · f c 1 + 1 b · f c
where e * is the equivalent void ratio and b is the embedding coefficient.
The embedding coefficient (b) represents the fraction of fines participating in the granular force structure. Theoretically, if b = 0 , all the fines are inactive as they fill the host sand pore spaces. Alternatively, b = 1 indicates that all the fines participate in the granular force structure. It should be noted that additional research [3,28] has highlighted the dependency of the b coefficient value on the fine content and state of the mixture. This also suggests the possibility of dynamic changes in the b coefficient value with changes in the silty sands’ relative density and governing confining stresses. The determination of the b coefficient and fines threshold was given by Equations (5) and (9), respectively.
b = 1 e x p 0.3 · f c / f t h k · r · f c f t h r
γ = D 10 d 50
r = 1 γ
k = 1 r 0.25
where γ is the particle size ratio, r and k are the constants, D 10 is the size of the particle at 10% passing from sand distribution and d 50 is the size of the particle at 50% passing from silt distribution, and f t h is the fines threshold.
f t h = 0.4 · 1 1 + e x p α r β r · γ + 1 γ
where α r = 0.5 and β r = 0.13 for 2 γ 42 .
However, the equivalent void ratio determination method with the embedding coefficient given by [17] presented in Equations (5) and (9) was calibrated on silty sand specimens with non-plastic and semi-spherical silt. The specimens tested in the present research consisted of subangular uniform sand particles and platy kaolinite clay particles. Additionally, the value of the particle size ratio ( γ ) was 46, which falls beyond the applicable range for the α r and β r values given in Equation (9). Therefore, the existing equivalent void ratio method could not be applied to silty sands with kaolinite clay within the scope of the present research.

1.4. Alternative Void Ratios

As mentioned, it was shown that the fines influence the sands’ void ratios, which are conventionally determined using standardised testing procedures and phase relations [2,29]. An analytical approach to redefine void ratios of silty sands has been introduced [25,26] and evaluated by researchers [26,30]. To redefine the minimum void ratio for various silty sand mixtures in the sand grain packing structure domain, the analytical approach uses the mixtures’ volume content of sand and fines individually, with their corresponding minimum void ratios in a simple relation by Equation (10).
e m m i n = e s m i n · y s + e f m i n · y f a · 1 + e f m i n · y f
where e m m i n is the redefined minimum void ratio of the mixture, e s m i n is the minimum void ratio of the sand fraction, e f m i n is the minimum void ratio of the fines fraction, y s is the volume content of the sand fraction, y f is the volume content of the fines fraction, and a is the filling coefficient.
In contrast to the embedding coefficient (b), the filling coefficient (a) represents the fines fraction filling the sand skeleton pore spaces. If a = 1 , all the fines are inactive as they fill the host sand pore spaces, while a = 0 indicates that all the fines participate in the granular force structure. The predictions for a coefficient values were calculated and experimentally evaluated for various sand–silt mixtures [25]. The condition a 1 corresponds to the limiting case where the size of small particles is much smaller than the size of large particles. This relation is schematically shown and described in the microstructure and soil behaviour framework [16] as case I (Figure 3), with the given condition of mean particle sizes of sand and fines D 50 d 50 > 6.5 for spherical particles, and f c < f t h . For comparison, the mean particle size ratio for the mixtures tested within the present research was D 50 d 50 = 71.5 . Regarding the particle sphericity or angularity, it was shown that angular particles enhance the particle bridging on the void ratios of clean sand with non-spherical particles and consequently tend to produce higher void ratios than equivalent spheres [1], which can schematically be represented as cases II and III (Figure 3).
Considering the linear relationship between the minimum and maximum void ratios, an equation for the redefined maximum void ratio e m m a x , Equation (11), was also given by [26].
e m m a x = α · e m m i n + β
The coefficients α and β are determined by Equations (12) and (13).
α = e s m a x e f m a x + a · 1 + e f m a x e s m i n e f m i n + a · 1 + e f m i n
β = e s m a x α · e s m i n
This analytical method was employed in the present research to determine alternative minimum and maximum void ratios for the silty sands. Using the alternative void ratios, the mixtures were further reconstituted and tested.

2. Methodology

Present research investigates the physical characteristics and their effect on the behaviour of silty sands with kaolinite clay, under static drained and undrained conditions and low confining stresses. Two sets of silty sand mixtures were reconstituted using physical parameters obtained through conventional testing methods for sands, as well as an alternative analytical method. Reconstituted mixtures, including host sand, were tested in monotonic compression, and the data obtained was evaluated.

2.1. Silty Sand Mixtures

Silty sand mixtures were prepared by mixing kaolinite silt and the “Modland” uniform quartz sand specimens with a predetermined mass ratio (Table 1). The basic physical characterisation of the used material is documented in the existing literature [31].

2.2. Physical Property Determination

2.2.1. Specific Gravity, Granulometric Analysis

The specific gravity and granulometric analysis of the soil mixtures were adopted from existing research data [31]. The previous research data is briefly described below. The conventional pycnometer technique [32] and the combined sieve and hydrometer analysis [33] were used to determine the specific gravity and particle size distribution of the silty sands, respectively. The particle size distribution results obtained for the SK10 and SK15 mixtures with host sand and kaolinite are presented in Figure 4 and the existing results from previous research are presented in Table 2.

2.2.2. Conventional Minimum and Maximum Void Ratio Determination

By implementing existing modifications and suggestions to conventional laboratory tests [1,24], an attempt was made to determine the mixtures’ minimum ( e m i n ) and maximum ( e m a x ) void ratios. The host sand void ratios’ values were adopted from previous research [34]. According to existing research, using cylindrical molds of different volumes, ranging from 31 cm3 to 2000 cm3, for determining void ratios produced consistent void ratio values. The alternative cylindrical mold with a volume of 196.35 cm3, a height of 10 cm, and a diameter of 50 mm was used to determine the minimum and maximum void ratio. The remainder of the determination process was conducted in accordance with [1,24].
For the determination of maximum void ratio ( e m a x ), the dry soil of constant mass was poured from zero height through a funnel into a cylindrical mold. After carefully levelling the soil surface, the height difference between the soil surface and the top of the cylindrical mold was measured using a caliper. Similarly, for the determination of minimum void ratio, the dry soil of constant mass was poured into a cylindrical mold and densified. The densification process consisted of 1000 strikes with an 80 g wooden handle, 2 cm in diameter. Strikes were performed perpendicularly at the four sides of the cylindrical mold at its base. In other words, the soil was densified with four sets of strikes, with 250 strikes per set, turning the cylindrical mold by 90° after each set. Again, the height difference between the soil surface and the top of the cylindrical mold was measured with the caliper. The height difference enabled the calculation of the specimen volume, as well as the corresponding void ratios using “phase relations”. As mentioned, the existing standards limit testing to silty sand mixtures with non-plastic fines and free-draining conditions and should not be applied to silty sands with clay minerals. These tests were performed within the present research to evaluate the validity of void ratios used in previous research [20,21].
The plastic and liquid limits were used to determine the void ratios of the kaolinite (SK100) specimen. The liquid limit represents the highest void ratio and water content in the clay fraction at which the soil behaves as a solid. The shrinkage limit theoretically represents the minimum clay volume that can be attained under fully saturated conditions. Existing researchers [35,36] have determined that the shrinkage limit approximates the plastic limit for kaolinite samples. Therefore, the plastic limit value was used to define the minimum void ratio of kaolinite silt used in mixtures. The kaolinite plastic and liquid limits were adopted from the existing research [31] and presented in Table 2.

2.2.3. Alternative Minimum and Maximum Void Ratio Determination

The alternative minimum void ratios ( e m m i n ) for the SK10 and SK15 mixtures were analytically determined using Equation (10) [25]. The determination procedure involved calculating the volume contents of the individual sand and fines fractions, as well as their corresponding minimum and maximum void ratios. Since the void ratios of the mixtures could not be validated experimentally, a different approach was used to determine the representative filling coefficient (a). Based on the existing test data [25], the filling coefficients (a) are fitted by a power function of particle size ratio d 50 / D 50 , Equation (14).
a = 1 d 50 D 50 p
where p is the fit parameter.
The best-fit curve with the corresponding p-value was obtained using the complete available data set. With the obtained a coefficient and corresponding minimum void ratio, the alternative maximum void ratio ( e m m a x ) could be obtained using the obtained parameters α and β with Equations (11)–(13) [26].

2.3. Monotonic Compression

2.3.1. Triaxial Testing System

The silty sand mixtures’ drained and undrained static behaviour was tested with an automated triaxial system. Triaxial tests were performed at the University of Rijeka, Faculty of Civil Engineering’s Geotechnical Laboratory. The triaxial system, shown in Figure 5, is manufactured by Wyckeham Farrance, Controls Group, and equipped with a computer-controlled system for easy test performance. The equipment is described in detail in [37]. The triaxial testing system used in this study included a 50 kN (Figure 5a) loading frame, a triaxial cell that can withstand pressures up to 2500 kPa (Figure 5b), and a 25 kN submerged-type load cell (Figure 5c) for precise force measurement under saturated conditions. The triaxial system uses transducers to measure cell (Figure 5d), pore (Figure 5e), and back pressures (Figure 5f) during the saturation, consolidation, and shear phases. The vertical linear variable displacement transducer (LVDT) (Figure 5g) measured the vertical displacement during the test. Volumetric change was monitored with the volume change device (Figure 5h). Membrane corrections were incorporated into the analysis [38,39].
All tests were conducted according to the ASTM standards for consolidated drained [39] and undrained [40] triaxial compression tests.

