Low Frequency Cyclic Mechanical Loading of Till Deposits from Northern Germany under Oedometric Conditions
Abstract
1. Introduction
2. Experimental Program
2.1. Tested Glacial Till Deposits
2.2. Equipment Used
2.3. Experimental Procedure
3. Results and Discussion
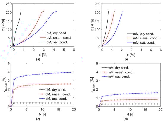
3.1. Influence of Wetting on the Cyclic Mechanical Loading Behavior of the Till Deposits
3.2. Investigation of Swelling Behavior and Cyclic Mechanical Loading of the Glacial Till Deposits
4. Conclusions
Author Contributions
Funding
Data Availability Statement
Acknowledgments
Conflicts of Interest
References
- Hambrey, M.J. Glacial Environment; University College Press: London, UK, 1994. [Google Scholar]
- Bell, F.G. The geotechnical properties of some till deposits occurring along the coastal areas of eastern England. Eng. Geol. 2002, 63, 49–68. [Google Scholar] [CrossRef]
- Hughes, D.B.; Clarke, B.G.; Money, M.S. The glacial succession in lowland northern England. Q. J. Engng. Geol. 1998, 31, 211–234. [Google Scholar] [CrossRef]
- Clarke, B.G. Engineering of Glacial Deposits; CRC Press: London, UK, 2017. [Google Scholar]
- Griffiths, J.S.; Martin, C.J. (Eds.) Engineering Geology and Geomorphology of Glaciated and Periglaciated Terrains; Engineering Group Working Party Report, Engineering Geology Special Publications no. 28; Geological Society of London: London, UK, 2017. [Google Scholar]
- Clarke, B.G. The engineering properties of glacial tills. Geotech. Res. 2018, 5, 262–277. [Google Scholar] [CrossRef]
- Punkari, M. Glacial Dynamics of the Northern European Ice Sheets. Ph.D. Thesis, Department of Geology, University of Helsinki, Helsinki, Finland, 1996. [Google Scholar]
- Forsström, L.; Punkari, M. Initiation of the last glaciation in northern Europe. Quat. Sci. Rev. 1997, 16, 1197–1215. [Google Scholar] [CrossRef]
- Punkari, M. Glacial and glaciofluvial deposits in the interlobate areas of the Scandinavian Ice Sheet. Quat. Sci. Rev. 1997, 16, 741–753. [Google Scholar] [CrossRef]
- Marks, L.; Bitinas, A.; Blaszkiewicz, M.; Borner, A.; Guobyte, R.; Rinterknecht, V.; Tylmann, K. Glacial landscapes of northern central Europe. In European Glacial Landscapes; Palacios, D., García-Ruiz, J.M., Hughes, P.D., Andrés, N., Eds.; Elsevier: Chennai, India, 2022; pp. 45–52. [Google Scholar]
- Pisarska-Jamroży, M.; Belzyt, S.; Börner, A.; Hoffmann, G.; Kenzler, M.; Rother, H.; Steffen, R.; Steffen, H. Late Pleistocene earthquakes imprinted on glaciolacustrine sediments on Gnitz Peninsula (Usedom Island, NE Germany). Quat. Sci. Rev. 2022, 296, 107807. [Google Scholar] [CrossRef]
- Lampe, R. Pleistocene and Holocene evolution of coastal NE Germany (Isle of Rügen). In From the Northern Ice Shield to the Alpine Glaciations; Sauer, D., Ed.; Deutsche Quartärvereinigung e.V.; Geozon Science Media: Greifswald, Germany, 2011; pp. 6–18. [Google Scholar]
- LLUR. Geologische Übersichtskarte von Schleswig-Holstein; Landesamt für Landwirtschaft, Umwelt und ländliche Räume (LLUR): Flintbek, Germany, 2012. [Google Scholar]
- Gripp, K. Über die Äußerste Grenze der Letzten Vereisung in Nordwest-Deutschland; Sonderabdruck aus Mitteilungen der Geographischen Gesellschaft in Hamburg Band XXXVI; De Gruyter: Berlin, Germany, 1924; pp. 159–245. [Google Scholar]
