A Novel Permeability–Tortuosity–Porosity Model for Evolving Pore Space and Mineral-Induced Clogging in Porous Medium
Abstract
1. Introduction
2. Mathematical Models for Evolving Pore Space
2.1. Scales to Consider for Hydrogeochemical Processes
2.2. Permeability–Tortuosity–Porosity Model at REV Scale
2.3. Surface-Controlled Reaction with a Power Law Model
3. Hydrogeochemical Model for Addressing Pore Clogging
3.1. Governing Equations for Seepage Flow and Solute Transport
3.2. Model Set-Up, Boundary, and Initial Conditions
3.3. Spatial and Temporal Discretization
4. Critical Zone and Numerical Results
4.1. Identification of Critical Zone
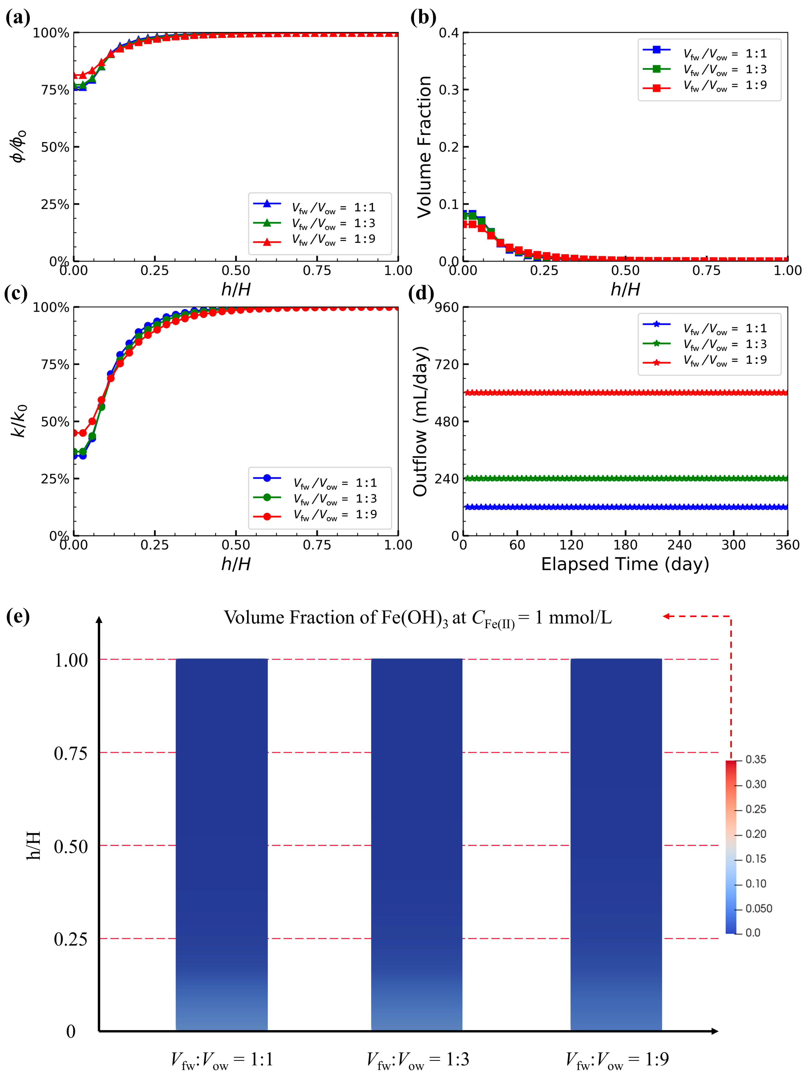
4.2. Multiple Vfw/Vow with a Constant CFe(II)
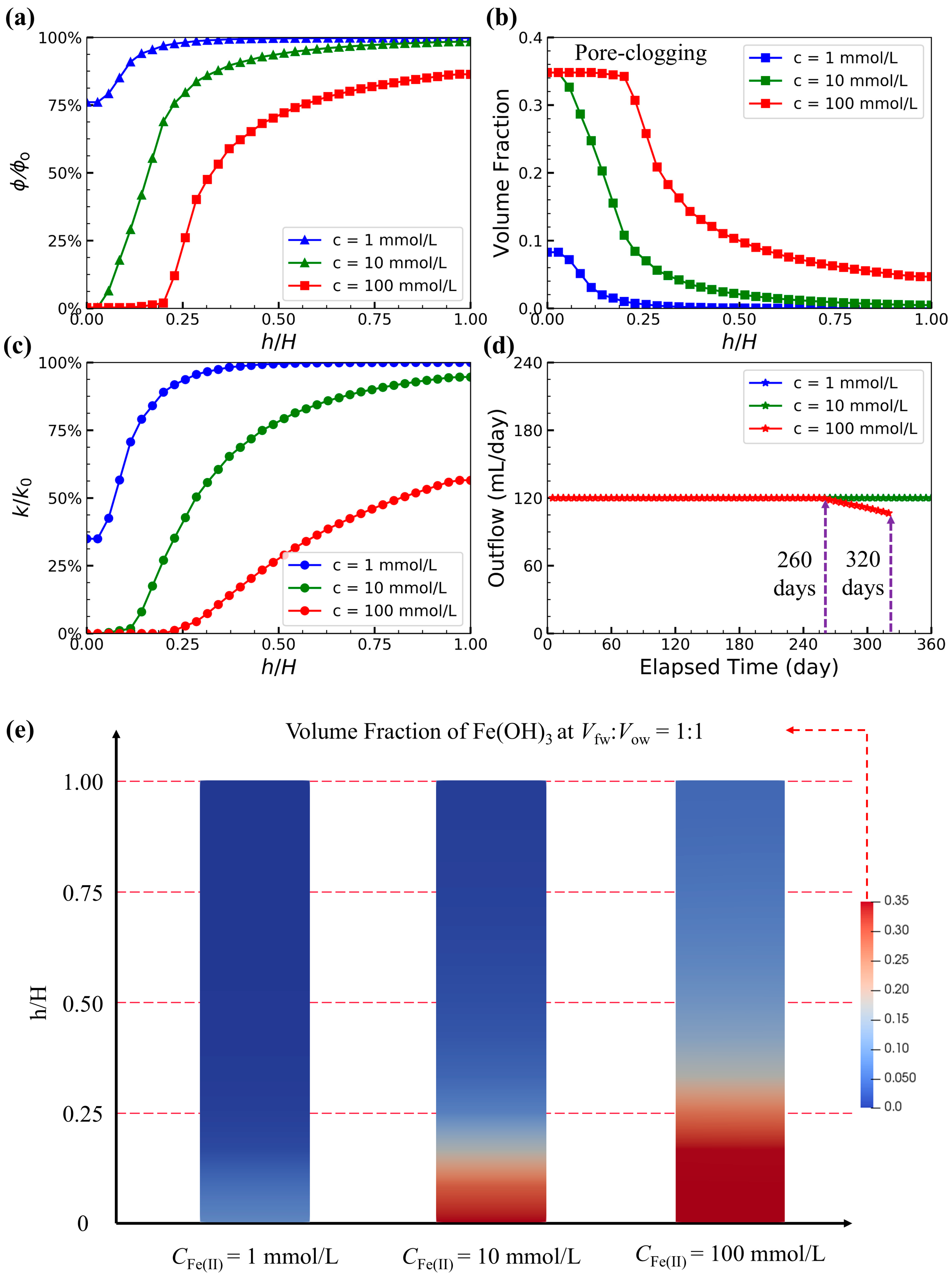
4.3. Multiple CFe(II) with a Constant Vfw/Vow
4.4. Effect of Rm Ratio on Precipitation Patterns
5. Discussion and Implication
5.1. Dynamic Properties of Ferrihydrite
5.2. Microbial Activity on Fe(III) Precipitation
5.3. Auto-Catalytic Feedback Mechanism
5.4. Scalability and Field-Scale Implications
6. Conclusions
- (1)
- A physio-mathematical model was developed to integrate the effects of tortuosity on permeability and surface area impacts on reactivity during oxidative precipitation of Fe(II). This extends the KC equation and provides a framework for addressing pore-clogging phenomena.
- (2)
- A process-based numerical model was established using a hybrid-scale approach, Which revealed patterns of Fe precipitation identified as critical zones for pore clogging.
- (3)
- The ratio of Vfw/Vow had minimal influence on precipitation patterns, while Fe(II) concentration significantly affected the distribution of Fe precipitation, regulating flow patterns through localized clogging.
- (4)
- A critical Fe concentration of 10 mmol/L was identified as a threshold: beyond this level, clogging accelerates significantly over time in the porous medium.