2.3.2. Sample Preparation Method

Two sets of silty sand mixtures with changing fines content were reconstituted at 80% relative density for triaxial testing. The first set, including the host sand, was reconstituted using void ratios determined by conventional methods and recommendations for sands and silty sands [1,24]. Another set of SK10 and SK15 mixtures was reconstituted using analytically determined alternative void ratios [25,26]. Test results were correlated and evaluated. For easier evaluation, the mixtures reconstituted using conventional determination methods will be referred to as “A-mixtures”, and the mixtures reconstituted using alternative void ratios will be referred to as “B-mixtures”.
The specimens were reconstituted within a 0.30 mm thick latex membrane in a cylindrical mold of 50 mm in diameter and 100 mm in height (Figure 6). The undercompaction method [41] was used. This moist tamping method ensures continuous density throughout the sample size and reduces particle segregation, thus providing repeatable and comparable test results. An undercompaction degree of 5% was implemented in the specimen preparation. The soil mixtures were reconstituted at targeted water content by adding a certain amount of water to the dry soil, depending on the clay content. The sample is then splited into ten equally weighted parts and were sealed in plastic containers to ensure uniform moisture distribution of layers before compaction into layers. The densification process included free-fall drops of an 80 g wooden handle on the soil surface from approximately 30 mm height, until the aimed height of each layer was reached. The height of each layer was controlled with a standard laboratory caliper. For specimen reconstitution and further saturation process, de-aired water from the laboratory water supply system was used. As documented by the local water supply and drainage utility company [42], the used water is slightly alkaline, with the pH value ranging from 7.8 to 8.2. The resulting water molarity values range from 10 7 to 10 6 . By researching the influence of pore fluid chemistry on the liquid limit of different clay minerals, Won [43] registered that significant liquid limit reduction for kaolinite samples occurs at molarity values of 10 3 or higher. Therefore, no changes in kaolinite’s Atterberg limits were expected during sample preparation, saturation, or triaxial testing.

2.3.3. Triaxial Testing Program

The reconstituted specimens were tested using the triaxial compression test under both drained and undrained conditions, and with two different initial confining stresses, 25 and 50 kPa. Strain-controlled tests were performed to evaluate the drained and undrained behaviour of the tested silty sands at a constant relative density but different initial confining stresses. The monotonic shearing (compression) stage was performed at a 4% per hour axial strain rate. The triaxial testing program is summarised in Table 3.
Before the start of the tests, the reconstituted specimens were saturated in three steps: percolation with CO2, percolation with de-aired water, and saturation with the back pressure increments. By utilising lower values of back pressure, specimens were subjected to the CO2 flow for 15–30 min, as per existing suggestions [37]. After the percolation with CO2, specimens were percolated with de-aired water until the water visibly started to be pushed out of the specimens. The saturation was performed in several stages by successive increment of cell and back pressure. The degree of saturation was monitored with Skempton’s B coefficient [38,44]. After reaching Skempton’s B coefficient value between B = 0.95 and B = 0.99, the sample is considered fully saturated and can be consolidated. The B-values were from 0.95 to 0.98, and the back pressure varied from 107 kPa to 330 kPa, with an average of 190 kPa. Although some B-values are not higher than 0.98, the value is high enough to ensure undrained conditions [38]. For all tests performed, isotropic consolidation was conducted in a single stage since the targeted effective stresses of 25 and 50 kPa represent low confining stresses, with low resulting hydraulic gradients during consolidation. The technique of slow drainage valve opening was applied here, as in other research by authors [37], to reduce the effect of the unfavourable increase in hydraulic gradient during saturation and consolidation. The criteria for liquefaction are defined based on the value of the change of pore water pressure ( Δ u ). It is assumed that the liquefaction occurs when the pore pressure build-up equals 1 ( r u = 1 ).

3. Results and Discussion

3.1. Conventional Minimum and Maximum Void Ratio

The cylindrical mold with a volume of 196.35 cm3, a height of 10 cm, and 50 mm in diameter, was used to determine the minimum and maximum void ratio of the host sand and “A-mixtures” tested. The determination procedure was conducted according to [1,24]. The plastic and liquid limits were used with the existing relations in Equation (1) to determine the minimum and maximum void ratio of the kaolinite (SK100) specimen. The host sand (SK0) void ratios’ values were adopted from previous research [34]. Conventionally determined minimum ( e m i n ) and maximum ( e m a x ) void ratios for tested soils are presented in Table 4, along with the existing research results [20,21].
A visible segregation of kaolinite particles was present while performing the minimum void ratio determination tests on the A-mixtures. During the densification process, kaolinite particles began to surface through the soil mixture and cover the top layer of the testing mold. This is caused by the electrostatically charged, large area surfaces of platy kaolinite particles, which overcome the gravitational forces in the process. The dry testing condition enables the free movement of the microscopically small kaolinite particles, and vibration causes the large, negatively charged surfaces of the kaolinite particles to come into contact and repel each other. Within the laterally confined mold and continuously densified sand fraction, the kaolinite particles that overcome gravitational forces gradually segregate upwards to the specimen’s surface. Observations on using the conventional tests [22,23] for silty sands with clay minerals relate well to the inapplicability of these testing procedures for such mixtures, even within the sand-dominated soil structure. This also implies the miscalculated void ratios of targeted relative density within the present and the existing research [20,21].

3.2. Alternative Minimum and Maximum Void Ratios

The existing analytical approach [25,26] was used to redefine the mixtures’ minimum and maximum void ratios. The redefined minimum void ratio ( e m m i n ) is obtained by determining the mixture’s specific parameters a and p using Equation (14). Since the mixtures’ void ratio values could not be physically determined (as previously discussed with the conventional determination method for minimum and maximum void ratio), the complete available data set [25] was used to obtain the best-fit curve with the corresponding p parameter and a coefficient (Figure 7).
The redefined maximum void ratio ( e m m a x ), Equation (11), was obtained using the parameters α , Equation (12), and β , Equation (13) [26]. The values of determined B-mixtures parameters used for alternative void ratios determination are presented in Table 5.
The value of the filling coefficient a = 0.957 1 approximates the limiting case condition with all the fines filling the host sand pore spaces, and none participating in the mixture’s structure. This condition can also be identified as the intergranular [2] or the skeleton [3] void ratio. It relates well to case I condition (Figure 3), with the mean particle sizes of sand and fines D 50 d 50 > 6.5 for spherical particles, and f c < f t h [16], and to the filling coefficient’s power trend relation to a particle size ratio (Figure 7). The obtained alternative (B-mixtures) void ratios are presented and compared to the conventionally determined (A-mixtures) void ratios in Table 6.
It can be observed that the alternative void ratio values are significantly lower than the conventionally determined ones. Moreover, the SK15_B specimen’s maximum void ratio was higher in value than the conventionally determined minimum void ratio. Regardless, both sets of mixtures were successfully reconstituted and further tested.
To compare the relative densities of mixtures, the masses used for reconstituting A-mixtures and B-mixtures were cross-correlated with the determined void ratios. A-mixtures’ compared relative densities ( D r ) are obtained by recalculating the initial void ratio of saturated specimens with e m m i n and e m m a x , while for the B-mixtures, e m i n and e m a x were used. This was not possible for the SK15_A specimen, since the resulting initial void ratio had a higher value than e m m a x of the SK15_B specimen, resulting in a negative value of the recalculated relative density. Results are presented in Table 7.
If the conventionally determined void ratios are taken into account, soil masses used for B-mixtures reconstitution result in a relative density that is significantly higher than the maximum density possible. If the redefined void ratios are taken into account, soil masses used for A-mixtures reconstitution result in a very loose relative density (SK10_A), or fall beyond the loosest state defined by phase relations (SK15_A). Considering the cross-correlated results and the fact that both sets of mixtures were successfully reconstituted within a given mold volume, neither the conventional nor analytical determination methods for silty sands with clay minerals provide exact or credible minimum and maximum void ratio values, as is obtainable for clean sands.

3.3. Sample Preparation

This research evaluates existing recommendations for determining the physical characteristics of silty sands and provides additional observations on the sample reconstitution process, including visible characteristics. Compared to the host sand specimen, significantly less effort was made to densify the A-mixtures reconstituted at 80% relative density. Minimum to no compaction effort was applied to the lowest undercompacted layers. The reconstituted specimens physically appeared loose and were susceptible to deformation during the preparation for the triaxial test. A-mixtures also exhibited numerous macropores during the saturation stage, which is characteristic of loose specimens. In contrast, slightly more effort was made to densify the B-mixtures reconstituted at 80% relative density than the host sand specimen. The reconstituted B-mixtures physically appeared dense, exhibiting no macropores, and were also stable during the preparation for the triaxial test. An increase in the fines content causes an increase in the densification effort, indicating a possible increase in the relative density of reconstituted specimens with increasing fines content. Observations on reconstituted dense silty sands’ appearance and preparation process relate better to the physical characteristics defined with the alternative minimum ( e m m i n ) and maximum ( e m m a x ) void ratios than those determined by conventional methods for sands.

3.4. Physical Characteristics of Clayey and Silty Sands with Clay Minerals

New findings regarding the kaolinite clay mineral’s influence on silty and clayey sands below the fines threshold are based on observational and experimental data from this research. Clay particles in dense, saturated, and isotropically confined silty sands are likely to be crushed or slip between the sand grains in the sand skeleton pore spaces. The mechanism for such particle migration below the fines threshold is highly dependent on the saturation level and relative density, with clay minerals absorbing various amounts of water that infiltrate the available pore spaces. The clay mineral’s hydrophilic property will ensure the complete absorption of the free pore water within the sand skeleton. Additionally, the volume change with increasing saturation should be considered with expansive clays. Due to the differences in sand to clay particle shapes, sizes, and material hardness, the crushing and rearranging of clay particles can occur in relatively dry specimens. In partly or fully saturated specimens, the water content governs the behaviour of the clay fraction. With increasing water content, the clay will transition from a plastic and paste-like behaviour up to the liquid limit water content, to slip beyond the liquid limit water content [45]. Slip-like behaviour is especially unfavourable in drained conditions, since it causes selective particle migration (internal erosion or suffusion) and loss of specimen homogeneity. In contrast, within unsaturated mixtures (below the clay fractions’ liquid limit water content), the angular clay particles can enhance the particle bridging and consequently tend to produce higher void ratios than equivalent spheres [1], schematically presented as case III, Figure 3 [16]. The void ratios of silty sand with kaolinite clay appear to be highly dependent on the governing confining stresses, draining conditions, saturation degree, clay mineral composition and volume fraction, and the configuration of the sand skeleton. Unlike pure sands with well-defined and stable structure, silty sands with kaolinite clay will be subjected to varying void ratios caused by the clay’s fraction phase transformation at different saturation degrees.
Due to the clay fractions’ slip-like behaviour, the particle bridging is improbable above the clay fractions’ liquid limit water content. This also implies that below the fines threshold, soil structure presented with cases II and III, Figure 3, could gradually collapse to case I with increasing saturation degree, due to the loss of clay cohesive forces and its inability to form stable bridges between the sand grains. Considering the present research involving triaxial tests on fully saturated soil specimens, the analytically determined alternative void ratios, which approximate the skeleton void ratio, relate well to the case I condition, as observed. The observations also indicate that the conventional and analytical determination methods for silty sands with clay minerals do not provide exact or credible minimum and maximum void ratio values, as is obtainable for clean sands.

3.5. Drained Compression Tests

The quantitative results of the drained compression tests are summarised in Table 8.
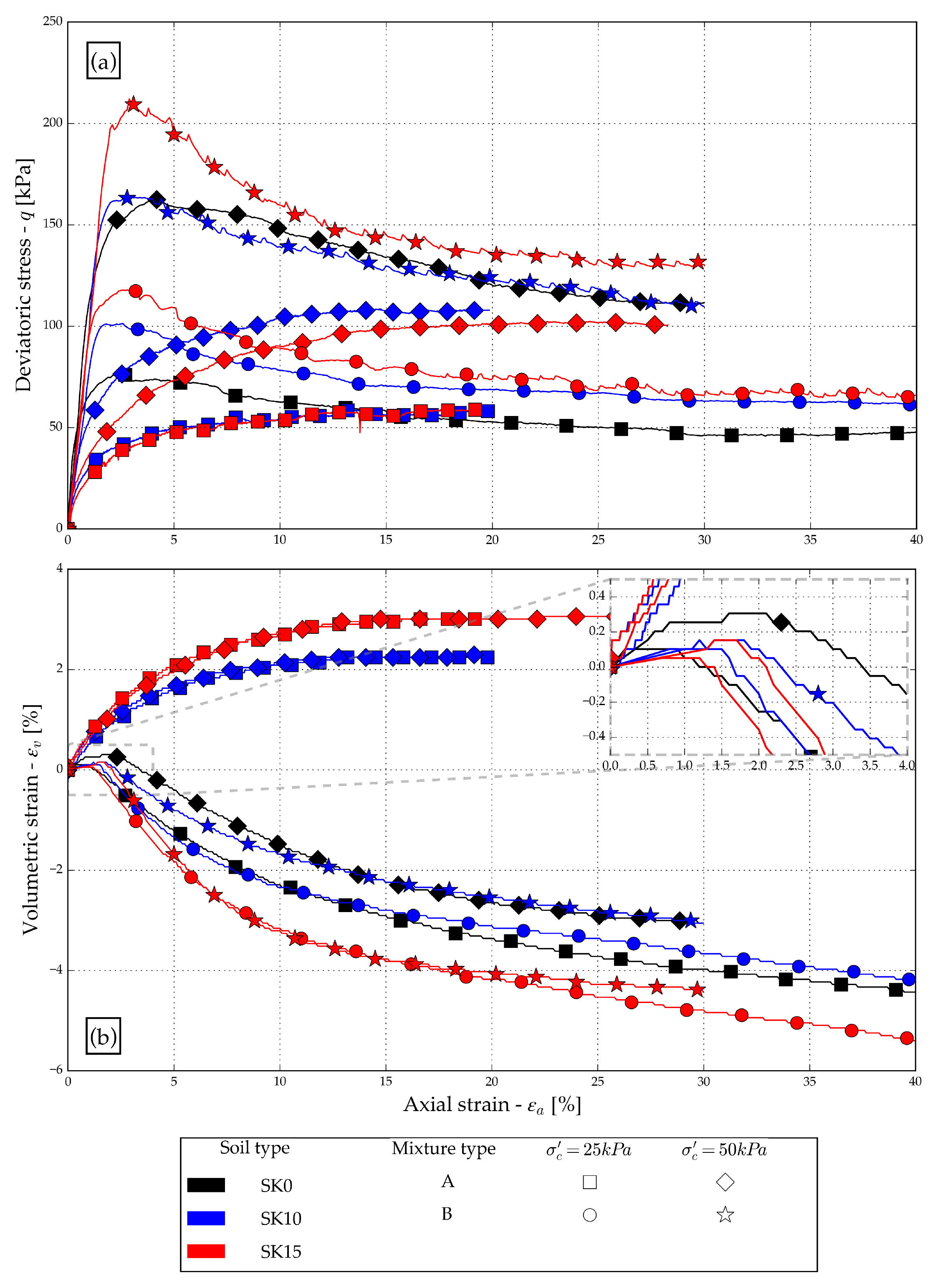
For A-mixtures reconstituted using conventional methods for sands, the deviatoric stress to axial strain relation diagram (Figure 8a) indicates a constant increase in deviatoric stress with increasing axial strain. The critical state was reached at approximately 15% axial strain for the SK10_A specimen and 20% axial strain for the SK15_A specimen. At an initial confining stress of 50 kPa, the SK15_A responded with a lower peak deviatoric stress than the SK10_A. The volumetric response to axial strain (Figure 8b) was relatively consistent for all initial confining stresses. At approximately 15% axial strain, a constant volumetric strain of 2.3% for the SK10_A and 3.0% for the SK15_A, was reached.
The peak deviatoric stress was reached within 2–4% of axial strain for the host sand and B-mixtures reconstituted using alternative void ratios (Figure 8a). At higher axial strains, the deviatoric stress begins to drop to a critical state value at approximately 30% axial strain. The SK15_B specimens exhibited a slightly higher deviatoric stress increase than the host sand and SK10_B specimens at 25 and 50 kPa initial confining stresses. The SK10_B also exhibited a slightly higher increase in deviatoric stress than the host sand at 25 kPa initial confining stress, while at the 50 kPa initial confining stress, the SK10_B and host sand showed similar deviatoric stress to axial strain relation. The host sand and B-mixtures initially undergo compression in the early stages of axial loading, as shown in the enlarged part of Figure 8b. The highest positive volumetric strain of 0.3% is recorded at 2% axial strain for the host sand tested at 50 kPa confining stress. The B-mixtures initially exhibited smaller volumetric strain than the host sand at 50 kPa confining stress. After initial compression, the volumetric strain begins to drop with an increased negative value at higher axial strains as the specimens undergo constant dilation (Figure 8b). The SK15_B specimens at 25 and 50 kPa initial confining stresses resulted in the highest negative volumetric strain. The host sand and SK10_B specimens show similar dilative behaviour, which increases at lower confining stress.
The deviatoric stress and effective stress ratio response to the axial strain graphically represents the loose behaviour for A-mixtures and dense behaviour for the host sand and B-mixtures. A constant positive volumetric strain for the A-mixtures indicates compression, a characteristic of loose sand specimens. The host sand and B-mixtures exhibited initial compression at very low axial strains and dilation with decreasing negative volumetric strain at higher axial strains, which is characteristic of medium-dense and dense sand specimens.
For A-mixtures, deviatoric stress and volumetric strain response to axial strain in drained conditions correlate well with the lower CSL position than the host sand’s CSL, defining samples reconstituted at a looser state than the host sand.
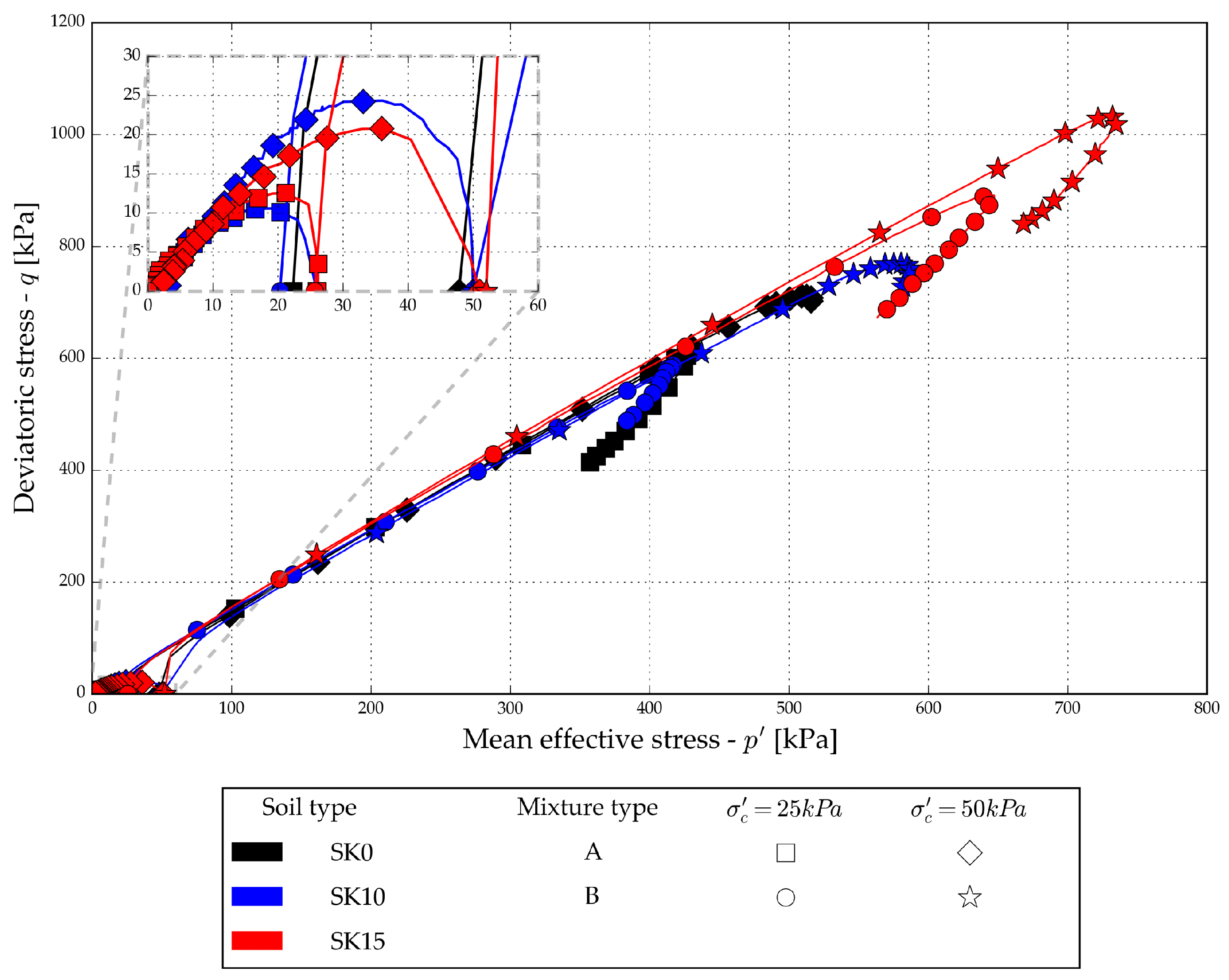
Figure 9 shows the complete stress paths from performed drained tests, while peak and critical state values are presented in Figure 10. The A-mixtures’ peak deviatoric stress values are positioned lower in the p q plane than those of the host sand and B-mixtures, as shown in Figure 9 and Figure 10, resulting in a lower inclination of the projected critical state lines (CSLs) (Figure 10 and Table 8). An increase in the CSL angle with an increase in fines content can be observed with B-mixtures.
Figure 11 shows the difference in drained peak and critical stress ratios with increasing fines content, with the values presented in Table 9. For A-mixtures, the peak values tend to decrease with increasing kaolinite content up to 10% (SK10). This effect is insignificant from 10% to 15% kaolinite content. Critical values increase with increasing kaolinite content at 25 kPa confining stress but remain unchanged at 50 kPa confining stress. For B-mixtures, the peak values tend to increase with increasing kaolinite content. With increasing kaolinite content, critical values rapidly increase at a 25 kPa confining stress and increase slightly at 50 kPa confining stress.
Since the specimens tested were fully saturated, the water content exceeded the liquid limit of the clay fraction. With consequential loss of cohesive forces, the unfavourable slip-like behaviour will govern the specimen’s clay fraction in drained conditions, with the potential of selective particle migration (internal erosion or suffusion) and loss of specimen homogeneity. Regarding the B-mixtures, a small change in soil behaviour with a change in fines content could be attributed to the specimen’s varying relative density due to the inaccurately analytically determined void ratios, to the changing clay consistency at different saturation degrees, or the potential structural rearrangement of the clay fraction during the test (loss of specimen homogeneity).