- (5)
- The permeability–tortuosity–porosity relationship was extensively validated through simulations, confirming its applicability for addressing pore-clogging challenges in hydrogeological systems.
Author Contributions
Funding
Institutional Review Board Statement
Informed Consent Statement
Data Availability Statement
Acknowledgments
Conflicts of Interest
References
- Cornell, R.; Schwertmann, U. The Iron Oxides: Structure, Properties, Reactions, Occurrences and Uses; Wiley-VCH Verlag GmbH & Co. KGaA: Weinheim, Germany, 2003; ISBN 978-3-527-30274-1. [Google Scholar]
- Larrahondo, J.M.; Burns, S.E. Laboratory-Prepared Iron Oxide Coatings on Sands: Surface Characterization and Strength Parameters. J. Geotech. Geoenviron. Eng. 2014, 140, 04013052. [Google Scholar] [CrossRef]
- Cao, W.; Yan, G.; Hofmann, H.; Scheuermann, A. State of the Art on Fe Precipitation in Porous Media: Hydrogeochemical Processes and Evolving Parameters. J. Mar. Sci. Eng. 2024, 12, 690. [Google Scholar] [CrossRef]
- Cao, W.; Hofmann, H.; Yan, G.; Scheuermann, A. Porewater Exchange and Iron Transformation in a Coastal Groundwater System: A Field Investigation, Driving Mechanisms Analysis, and Conceptual Model. Front. Mar. Sci.—Sec Coast. Ocean Process. 2024, 11, 1385517. [Google Scholar] [CrossRef]
- Tenthorey, E.; Fitzgerald, J. Feedbacks between Deformation, Hydrothermal Reaction and Permeability Evolution in the Crust: Experimental Insights. Earth Planet. Sci. Lett. 2006, 247, 117–129. [Google Scholar] [CrossRef]
- Annandale, J. Modelling the Long-Term Effect of Irrigation with Gypsiferous Water on Soil and Water Resources. Agric. Ecosyst. Environ. 1999, 76, 109–119. [Google Scholar] [CrossRef]
- Rinck-Pfeiffer, S. Interrelationships between Biological, Chemical, and Physical Processes as an Analog to Clogging in Aquifer Storage and Recovery (ASR) Wells. Water Res. 2000, 34, 2110–2118. [Google Scholar] [CrossRef]
- Xie, M.; Kolditz, O.; Moog, H.C. A Geochemical Transport Model for Thermo-hydro-chemical (THC) Coupled Processes with Saline Water. Water Resour. Res. 2011, 47, 2010WR009270. [Google Scholar] [CrossRef]
- Liu, S.; Jacques, D.; Govaerts, J.; Wang, L. Conceptual Model Analysis of Interaction at a Concrete–Boom Clay Interface. Phys. Chem. Earth Parts ABC 2014, 70–71, 150–159. [Google Scholar] [CrossRef]
- Houben, G.J. Iron Oxide Incrustations in Wells. Part 1: Genesis, Mineralogy and Geochemistry. Appl. Geochem. 2003, 18, 927–939. [Google Scholar] [CrossRef]
- Wagner, R.; Kühn, M.; Meyn, V.; Pape, H.; Vath, U.; Clauser, C. Numerical Simulation of Pore Space Clogging in Geothermal Reservoirs by Precipitation of Anhydrite. Int. J. Rock Mech. Min. Sci. 2005, 42, 1070–1081. [Google Scholar] [CrossRef]
- Rassi, E.M.; Codd, S.L.; Seymour, J.D. Nuclear Magnetic Resonance Characterization of the Stationary Dynamics of Partially Saturated Media during Steady-State Infiltration Flow. New J. Phys. 2011, 13, 015007. [Google Scholar] [CrossRef]
- De Windt, L.; Pellegrini, D.; Van Der Lee, J. Coupled Modeling of Cement/Claystone Interactions and Radionuclide Migration. J. Contam. Hydrol. 2004, 68, 165–182. [Google Scholar] [CrossRef] [PubMed]
- Seigneur, N.; Mayer, K.U.; Steefel, C.I. Reactive Transport in Evolving Porous Media. Rev. Mineral. Geochem. 2019, 85, 197–238. [Google Scholar] [CrossRef]