3.6. Undrained Compression Tests

The quantitative values of the undrained compression tests are summarised in Table 10.
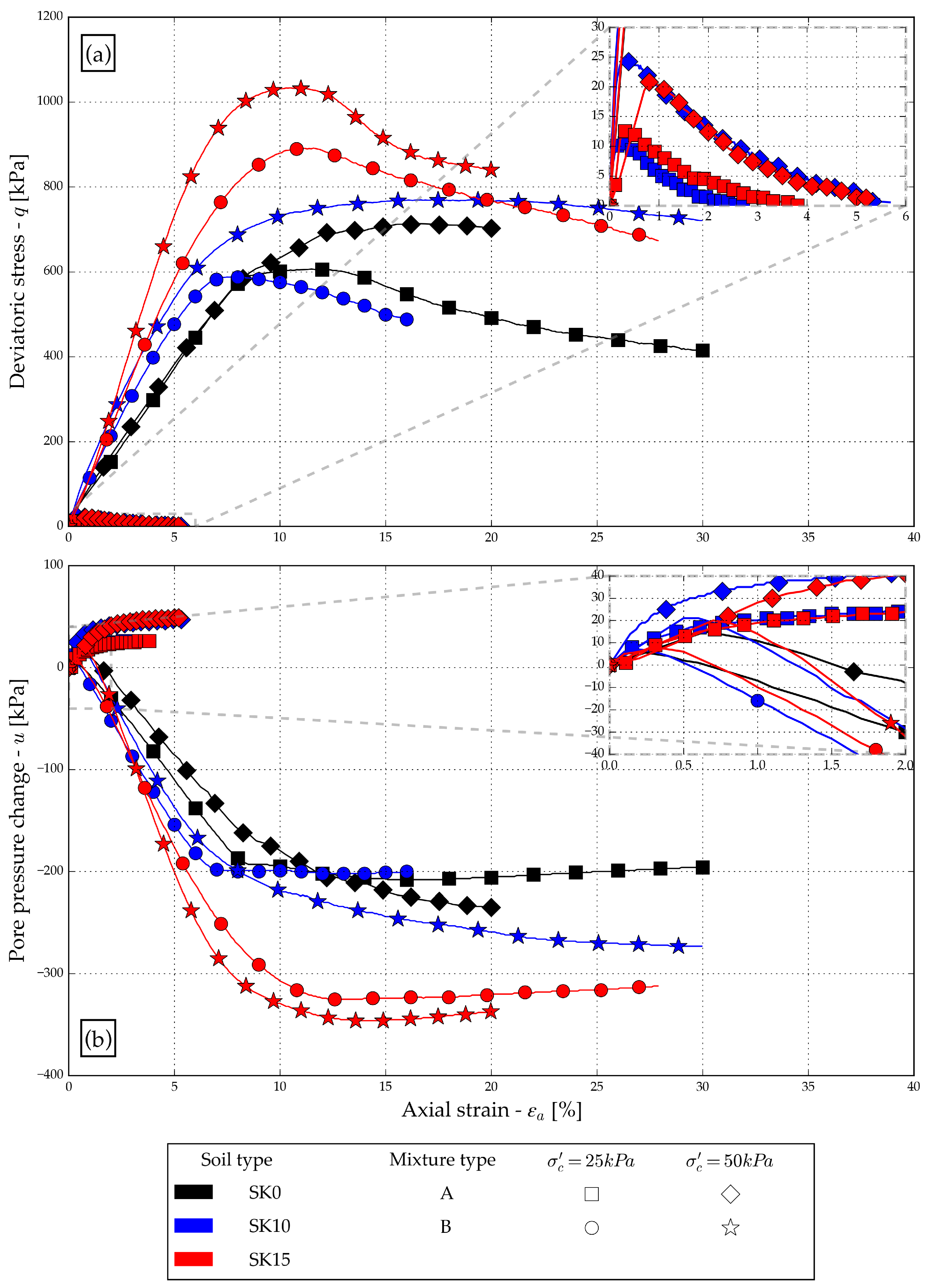
For A-mixtures, the peak deviatoric stress, ranging between 10 and 25 kPa, was reached at 0.3% axial strain (Figure 12a). After reaching the peak value, the deviatoric stress decreases to 0 with a further increase in axial strain at approximately 3% axial strain for A-mixtures tested at 10 and 25 kPa and at approximately 5% axial strain at 50 kPa. The pore water pressure changes to axial strain relation diagram (Figure 12b) shows an increase in the positive pore pressure with increasing axial strain to an approximately constant value at 2–3% axial strain. The pore water pressure increase appears unaffected by the fines content.
The peak deviatoric stress was reached within 7–15% of axial strain for the host sand and B-mixtures (Figure 12a). With increasing axial strains, the deviatoric stress gradually declines. The host sand and B-mixtures initially exhibit a positive pore water pressure change (Figure 12b) in the early stages of axial loading (up to 1% axial strain). The initial pore water pressure increase is unaffected by the fines content. With increasing axial strain, the pore water pressure changes drop to a constant negative value at approximately 7–25% axial strain (Figure 12b).
The decrease in the rate and value of pore water pressure is affected by the fines content but is unaffected by changing confining stresses. The higher the fines content, the higher the increase in negative pore pressure. The peak deviatoric stress achieved with A-mixtures was significantly smaller than that achieved with host sand and B-mixtures. This relates well to the deviatoric stress to axial strain response, which graphically represented by the loose behaviour for A-mixtures and the dense behaviour for the host sand and B-mixtures. Deviatoric stress rapidly drops to zero value with increasing axial strain for A-mixtures, indicating a complete liquefaction of the specimens ( r u approximately equal to 1). The change in pore water pressure with increasing axial strain indicates constant compression for A-mixtures, a characteristic of loose sand specimens. The initial pore water pressure increase, followed by a decrease to a constant negative value with increasing axial strain for the host sand and B-mixtures, indicates an initial compression followed by dilation, a characteristic of dense and mid-dense sands. Again, a good relationship is observed between the deviatoric stress and axial strain response, graphically representing the loose behaviour for A-mixtures and the dense behaviour for the host sand and B-mixtures. Both A-mixtures develop similar stress-paths during undrained shearing at low initial confining stresses (Figure 13), and a full liquefaction effect can be observed. The A-mixtures’ undrained steady state lines (SSLs) exhibit a smaller inclination in the p q plane than those of the host sand and B-mixtures. For the A-mixtures, the undrained instability state lines (ISLs) are projected through the measured peak deviatoric stress values according to [46] (Figure 14).
For host sand and B-mixtures tested at an initial confining stress of 50 kPa, the peak q and p values increase with an increase in fines content. At the 25 kPa initial confining stress, the SK15_B specimen reaches higher values of q and p than the host sand, and the SK10_B specimen reaches similar values to those of the host sand. The failure mechanism for host sand and B-mixtures occurs as shear failure along one inclined shear plane due to the concentrated shear stress within the sample. The A-mixtures’ deviatoric stress and pore water pressure response to small axial strains in undrained conditions indicate complete liquefaction and loose samples’ behaviour. This correlates well with the determined SSL and ISL linear trend.
Figure 15 shows the difference in undrained peak and critical stress ratios with increasing fines content, while the values at specific states are presented in Table 11. As with the drained test values, the peak values for A-mixtures tend to decrease with increasing kaolinite content up to 10% (SK10), and remain relatively unchanged from 10% to 15% kaolinite content. Up to 10% kaolinite content, critical values rapidly increase at 25 kPa confining stress, and slightly decrease at 50 kPa confining stress. Critical values remain relatively unchanged from 10% to 15% kaolinite content, regardless of governing confining stress. For B-mixtures, the peak values tend to decrease slightly up to 10% and then increase slightly from 10% to 15% kaolinite content. Critical values appear relatively unchanged with increasing kaolinite content.
As mentioned, with consequential loss of cohesive forces due to full saturation of the specimens, the unfavourable slip-like behaviour will govern the specimen’s clay fraction in undrained conditions. Regarding the B-mixtures, a small change in soil behaviour with a change in fines content could be attributed to the specimen’s varying relative density due to inaccurately determined void ratios or changing clay consistency at different saturation degrees.

4. Conclusions

The present research summarised the experimental and observational findings on the influence of kaolinite clay on the reconstitution process and the drained and undrained static behaviour of silty sands with kaolinite clay. Several concluding remarks can be drawn concerning the void ratio determination suggestions and the effect of clay mineral fines on the silty sands’ void ratios.

4.1. Void Ratio Determination Methods

The observed clay particle segregation when using the conventional determination methods [22,23] with existing recommendations [1,24] for A-mixtures relates well to the inapplicability of these testing procedures for silty sands with clay minerals, even within the sand-dominated soil structure. This also implies the miscalculated targeted relative density within the present and the existing research [20,21]. The reconstituted specimens physically appeared loose and were susceptible to deformation during the preparation for the triaxial test. A-mixtures also exhibited numerous macropores during the saturation stage, a characteristic of loose specimens.
The analytically determined void ratios for B-mixtures approximate the limiting case condition where all the fines fill the host sand pore spaces, and none participate in the mixture’s structure. This condition can also be identified as the intergranular [2] or the skeleton [3] void ratio. It relates well to case I condition, Figure 3, with the mean particle sizes of sand and fines D 50 d 50 > 6.5 for spherical particles, and f c < f t h [16], and to the filling coefficient’s power trend relation to a particle size ratio, as seen in Figure 8. The reconstituted B-mixtures physically appeared dense, exhibiting no macro-pores, and were also stable during the preparation for the triaxial test. An increase in the fines content causes an increase in the densification effort, indicating a possible increase in the relative density of reconstituted specimens with increasing fines content. The conventional void ratio determination methods appear to be inapplicable for properly defining the physical characteristics of silty sands with clay minerals. Compared to the host sand, the analytical method correlates well with the appearance and preparation process, as well as the triaxial experimental data, indicating dense sand behaviour for silty sands with clay minerals. The analytical methods [2,25,26] can be applied to redefine the void ratios of silty sands with kaolinite clay for the specimen reconstitution process and to further approximate the soil behaviour in various experiments. The potential deviation from the “real” relative density should be considered when comparing the soil behaviour with less significant testing condition differences. The analytical methods are based on the volumetric fractions of sand grains and clay particles and should only be applied to non-expansive and low plasticity clay, such as kaolinite.

4.2. Drained Compression Tests

For A-mixtures, deviatoric stress and volumetric strain response to axial strain in drained conditions correlate better with the lower CSL position than the B-mixtures and the host sand’s CSL, defining samples reconstituted at a loose state. For A-mixtures, peak stress ratios decrease with kaolinite content up to 10%, with little change from 10 to 15%. Critical stress ratios increase at 25 kPa confining stress but remain unchanged at 50 kPa. The host sand and B-mixtures deviatoric stress and volumetric strain response to axial strain in drained conditions indicate dense behaviour. Their peak stress ratios increase with higher kaolinite content, while critical ratios rise rapidly at 25 kPa and only slightly at 50 kPa. Within fully saturated specimens, the water content exceeds the liquid limit of the clay fraction. With consequential loss of cohesive forces, the unfavourable slip-like behaviour will govern the specimen’s clay fraction in drained conditions, with the potential of selective particle migration (internal erosion or suffusion) and loss of specimen homogeneity. Regarding the B-mixtures, a small change in soil behaviour with a change in fines content could be attributed to the specimen’s varying relative density due to the inaccurately analytically determined void ratios, to the changing clay consistency at different saturation degrees, or the potential structural rearrangement of the clay fraction during the test (loss of specimen homogeneity).

4.3. Undrained Compression Tests

The deviatoric stress to axial strain response represents the loose behaviour for A-mixtures and dense behaviour for the host sand and B-mixtures. The A-mixtures’ deviatoric stress and pore water pressure response to small axial strains in undrained conditions indicate complete liquefaction and loose samples’ behaviour. This correlates well with the determined SSL and ISL linear trend, in contrast to the B-mixtures’ CSL. Peak stress ratios decrease with kaolinite content up to 10% and remain nearly constant from 10 to 15%. Critical stress ratios increase rapidly at 25 kPa but decrease slightly at 50 kPa up to 10% fines, and show little change from 10 to 15%. For B-mixtures, peak values decrease slightly up to 10% fines then increase slightly from 10 to 15%, while critical values remain largely unchanged with increasing kaolinite content. With consequential loss of cohesive forces due to full saturation of the specimens, the unfavourable slip-like behaviour will govern the specimen’s clay fraction in undrained conditions. Regarding the B-mixtures, a small change in soil behaviour with a change in fines content could be attributed to the specimen’s varying relative density due to inaccurately determined void ratios, or changing clay consistency at different saturation degrees.