- Jin, L.; Mathur, R.; Rother, G.; Cole, D.; Bazilevskaya, E.; Williams, J.; Carone, A.; Brantley, S. Evolution of Porosity and Geochemistry in Marcellus Formation Black Shale during Weathering. Chem. Geol. 2013, 356, 50–63. [Google Scholar] [CrossRef]
- Sabo, M.S.; Beckingham, L.E. Porosity-Permeability Evolution During Simultaneous Mineral Dissolution and Precipitation. Water Resour. Res. 2021, 57, e2020WR029072. [Google Scholar] [CrossRef]
- Koponen, A.; Kataja, M.; Timonen, J. Permeability and Effective Porosity of Porous Media. Phys. Rev. E 1997, 56, 3319–3325. [Google Scholar] [CrossRef]
- Hommel, J.; Coltman, E.; Class, H. Porosity–Permeability Relations for Evolving Pore Space: A Review with a Focus on (Bio-)Geochemically Altered Porous Media. Transp. Porous Media 2018, 124, 589–629. [Google Scholar] [CrossRef]
- Lai, P.; Krevor, S. Pore Scale Heterogeneity in the Mineral Distribution and Surface Area of Berea Sandstone. Energy Procedia 2014, 63, 3582–3588. [Google Scholar] [CrossRef]
- Ehsan Samaei, S.; Berardi, U.; Taban, E.; Soltani, P.; Mohammad Mousavi, S. Natural Fibro-Granular Composite as a Novel Sustainable Sound-Absorbing Material. Appl. Acoust. 2021, 181, 108157. [Google Scholar] [CrossRef]
- Werth, C.J.; Zhang, C.; Brusseau, M.L.; Oostrom, M.; Baumann, T. A Review of Non-Invasive Imaging Methods and Applications in Contaminant Hydrogeology Research. J. Contam. Hydrol. 2010, 113, 1–24. [Google Scholar] [CrossRef]
- Blunt, M.J.; Bijeljic, B.; Dong, H.; Gharbi, O.; Iglauer, S.; Mostaghimi, P.; Paluszny, A.; Pentland, C. Pore-Scale Imaging and Modelling. Adv. Water Resour. 2013, 51, 197–216. [Google Scholar] [CrossRef]
- Cao, W.; Hu, N.; Yan, G.; Hofmann, H.; Scheuermann, A. Permeability–Porosity Model Considering Oxidative Precipitation of Fe(II) in Granular Porous Media. J. Hydrol. 2024, 636, 131346. [Google Scholar] [CrossRef]
- Soulaine, C.; Pavuluri, S.; Claret, F.; Tournassat, C. porousMedia4Foam: Multi-Scale Open-Source Platform for Hydro-Geochemical Simulations with OpenFOAM®. Environ. Model. Softw. 2021, 145, 105199. [Google Scholar] [CrossRef]
- Pavuluri, S.; Tournassat, C.; Claret, F.; Soulaine, C. Reactive Transport Modeling with a Coupled OpenFOAM®-PHREEQC Platform. Transp. Porous Media 2022, 145, 475–504. [Google Scholar] [CrossRef]
- Kang, Q.; Tsimpanogiannis, I.N.; Zhang, D.; Lichtner, P.C. Numerical Modeling of Pore-Scale Phenomena during CO2 Sequestration in Oceanic Sediments. Fuel Process. Technol. 2005, 86, 1647–1665. [Google Scholar] [CrossRef]
- Chagneau, A.; Claret, F.; Enzmann, F.; Kersten, M.; Heck, S.; Madé, B.; Schäfer, T. Mineral Precipitation-Induced Porosity Reduction and Its Effect on Transport Parameters in Diffusion-Controlled Porous Media. Geochem. Trans. 2015, 16, 13. [Google Scholar] [CrossRef]
- Rajyaguru, A.; L’Hôpital, E.; Savoye, S.; Wittebroodt, C.; Bildstein, O.; Arnoux, P.; Detilleux, V.; Fatnassi, I.; Gouze, P.; Lagneau, V. Experimental Characterization of Coupled Diffusion Reaction Mechanisms in Low Permeability Chalk. Chem. Geol. 2019, 503, 29–39. [Google Scholar] [CrossRef]