4.4. Physical Characteristics of Clayey and Silty Sands with Clay Minerals

Clay particles in dense, saturated, and isotropically confined silty sands are likely to be crushed or slip between the sand grains in the sand skeleton pore spaces. With increasing water content, the clay will transition from a plastic and paste-like behaviour up to the liquid limit water content, to slip beyond the liquid limit water content [45]. Slip-like behaviour is especially unfavourable in drained conditions, since it causes selective particle migration (internal erosion or suffusion) and loss of specimen homogeneity. The potential loss of specimen homogeneity can negatively affect the experimental results, which should be considered when choosing the test type. Within unsaturated mixtures (below the clay fractions’ liquid limit water content), the angular clay particles can enhance the particle bridging and consequently tend to produce higher void ratios than equivalent spheres [1], schematically presented as case III, Figure 3 [16]. Due to the clay fractions’ slip-like behaviour, the particle bridging is improbable above the clay fractions’ liquid limit water content. This also implies that below the fines threshold, soil structure presented with cases II and III, Figure 3, could gradually collapse to case I with increasing saturation degree, due to the loss of clay’s cohesive forces and its inability to form stable bridges between the sand grains. The void ratios of silty sand mixtures with clay minerals appear to be highly dependent on the governing confining stresses, draining conditions, saturation degree, clay mineral composition and volume fraction, and the configuration of the sand skeleton. Unlike pure sands with well-defined and stable structure, silty sands with clay minerals will be subjected to varying void ratios caused by the clay’s fraction phase transformation at different saturation degrees. Additionally, the volume change with increasing saturation should be considered with expansive clays. Present research indicates that conventional void ratio determination methods are inapplicable for silty sands with kaolinite clay, and the analytical method does not provide exact minimum and maximum void ratio values. A new method for determining the void ratios of silty sands with clay minerals should be developed that considers all the above parameters, since the clay fines affect the physical characteristics of silty sands differently from those of non-plastic silt. With more precisely determined physical characteristics, a proper evaluation of behaviour can be conducted compared to existing sand and silty sands with non-plastic fines.

Author Contributions

Conceptualisation, D.M. and V.J.; methodology, D.M.; validation, V.J.; formal analysis, D.M.; investigation, D.M.; data curation, D.M.; writing—original draft preparation, D.M.; writing—review and editing, V.J.; visualisation, D.M. and V.J.; supervision, V.J. All authors have read and agreed to the published version of the manuscript.

Funding

The tests were conducted in the Geotechnical Laboratory at the Faculty of Civil Engineering, University of Rijeka, within the Project Research Infrastructure for Campus-based Laboratories at the University of Rijeka, (RC.2.2.06-0001) funded by Ministry of Science, Education and Sports of the Republic of Croatia. This project has been co-funded by the European Fund for Regional Development (ERDF); this support is gratefully acknowledged. The research was funded by the University of Rijeka, Croatia through the project “Physical and laboratory tests of interparticle behavior of sand and clay mixtures at low overburden stresses” (uniri-iskusni-tehnic-23-183 212). The help of a former graduate students from the Faculty of Civil Engineering, University of Rijeka, Croatia, Martina Turković and Duje Katalinić in conducting several cyclic tests is sincerely appreciated.

Institutional Review Board Statement

Not applicable.

Informed Consent Statement

Not applicable.

Data Availability Statement

The data presented in this study are available on request from the corresponding author upon reasonable request.

Conflicts of Interest

The authors declare no conflicts of interest.

Abbreviations

The following abbreviations are used in this manuscript:
CSLCritical State Line
SSLSteady State Line
ISLInstability State Line
LVDTLinear variable differential transducer