- Fox, D.T.; Guo, L.; Fujita, Y.; Huang, H.; Redden, G. Experimental and Numerical Analysis of Parallel Reactant Flow and Transverse Mixing with Mineral Precipitation in Homogeneous and Heterogeneous Porous Media. Transp. Porous Media 2016, 111, 605–626. [Google Scholar] [CrossRef]
- Garcia-Rios, M.; Luquot, L.; Soler, J.M.; Cama, J. The Role of Mineral Heterogeneity on the Hydrogeochemical Response of Two Fractured Reservoir Rocks in Contact with Dissolved CO2. Appl. Geochem. 2017, 84, 202–217. [Google Scholar] [CrossRef]
- Jung, H.; Navarre-Sitchler, A. Physical Heterogeneity Control on Effective Mineral Dissolution Rates. Geochim. Cosmochim. Acta 2018, 227, 246–263. [Google Scholar] [CrossRef]
- Liu, J.; Aruguete, D.M.; Jinschek, J.R.; Donald Rimstidt, J.; Hochella, M.F. The Non-Oxidative Dissolution of Galena Nanocrystals: Insights into Mineral Dissolution Rates as a Function of Grain Size, Shape, and Aggregation State. Geochim. Cosmochim. Acta 2008, 72, 5984–5996. [Google Scholar] [CrossRef]
- Zhao, Z.; Zhang, C.; Cao, W.; Hofmann, H.; Wang, T.; Li, L. Oxidative Precipitation of Fe(II) in Porous Media: Laboratory Experiment and Numerical Simulation. ACS EST Water 2023, 3, 963–973. [Google Scholar] [CrossRef]
- Soulaine, C.; Tchelepi, H.A. Micro-Continuum Approach for Pore-Scale Simulation of Subsurface Processes. Transp. Porous Media 2016, 113, 431–456. [Google Scholar] [CrossRef]
- Saripalli, K.P.; Serne, R.J.; Meyer, P.D.; McGrail, B.P. Prediction of Diffusion Coefficients in Porous Media Using Tortuosity Factors Based on Interfacial Areas. Groundwater 2002, 40, 346–352. [Google Scholar] [CrossRef]
- Bear, J. Dynamics of Fluids in Porous Media; American Elsevier Publishing Company: New York, NY, USA, 1972. [Google Scholar]
- Scheibe, T.D.; Perkins, W.A.; Richmond, M.C.; McKinley, M.I.; Romero-Gomez, P.D.J.; Oostrom, M.; Wietsma, T.W.; Serkowski, J.A.; Zachara, J.M. Pore-Scale and Multiscale Numerical Simulation of Flow and Transport in a Laboratory-Scale Column. Water Resour. Res. 2015, 51, 1023–1035. [Google Scholar] [CrossRef]
- Soulaine, C.; Creux, P.; Tchelepi, H.A. Micro-Continuum Framework for Pore-Scale Multiphase Fluid Transport in Shale Formations. Transp. Porous Media 2019, 127, 85–112. [Google Scholar] [CrossRef]
- Steefel, C.I.; Appelo, C.A.J.; Arora, B.; Jacques, D.; Kalbacher, T.; Kolditz, O.; Lagneau, V.; Lichtner, P.C.; Mayer, K.U.; Meeussen, J.C.L.; et al. Reactive Transport Codes for Subsurface Environmental Simulation. Comput. Geosci. 2015, 19, 445–478. [Google Scholar] [CrossRef]
- Zhu, M.; Frandsen, C.; Wallace, A.F.; Legg, B.; Khalid, S.; Zhang, H.; Mørup, S.; Banfield, J.F.; Waychunas, G.A. Precipitation Pathways for Ferrihydrite Formation in Acidic Solutions. Geochim. Cosmochim. Acta 2016, 172, 247–264. [Google Scholar] [CrossRef]
- Xie, M.; Mayer, K.U.; Claret, F.; Alt-Epping, P.; Jacques, D.; Steefel, C.; Chiaberge, C.; Simunek, J. Implementation and Evaluation of Permeability-Porosity and Tortuosity-Porosity Relationships Linked to Mineral Dissolution-Precipitation. Comput. Geosci. 2015, 19, 655–671. [Google Scholar] [CrossRef]
- Noiriel, C. Resolving Time-Dependent Evolution of Pore-Scale Structure, Permeability and Reactivity Using X-Ray Microtomography. Rev. Mineral. Geochem. 2015, 80, 247–285. [Google Scholar] [CrossRef]
- Beckingham, L.E.; Steefel, C.I.; Swift, A.M.; Voltolini, M.; Yang, L.; Anovitz, L.M.; Sheets, J.M.; Cole, D.R.; Kneafsey, T.J.; Mitnick, E.H.; et al. Evaluation of Accessible Mineral Surface Areas for Improved Prediction of Mineral Reaction Rates in Porous Media. Geochim. Cosmochim. Acta 2017, 205, 31–49. [Google Scholar] [CrossRef]
- Auffan, M.; Rose, J.; Bottero, J.-Y.; Lowry, G.V.; Jolivet, J.-P.; Wiesner, M.R. Towards a Definition of Inorganic Nanoparticles from an Environmental, Health and Safety Perspective. Nat. Nanotechnol. 2009, 4, 634–641. [Google Scholar] [CrossRef]
- Hu, Y.; Lee, B.; Bell, C.; Jun, Y.-S. Environmentally Abundant Anions Influence the Nucleation, Growth, Ostwald Ripening, and Aggregation of Hydrous Fe(III) Oxides. Langmuir 2012, 28, 7737–7746. [Google Scholar] [CrossRef] [PubMed]
- Xu, Y.; Axe, L. Synthesis and Characterization of Iron Oxide-Coated Silica and Its Effect on Metal Adsorption. J. Colloid Interface Sci. 2005, 282, 11–19. [Google Scholar] [CrossRef]
- Andreani, M.; Luquot, L.; Gouze, P.; Godard, M.; Hoisé, E.; Gibert, B. Experimental Study of Carbon Sequestration Reactions Controlled by the Percolation of CO2-Rich Brine through Peridotites. Environ. Sci. Technol. 2009, 43, 1226–1231. [Google Scholar] [CrossRef] [PubMed]
- Luhmann, A.J.; Kong, X.-Z.; Tutolo, B.M.; Garapati, N.; Bagley, B.C.; Saar, M.O.; Seyfried, W.E. Experimental Dissolution of Dolomite by CO2-Charged Brine at 100 °C and 150 bar: Evolution of Porosity, Permeability, and Reactive Surface Area. Chem. Geol. 2014, 380, 145–160. [Google Scholar] [CrossRef]
- Alotaibi, M.D.; Patterson, B.M.; McKinley, A.J.; Reeder, A.Y.; Furness, A.J.; Donn, M.J. Fate of Benzotriazole and 5-Methylbenzotriazole in Recycled Water Recharged into an Anaerobic Aquifer: Column Studies. Water Res. 2015, 70, 184–195. [Google Scholar] [CrossRef]
- Wu, Z.; Wang, S.; Ji, N. Distribution Character of Localized Iron Microniche in Lake Sediment Microzone Revealed by Chemical Image. Environ. Sci. Pollut. Res. 2019, 26, 35704–35716. [Google Scholar] [CrossRef] [PubMed]
- Luef, B.; Fakra, S.C.; Csencsits, R.; Wrighton, K.C.; Williams, K.H.; Wilkins, M.J.; Downing, K.H.; Long, P.E.; Comolli, L.R.; Banfield, J.F. Iron-Reducing Bacteria Accumulate Ferric Oxyhydroxide Nanoparticle Aggregates That May Support Planktonic Growth. ISME J. 2013, 7, 338–350. [Google Scholar] [CrossRef]
- Baker, I.R.; Matzen, S.L.; Schuler, C.J.; Toner, B.M.; Girguis, P.R. Aerobic Iron-Oxidizing Bacteria Secrete Metabolites That Markedly Impede Abiotic Iron Oxidation. Proc. Natl. Acad. Sci. Nexus 2023, 2, pgad421. [Google Scholar] [CrossRef] [PubMed]
- Spiteri, C.; Slomp, C.P.; Tuncay, K.; Meile, C. Modeling Biogeochemical Processes in Subterranean Estuaries: Effect of Flow Dynamics and Redox Conditions on Submarine Groundwater Discharge of Nutrients: Biochemistry of Subterranean Estuaries. Water Resour. Res. 2008, 44, W02430. [Google Scholar] [CrossRef]
- McAllister, S.M.; Barnett, J.M.; Heiss, J.W.; Findlay, A.J.; MacDonald, D.J.; Dow, C.L.; Luther, G.W.; Michael, H.A.; Chan, C.S. Dynamic Hydrologic and Biogeochemical Processes Drive Microbially Enhanced Iron and Sulfur Cycling within the Intertidal Mixing Zone of a Beach Aquifer: Fe and S Cycling in a Beach Aquifer. Limnol. Oceanogr. 2015, 60, 329–345. [Google Scholar] [CrossRef]