References

  1. Lade, P.V.; Liggio, C.D.; Yamamuro, J.A. Effects of Non-Plastic Fines on Minimum and Maximum Void Ratios of Sand. Geotech. Test. J. 1998, 21, 336–347. [Google Scholar] [CrossRef]
  2. Thevanayagam, S. Effect of Fines and Confining Stress on Undrained Shear Strength of Silty Sands. J. Geotech. Geoenviron. Eng. 1998, 124, 479–491. [Google Scholar] [CrossRef]
  3. Yang, J.; Wei, L.M.; Dai, B.B. State Variables for Silty Sands: Global Void Ratio or Skeleton Void Ratio? Soils Found. 2015, 55, 99–111. [Google Scholar] [CrossRef]
  4. Phan, V.T.A.; Hsiao, D.H. Undrained Behavior and Shear Strength of Clean Sand Containing Low-Plastic Fines. IOP Conf. Ser. Earth Environ. Sci. 2018, 143, 12020. [Google Scholar] [CrossRef]
  5. Rabbi, A.T.M.Z.; Rahman, M.M.; Cameron, D.A. The Relation between the State Indices and the Characteristic Features of Undrained Behaviour of Silty Sand. Soils Found. 2019, 59, 801–813. [Google Scholar] [CrossRef]
  6. Othman, B.A.; Marto, A.; Uzuoka, R.; Ueda, K.; Satar, M.H.M. Liquefaction Resistance of Sand-Kaolin Mixtures: Effect of Sand Sizes. IOP Conf. Ser. Earth Environ. Sci. 2022, 1103, 12026. [Google Scholar] [CrossRef]
  7. Tafili, M.; Knittel, L.; Gauger, V.; Wichtmann, T.; Stutz, H.H. Experimental Study on Monotonic to High-Cyclic Behaviour of Sand-Silt Mixtures. Acta Geotech. 2024, 19, 4227–4240. [Google Scholar] [CrossRef]
  8. Derakhshandi, M.; Rathje, E.M.; Hazirbaba, K.; Mirhosseini, S.M. The Effect of Plastic Fines on the Pore Pressure Generation Characteristics of Saturated Sands. Soil Dyn. Earthq. Eng. 2008, 28, 376–386. [Google Scholar] [CrossRef]
  9. Lade, P.V.; Yamamuro, J.A.; Liggio, C.D.J. Effects of Fines Content on Void Ratio, Compressibility, and Static Liquefaction of Silty Sand. Geomech. Eng. 2009, 1, 1–15. [Google Scholar] [CrossRef]
  10. Monkul, M.M.; Yamamuro, J.A. Influence of silt size and content on liquefaction behavior of sands. Can. Geotech. J. 2011, 48, 931–942. [Google Scholar] [CrossRef]
  11. Yang, J.; Wei, L.M. Collapse of Loose Sand with the Addition of Fines: The Role of Particle Shape. Géotechnique 2012, 62, 1111–1125. [Google Scholar] [CrossRef]
  12. Sarkar, D.; Goudarzy, M.; König, D.; Wichtmann, T. Influence of particle shape and size on the threshold fines content and the limit index void ratios of sands containing non-plastic fines. Soils Found. 2020, 60, 621–633. [Google Scholar] [CrossRef]
  13. Mitchell, J.K.; Soga, K. Fundamentals of Soil Behavior, 3rd ed.; Wiley: Hoboken, NJ, USA, 2005. [Google Scholar]
  14. Holtz, R.D.; Kovacs, W.D.; Sheahan, T.C. An Introduction to Geotechnical Engineering; Pearson: London, UK, 2011. [Google Scholar]
  15. Cheng, Z.; Wang, J.; Xu, D.; Fan, X. DEM study on the micromechanical behaviour of sand-clay mixtures. Powder Technol. 2024, 435, 119400. [Google Scholar] [CrossRef]
  16. Thevanayagam, S.; Martin, G.R. Liquefaction in silty soils—Screening and remediation issues. Soil Dyn. Earthq. Eng. 2002, 22, 1035–1042. [Google Scholar] [CrossRef]
  17. Rahman, M.M.; Lo, S.R.; Gnanendran, C.T. On Equivalent Granular Void Ratio and Steady State Behaviour of Loose Sand with Fines. Can. Geotech. J. 2008, 45, 1439–1456. [Google Scholar] [CrossRef]
  18. Rahman, M.M.; Lo, S.R. Undrained Behavior of Sand-Fines Mixtures and Their State Parameter. J. Geotech. Geoenviron. Eng. 2014, 140, 4014036. [Google Scholar] [CrossRef]
  19. Karimian, A.; Hassanlourad, M. Undrained monotonic shear behaviour of loose sand-silt soil mixture. Int. J. Geotech. Eng. 2020, 14, 919–929. [Google Scholar] [CrossRef]
  20. Prodan, M.V.; Peranić, J.; Pajalić, S.; Arbanas, Ž. Physical Modelling of Rainfall-Induced Sandy and Clay-Like Slope Failures. Adv. Mater. Sci. Eng. 2023, 2023, 3234542. [Google Scholar] [CrossRef]
  21. Arbanas, Ž.; Peranić, J.; Jagodnik, V.; Prodan, M.V.; Čeh, N. Remedial Measures Impact on Slope Stability and Landslide Occurrence in Small-Scale Slope Physical Model in 1 g Conditions. In Progress in Landslide Research and Technology, Volume 2 Issue 2, 2023; Alcántara-Ayala, I., Željko, A., Huntley, D., Konagai, K., Arbanas, S.M., Mikoš, M., Ramesh, M.V., Sassa, K., Sassa, S., Tang, H., et al., Eds.; Springer Nature: Cham, Switzerland, 2023; pp. 197–220. [Google Scholar] [CrossRef]
  22. D4253-16, A; Test Methods for Maximum Index Density and Unit Weight of Soils Using a Vibratory Table. ASTM International: West Conshohocken, PA, USA, 2016.
  23. D4254-16, A; Standard Test Methods for Minimum Index Density and Unit Weight of Soils and Calculation of Relative Density. ASTM International: West Conshohocken, PA, USA, 2016.
  24. Mijic, Z.; Bray, J.D.; Riemer, M.F.; Cubrinovski, M.; Rees, S.D. Test Method for Minimum and Maximum Densities of Small Quantities of Soil. Soils Found. 2021, 61, 533–540. [Google Scholar] [CrossRef]
  25. Chang, C.S.; Wang, J.Y.; Ge, L. Modeling of Minimum Void Ratio for Sand–Silt Mixtures. Eng. Geol. 2015, 196, 293–304. [Google Scholar] [CrossRef]
  26. Chang, C.S.; Wang, J.Y.; Ge, L. Maximum and Minimum Void Ratios for Sand-Silt Mixtures. Eng. Geol. 2016, 211, 7–18. [Google Scholar] [CrossRef]
  27. Goudarzy, M.; Sarkar, D.; Lieske, W.; Wichtmann, T. Influence of plastic fines content on the liquefaction susceptibility of sands: Monotonic loading. Acta Geotech. 2022, 17, 1719–1737. [Google Scholar] [CrossRef]
  28. Gobbi, S.; Reiffsteck, P.; Lenti, L.; d’Avila, M.P.S.; Semblat, J.F. Liquefaction triggering in silty sands: Effects of non-plastic fines and mixture-packing conditions. Acta Geotech. 2022, 17, 391–410. [Google Scholar] [CrossRef]
  29. Thevanayagam, S.; Mohan, S. Intergranular State Variables and Stress–Strain Behaviour of Silty Sands. Géotechnique 2000, 50, 1–23. [Google Scholar] [CrossRef]
  30. Polito, C.P. Models for Estimating Coefficients for the Prediction of Maximum and Minimum Index Void Ratios for Mixtures of Sand and Non-Plastic Silt. Technical report, Engineering. Preprints 2023, 2023091306. [Google Scholar] [CrossRef]
  31. Marušić, D.; Jagodnik, V. Atterberg Limits Determination and Soil Classification Using Fall Cone Device on the Silty Sands and Sandy Silts. Int. J. Geotech. Eng. 2025, 19, 78–87. [Google Scholar] [CrossRef]
  32. D854-14, A; Standard Test Methods for Specific Gravity of Soil Solids by Water Pycnometer. Technical Report; ASTM: West Conshohocken, PA, USA, 2014.
  33. 17892-4:2016; Geotechnical Research and Testing—Laboratory Soil Testing—Part 4: Particle Size Analysis (in Croatian). ISO: Zagreb, Croatia, 2016.
  34. Jagodnik, V.; Arbanas, Ž. Cyclic Behaviour of Uniform Sand in Drained and Undrained Conditions at Low Confining Stress in Small-Scale Landslide Model. Sustainability 2022, 14, 12797. [Google Scholar] [CrossRef]
  35. Sridharan, A.; Nagaraj, H.; Prakash, K. Determination of the Plasticity Index from Flow Index. Geotech. Test. J. 1999, 22, 175–181. [Google Scholar] [CrossRef]
  36. Fleureau, J.M.; Verbrugge, J.C.; Huergo, P.J.; Correia, A.G.; Kheirbek-Saoud, S. Aspects of the behaviour of compacted clayey soils on drying and wetting paths. Can. Geotech. J. 2002, 39, 1341–1357. [Google Scholar] [CrossRef]
  37. Jagodnik, V.; Kraus, I.; Ivanda, S.; Arbanas, Ž. Behaviour of Uniform Drava River Sand in Drained ConditionA Critical State Approach. Appl. Sci. 2020, 10, 5733. [Google Scholar] [CrossRef]
  38. Lade, P.V. Triaxial Testing of Soils; Wiley: Hoboken, NJ, USA, 2016. [Google Scholar] [CrossRef]
  39. D7181-20, A; Standard Test Method for Consolidated Drained Triaxial Compression Test for Soils. ASTM: West Conshohocken, PA, USA, 2020.
  40. D4767-11, A; Standard Test Method for Consolidated Undrained Triaxial Compression Test for Cohesive Soils. ASTM: West Conshohocken, PA, USA, 2020.
  41. Ladd, R.S. Preparing Test Specimens Using Undercompaction. Geotech. Test. J. 1978, 1, 16–23. [Google Scholar] [CrossRef]
  42. Water Supply and Drainage Utility Company, Rijeka. Water Quality and Testing (in Croatian); Water Supply and Drainage Utility Company: Rijeka, Croatia, 2025. [Google Scholar]
  43. Won, J.; Park, J.; Kim, J.; Jang, J. Impact of Particle Sizes, Mineralogy and Pore Fluid Chemistry on the Plasticity of Clayey Soils. Sustainability 2021, 13, 11741. [Google Scholar] [CrossRef]
  44. Skempton, A.W. The Pore–Pressure Coefficients A and B. Géotechnique 1954, 4, 143–147. [Google Scholar] [CrossRef]
  45. Andrade, F.; Al-Qureshi, H.; Hotza, D. Measuring the plasticity of clays: A review. Appl. Clay Sci. 2011, 51, 1–7. [Google Scholar] [CrossRef]
  46. Murthy, T.G.; Loukidis, D.; Carraro, J.A.H.; Prezzi, M.; Salgado, R. Undrained Monotonic Response of Clean and Silty Sands. Géotechnique 2007, 57, 273–288. [Google Scholar] [CrossRef]
Figure 1. Phase relation schematic diagram.
Figure 1. Phase relation schematic diagram.
Geotechnics 05 00070 g001
Figure 2. Schematic diagram of a theoretical variation of minimum void ratio in binary packings with % fines (coarse grains – grey, fine grains – red, void – blue stripes)—modified according to [1].
Figure 2. Schematic diagram of a theoretical variation of minimum void ratio in binary packings with % fines (coarse grains – grey, fine grains – red, void – blue stripes)—modified according to [1].
Geotechnics 05 00070 g002
Figure 3. Intergranular soil mix classification for coarse-grain soil mix (coarse grains – grey, fine grains – red, void – blue stripes)—modified according to [16].
Figure 3. Intergranular soil mix classification for coarse-grain soil mix (coarse grains – grey, fine grains – red, void – blue stripes)—modified according to [16].
Geotechnics 05 00070 g003
Figure 4. Particle size distribution of tested soil specimens.
Figure 4. Particle size distribution of tested soil specimens.
Geotechnics 05 00070 g004
Figure 5. Triaxial system used: (a) triaxial frame, (b) triaxial cell, (c) submerged load cell, (d) cell pressure transducer (e) pore water pressure transducer, (f) back pressure transducer, (g) LVDT, and (h) volume change device.
Figure 5. Triaxial system used: (a) triaxial frame, (b) triaxial cell, (c) submerged load cell, (d) cell pressure transducer (e) pore water pressure transducer, (f) back pressure transducer, (g) LVDT, and (h) volume change device.
Geotechnics 05 00070 g005