- Pavuluri, S.; Maes, J.; Yang, J.; Regaieg, M.; Moncorgé, A.; Doster, F. Towards Pore Network Modelling of Spontaneous Imbibition: Contact Angle Dependent Invasion Patterns and the Occurrence of Dynamic Capillary Barriers. Comput. Geosci. 2020, 24, 951–969. [Google Scholar] [CrossRef]
- Millington, R.J.; Quirk, J.P. Permeability of Porous Solids. Trans. Faraday Soc. 1961, 57, 1200. [Google Scholar] [CrossRef]
- Johnson, D.B.; Hallberg, K.B. Acid Mine Drainage Remediation Options: A Review. Sci. Total Environ. 2005, 338, 3–14. [Google Scholar] [CrossRef]
- Zvimba, J.N.; Mathye, M.; Vadapalli, V.R.K.; Swanepoel, H.; Bologo, L. Fe(II) Oxidation during Acid Mine Drainage Neutralization in a Pilot-Scale Sequencing Batch Reactor. Water Sci. Technol. 2013, 68, 1406–1411. [Google Scholar] [CrossRef][Green Version]
- Cudennec, Y.; Lecerf, A. The Transformation of Ferrihydrite into Goethite or Hematite, Revisited. J. Solid State Chem. 2006, 179, 716–722. [Google Scholar] [CrossRef]
- Hiemstra, T.; Mendez, J.C.; Li, J. Evolution of the Reactive Surface Area of Ferrihydrite: Time, pH, and Temperature Dependency of Growth by Ostwald Ripening. Environ. Sci. Nano 2019, 6, 820–833. [Google Scholar] [CrossRef]
- Xu, T.; Sonnenthal, E.; Spycher, N.; Pruess, K. TOUGHREACT—A Simulation Program for Non-Isothermal Multiphase Reactive Geochemical Transport in Variably Saturated Geologic Media: Applications to Geothermal Injectivity and CO2 Geological Sequestration. Comput. Geosci. 2006, 32, 145–165. [Google Scholar] [CrossRef]
- Kügler, S.; Cooper, R.E.; Wegner, C.-E.; Mohr, J.F.; Wichard, T.; Küsel, K. Iron-Organic Matter Complexes Accelerate Microbial Iron Cycling in an Iron-Rich Fen. Sci. Total Environ. 2019, 646, 972–988. [Google Scholar] [CrossRef]
- Zhou, S.; Chen, S.; Yuan, Y.; Lu, Q. Influence of Humic Acid Complexation with Metal Ions on Extracellular Electron Transfer Activity. Sci. Rep. 2015, 5, 17067. [Google Scholar] [CrossRef] [PubMed]
- Sukekava, C.F.; Downes, J.; Filella, M.; Vilanova, B.; Laglera, L.M. Ligand Exchange Provides New Insight into the Role of Humic Substances in the Marine Iron Cycle. Geochim. Cosmochim. Acta 2024, 366, 17–30. [Google Scholar] [CrossRef]
- Costa, O.Y.A.; Raaijmakers, J.M.; Kuramae, E.E. Microbial Extracellular Polymeric Substances: Ecological Function and Impact on Soil Aggregation. Front. Microbiol. 2018, 9, 1636. [Google Scholar] [CrossRef] [PubMed]
- Harrison, A.L.; Dipple, G.M.; Power, I.M.; Mayer, K.U. The Impact of Evolving Mineral–Water–Gas Interfacial Areas on Mineral–Fluid Reaction Rates in Unsaturated Porous Media. Chem. Geol. 2016, 421, 65–80. [Google Scholar] [CrossRef]
- Jeen, S.-W.; Mayer, K.U.; Gillham, R.W.; Blowes, D.W. Reactive Transport Modeling of Trichloroethene Treatment with Declining Reactivity of Iron. Environ. Sci. Technol. 2007, 41, 1432–1438. [Google Scholar] [CrossRef] [PubMed]
- Ladd, A.J.C.; Szymczak, P. Reactive Flows in Porous Media: Challenges in Theoretical and Numerical Methods. Annu. Rev. Chem. Biomol. Eng. 2021, 12, 543–571. [Google Scholar] [CrossRef] [PubMed]







| Category | Description | Value |
|---|---|---|
| Soil properties (glass beads) | Dry density, ρd (kg/m3) | 1600 [a] |