Figure 6. Sample of 50 mm in diameter and 100 mm high prepared for monotonic triaxial test.
Figure 6. Sample of 50 mm in diameter and 100 mm high prepared for monotonic triaxial test.
Geotechnics 05 00070 g006
Figure 7. The filling coefficient a relation to a particle size ratio d 50 / D 50 , and computed best-fit power trend [25].
Figure 7. The filling coefficient a relation to a particle size ratio d 50 / D 50 , and computed best-fit power trend [25].
Geotechnics 05 00070 g007
Figure 8. Results of a drained tests: (a) stress–strain curves and (b) volumetric strain vs axial strain.
Figure 8. Results of a drained tests: (a) stress–strain curves and (b) volumetric strain vs axial strain.
Geotechnics 05 00070 g008
Figure 9. Drained stress-path presentation of the tested mixtures compared with the determined critical state line for each specimen type.
Figure 9. Drained stress-path presentation of the tested mixtures compared with the determined critical state line for each specimen type.
Geotechnics 05 00070 g009
Figure 10. Peak and critical state values with assumed peak and critical lines.
Figure 10. Peak and critical state values with assumed peak and critical lines.
Geotechnics 05 00070 g010
Figure 11. Stress ratio of drained tests: (a) stress ratio at peak deviatoric stress and (b) stress ratio at critical state.
Figure 11. Stress ratio of drained tests: (a) stress ratio at peak deviatoric stress and (b) stress ratio at critical state.
Geotechnics 05 00070 g011
Figure 12. Results of a drained tests: (a) stress–strain curves and (b) volumetric strain vs axial strain.
Figure 12. Results of a drained tests: (a) stress–strain curves and (b) volumetric strain vs axial strain.
Geotechnics 05 00070 g012
Figure 13. Undrained stress-path presentation of the tested mixtures compared with the determined steady state line for each specimen type.
Figure 13. Undrained stress-path presentation of the tested mixtures compared with the determined steady state line for each specimen type.
Geotechnics 05 00070 g013
Figure 14. Ultimate state and steady state values with assumed ultimate and steady state lines.
Figure 14. Ultimate state and steady state values with assumed ultimate and steady state lines.
Geotechnics 05 00070 g014
Figure 15. Stress ratio of undrained tests: (a) stress ratio at peak ultimate stress and (b) stress ratio at steady state.
Figure 15. Stress ratio of undrained tests: (a) stress ratio at peak ultimate stress and (b) stress ratio at steady state.
Geotechnics 05 00070 g015
Table 1. Tested specimens’ kaolinite (K) and sand (S) content.
Table 1. Tested specimens’ kaolinite (K) and sand (S) content.
Soil TypeSand (S) [%]Kaolinite (K) [%]
Modland (SK0)1000
SK109010
SK158515
Kaolinite (SK100)0100
Table 2. Tested soil specimens’ physical properties.
Table 2. Tested soil specimens’ physical properties.
Soil TypeSpecific Gravity ( G s ) D 10 (mm) D 50 (mm) d 50 (mm)Liquid Limit (%)Plastic Limit (%)
SK02.700.17130.2888N/AN/AN/A
SK102.690.05350.2757N/AN/AN/A
SK152.670.00630.2701N/AN/AN/A
SK1002.600.0026N/A0.00475330
Table 3. Tested soil specimens’ physical properties.
Table 3. Tested soil specimens’ physical properties.
Test IDSoil TypeMixture TypeRelative Density, D r  [%]Effective Mean Confining Stress, p 0 [kPa]Test Type
050_SK0_DR_EFF25SK0N/A8025CID
041_SK0_DR_EFF50SK0N/A8050CID
015_SK10_A_DR_EFF25SK10A8025CID
021_SK10_A_DR_EFF50SK10A8050CID
018_SK15_A_DR_EFF25SK15A8025CID
012_SK15_A_DR_EFF50SK15A8050CID
049_SK10_B_DR_EFF25SK10B8025CID
046_SK10_B_DR_EFF50SK10B8050CID
048_SK15_B_DR_EFF25SK15B8025CID
047_SK15_B_DR_EFF50SK15B8050CID
042_SK0_UND_EFF25SK0N/A8025CIU
034_SK0_UND_EFF50SK0N/A8050CIU
016_SK10_A_UND_EFF25SK10A8025CIU
020_SK10_A_UND_EFF50SK10A8050CIU
007_SK15_A_UND_EFF25SK15A8025CIU
054_SK15_A_UND_EFF50SK15A8050CIU
043_SK10_B_UND_EFF25SK10B8025CIU
035_SK10_B_UND_EFF50SK10B8050CIU
044_SK15_B_UND_EFF25SK15B8025CIU
045_SK15_B_UND_EFF50SK15B8050CIU
A—reconstituted using void ratios determined with conventional methods for sands (A-mixtures); B—reconstituted using analytically determined alternative void ratios (B-mixtures); CID—Consolidated Isotropically Drained; CIU—Consolidated Isotropically Undrained.
Table 4. Conventionally determined minimum and maximum void ratios.
Table 4. Conventionally determined minimum and maximum void ratios.
Specimen TypeVoid RatiosPresent ResearchPrevious Research [20,21]
SK0 e m i n 0.6410.641
e m a x 0.9110.911
SK10 e m i n 0.5960.647
e m a x 1.0221.121
SK15 e m i n 0.640.544
e m a x 1.1281.43
SK100 e m i n 0.78-
e m a x 1.378-
Table 5. Determined B-mixtures parameters used for alternative void ratio determination.
Table 5. Determined B-mixtures parameters used for alternative void ratio determination.
Filling Coefficient α Mean Grain Size Ratio d 50 / D 50 Power Fit Parameter pFilling Constant α Filling Constant β
0.9570.0143.141.1560.170
Table 6. SK10 and SK15 alternative void ratios’ (B-mixtures) comparison with the ones obtained with conventional methods (A-mixtures).
Table 6. SK10 and SK15 alternative void ratios’ (B-mixtures) comparison with the ones obtained with conventional methods (A-mixtures).
Soil TypeVoid RatioB-MixturesA-Mixture
SK10 e m i n 0.4790.596
e m a x 0.7241.022
SK15 e m i n 0.3990.64
e m a x 0.6311.128
Table 7. Cross-correlated relative densities of A- and B-mixtures with differently determined void ratios.
Table 7. Cross-correlated relative densities of A- and B-mixtures with differently determined void ratios.
Soil TypeMixture TypeInitial Void Ratio, e 0 [-]Relative Density, D r [%]
SK10A0.68416
B0.536114
SK15A0.738N/A
B0.456138
Table 8. Summary of specimens with relative density of 80%, initial conditions, and critical state values.
Table 8. Summary of specimens with relative density of 80%, initial conditions, and critical state values.
Initial ConditionsPeak State ValuesCritical State Values
Test IDInitial Void Ratio, e 0 [-]Confining Mean Effective Stress, p 0 [kPa]Stress Ratio at Peak, η peak [-]Void Ratio at Critical State, e cs [-]Stress Ratio at Critical State, η cs [-]Mean Effective Stress at Critical State p cs [kPa]
050_SK0_DR_EFF250.695251.4540.7581.09642.55
041_SK0_DR_EFF500.695501.5450.7321.26588.17
015_SK10_A_DR_EFF250.681251.2820.6391.28243.65
021_SK10_A_DR_EFF500.681501.2640.6331.26484.68
018_SK15_A_DR_EFF250.738251.3160.6821.31644.53
012_SK15_A_DR_EFF500.738501.2580.6691.25880.95
049_SK10_B_DR_EFF250.522251.6630.5711.33050.33
046_SK10_B_DR_EFF500.522501.5360.5621.28789.32
048_SK15_B_DR_EFF250.436251.6770.5051.35454.69
047_SK15_B_DR_EFF500.436501.6830.5061.31499.63
Table 9. Void ratio values after consolidation and at critical state.
Table 9. Void ratio values after consolidation and at critical state.
Test IDInitial Void Ratio, e 0 [-]Effective Mean Confining Stress, p 0 [kPa]Void Ratio After Consolidation, e c [-]Void Ratio at Crtitical State, e cs [-]Mean Effective Stress at Crtitical State, p 0 [kPa]State Parameter, ψ [-]
050_SK0_DR_EFF250.695250.6910.75842.55−0.067
041_SK0_DR_EFF500.695500.6810.73288.17−0.051
015_SK10_A_DR_EFF250.681250.6770.63943.650.038
021_SK10_A_DR_EFF500.681500.670.63384.620.037
018_SK15_A_DR_EFF250.738250.7340.68244.530.052
012_SK15_A_DR_EFF500.738500.7220.66980.950.053
049_SK10_B_DR_EFF250.523250.520.57150.33−0.051
046_SK10_B_DR_EFF500.523500.5190.56289.32−0.043
048_SK15_B_DR_EFF250.445250.4430.50554.69−0.062
047_SK15_B_DR_EFF500.445500.4430.50699.63−0.063
Table 10. Summary of undrained tests with initial conditions, undrained instability state, and steady state values.
Table 10. Summary of undrained tests with initial conditions, undrained instability state, and steady state values.
Initial ConditionUndrained Instability StateSteady State
Test IDVoid Ratio e 0 [-]Confining Mean Effective Stress, p 0 [kPa]Mean Effective Stress, p uis [kPa]Deviatoric Stress, q uis [kPa]Mean Effective Stress, p ss [kPa]Deviatoric Stress, q ss [kPa]
042_SK0_UND_EFF250.69525425.68605.05425.68605.05
034_SK0_UND_EFF500.69550435.49630.03435.49630.03
016_SK10_A_UND_EFF250.6812519.5210.560.050.16
020_SK10_A_UND_EFF500.6815036.1124.234.013.03
007_SK15_A_UND_EFF250.7382521.1712.520.220.65
054_SK15_A_UND_EFF500.7385035.9320.792.631.9
043_SK10_B_UND_EFF250.52325383.14486.42383.14486.42
035_SK10_B_UND_EFF500.52350574.56769.69579.28720.83
044_SK15_B_UND_EFF250.44525647.11891.32647.11891.32
045_SK15_B_UND_EFF500.44550729.411033.24729.411033.24
Table 11. Void ratio values after consolidation and at steady state.
Table 11. Void ratio values after consolidation and at steady state.
Test IDInitial Void Ratio, e 0 [-]Effective Mean Confining Stress, p 0 [kPa]Void Ratio After Consolidation, e c [-]Mean Effective Stress at Steady State, p 0 [kPa]
042_SK0_UND_EFF250.695250.695425.68
034_SK0_UND_EFF500.695500.695435.49
016_SK10_A_UND_EFF250.681250.6780.05
020_SK10_A_UND_EFF500.681500.6784.01
007_SK15_A_UND_EFF250.738250.7360.22
054_SK15_A_UND_EFF500.738500.7362.63
043_SK10_B_UND_EFF250.523250.522383.14
035_SK10_B_UND_EFF500.523500.518579.28
044_SK15_B_UND_EFF250.445250.443647.11
045_SK15_B_UND_EFF500.445500.44729.41
Disclaimer/Publisher’s Note: The statements, opinions and data contained in all publications are solely those of the individual author(s) and contributor(s) and not of MDPI and/or the editor(s). MDPI and/or the editor(s) disclaim responsibility for any injury to people or property resulting from any ideas, methods, instructions or products referred to in the content.

Share and Cite

MDPI and ACS Style

Marušić, D.; Jagodnik, V. Monotonic Behaviour and Physical Characteristics of Silty Sands with Kaolinite Clay. Geotechnics 2025, 5, 70. https://doi.org/10.3390/geotechnics5040070

AMA Style

Marušić D, Jagodnik V. Monotonic Behaviour and Physical Characteristics of Silty Sands with Kaolinite Clay. Geotechnics. 2025; 5(4):70. https://doi.org/10.3390/geotechnics5040070

Chicago/Turabian Style

Marušić, Davor, and Vedran Jagodnik. 2025. "Monotonic Behaviour and Physical Characteristics of Silty Sands with Kaolinite Clay" Geotechnics 5, no. 4: 70. https://doi.org/10.3390/geotechnics5040070

APA Style

Marušić, D., & Jagodnik, V. (2025). Monotonic Behaviour and Physical Characteristics of Silty Sands with Kaolinite Clay. Geotechnics, 5(4), 70. https://doi.org/10.3390/geotechnics5040070

Article Metrics

Back to TopTop