| Initial porosity, Φ0 (-) | 0.35 [a] | |
| Initial permeability, k0 (m2) | 7.0 × 10−11 [a] | |
| Median particle size, d50 (mm) | 0.83 [a] | |
| Fe(II)-rich water properties | Fe(II) concentration, CFe(II) (mol/L) | 0.001 |
| Density, ρfw (kg/m3) | 1000 | |
| pH | 4.0 [a] | |
| DO-rich water properties | DO concentration, CDO (mol/L) | 2.25 × 10−4 [b] |
| Density, ρsw (kg/m3) | 1025 | |
| pH | 8.0 [a] | |
| Injection scheme and transport properties | Inflow rate, q (mL/day) | 120 |
| Vfw/Vow (-) | 1.0 | |
| Duration, t (d) | 15 | |
| Free-phase diffusion coefficient, D0 (m2/s) | 1.0 × 10−9 [c] | |
| Longitudinal dispersion coefficient, αL (m) | 1.0 × 10−5 [c] | |
| Transverse dispersion coefficient, αT (m) | 0 | |
| Reaction rates and mineral parameters | Rate constant of Fe oxidation, (L3/(mol3·s)) | 2.46 × 1014 [d] |
| Rate constant of Fe precipitation, (mol/(m2·s)) | 5.0 × 10−6 [c] | |
| Mineral density, ρs (kg/m3) | 4370 [c] | |
| Molar volume (L/mol) | 0.024 [c] | |
| Reference surface area, S0 (m2/L) | 0.001 [c] |
| Item | Case ID | Injection Scheme (mL/day) | Hydrochemistry (mmol/L) | Rm | ||
|---|---|---|---|---|---|---|
| Vfw | Vow | CFe(II),fw | CDO,sw | |||
| 1 | S1_F1 | 60 | 60 | 1 | 0.225 | 1:0.225 |
| 2 | S1_F10 | 60 | 60 | 10 | 0.225 | 1:0.023 |
| 3 | S1_F100 | 60 | 60 | 100 | 0.225 | 1:0.002 |
| 4 | S3_F1 | 60 | 180 | 1 | 0.225 | 1:0.675 |
| 5 | S3_F10 [a] | 60 | 180 | 10 | 0.225 | 1:0.068 |
| 6 | S3_F100 | 60 | 180 | 100 | 0.225 | 1:0.007 |
| 7 | S9_F1 | 60 | 540 | 1 | 0.225 | 1:2.025 |
| 8 | S9_F10 | 60 | 540 | 10 | 0.225 | 1:0.203 |
| 9 | S9_F100 | 60 | 540 | 100 | 0.225 | 1:0.020 |
Disclaimer/Publisher’s Note: The statements, opinions and data contained in all publications are solely those of the individual author(s) and contributor(s) and not of MDPI and/or the editor(s). MDPI and/or the editor(s) disclaim responsibility for any injury to people or property resulting from any ideas, methods, instructions or products referred to in the content. |
© 2025 by the authors. Licensee MDPI, Basel, Switzerland. This article is an open access article distributed under the terms and conditions of the Creative Commons Attribution (CC BY) license (https://creativecommons.org/licenses/by/4.0/).
Share and Cite
Cao, W.; Yan, G.; Hofmann, H.; Scheuermann, A. A Novel Permeability–Tortuosity–Porosity Model for Evolving Pore Space and Mineral-Induced Clogging in Porous Medium. Geotechnics 2025, 5, 2. https://doi.org/10.3390/geotechnics5010002
Cao W, Yan G, Hofmann H, Scheuermann A. A Novel Permeability–Tortuosity–Porosity Model for Evolving Pore Space and Mineral-Induced Clogging in Porous Medium. Geotechnics. 2025; 5(1):2. https://doi.org/10.3390/geotechnics5010002
Chicago/Turabian StyleCao, Wenran, Guanxi Yan, Harald Hofmann, and Alexander Scheuermann. 2025. "A Novel Permeability–Tortuosity–Porosity Model for Evolving Pore Space and Mineral-Induced Clogging in Porous Medium" Geotechnics 5, no. 1: 2. https://doi.org/10.3390/geotechnics5010002
APA StyleCao, W., Yan, G., Hofmann, H., & Scheuermann, A. (2025). A Novel Permeability–Tortuosity–Porosity Model for Evolving Pore Space and Mineral-Induced Clogging in Porous Medium. Geotechnics, 5(1), 2. https://doi.org/10.3390/geotechnics5010002