- Gripp, K. Erdgeschichte von Schleswig-Holstein; Karl Wachholtz: Neumünster, Germany, 1964. [Google Scholar]
- Uygar, E.; Doven, A.G. Monotonic and cyclic oedometer tests on sand at high stress levels. Granul. Matter 2006, 8, 19–26. [Google Scholar] [CrossRef]
- Xia, P.; Shao, L.; Deng, W.; Zeng, C. Evolution prediction of hysteresis behavior of sand under cyclic loading. Processes 2022, 10, 879. [Google Scholar] [CrossRef]
- Åhnberg, H.; Larsson, R.; Holmén, M. Degradation of clay due to cyclic loadings and deformations. In Proceedings of the 18th International Conference on Soil Mechanics and Geotechnical Engineering; Delage, P., Desrues, L., Frank, R., Puech, A., Schlosser, F., Eds.; Presses des Ponts: Paris, France, 2013; pp. 1411–1414. [Google Scholar]
- Nieto-Leal, A.; Kaliakin, V.N. Behavior of Cohesive Soils Subjected to Cyclic Loading: An Extensive Review of Pertinent Literature; Research Report; Department of Civil and Environmental Engineering, University of Delaware: Newark, DE, USA, 2013. [Google Scholar]
- Fuentes, W.; Tafili, M.; Triantafyllidis, T. An ISA-plasticity-based model for viscous and non-viscous clays. Acta Geotech. 2018, 13, 367–386. [Google Scholar] [CrossRef]
- Sun, M.; Yu, J.; Ding, Z.; He, S. Numerical model about the influence of cyclic load on the hydraulic conductivity of soft clay. KSCE J. Civ. Eng. 2021, 25, 4159–4172. [Google Scholar] [CrossRef]
- Zienkiewicz, O.C.; Chang, C.T.; Hinton, E. Non-linear seismic response and liquefaction. Int. J. Numer. Anal. Methods Geomech. 1978, 2, 381–404. [Google Scholar] [CrossRef]
- Finn, W.D.L. Dynamic response analyses of saturated sands. In Soil Mechanics–Transient and Cyclic Loads; Zienkiewicz, O.C., Ed.; Wiley: New York, NY, USA, 1982; pp. 6–18. [Google Scholar]
- Sawicki, A.; Swidzinski, W. Mechanics of a sandy subsoil subjected to cyclic loadings. Int. J. Numer. Anal. Methods Geomech. 1989, 13, 511–529. [Google Scholar] [CrossRef]
- Stephan, H.J. Exkursionsführer Heiligenhafener ‘Hohes Ufer’. Der Geschiebesammler 1985, 18, 83–99. [Google Scholar]
- Hailemariam, H.; Wuttke, F. A Laboratory study on the shear strength behavior of two till deposits from northern Germany. Energies 2021, 14, 1692. [Google Scholar] [CrossRef]
- ASTM D420–D5876; Soil and Rock (I). ASTM International: West Conshohocken, PA, USA, 2011.
- Ghaderpour, E.; Pagiatakis, S.D. LSWAVE: A MATLAB software for the least-squares wavelet and crosswavelet analyses. GPS Solut. 2019, 23, 50. [Google Scholar] [CrossRef]
- Ghaderpour, E.; Pagiatakis, S.D.; Hassan, Q.K. A survey on change detection and time series analysis with applications. Appl. Sci. 2021, 11, 6141. [Google Scholar] [CrossRef]
- Peralta, P.K. Investigations on the Behavior of Large Diameter Piles under Long-Term Lateral Cyclic Loading in Cohesionless Soil. Ph.D. Thesis, Leibnitz Universität Hannover, Hannover, Germany, 2010. [Google Scholar]
- Shajarati, A.; Sørensen, K.W.; Nielsen, S.K.; Ibsen, L.B. Behaviour of Cohesionless Soils during Cyclic Loading; DCE Technical Memorandum, No. 14; Department of Civil Engineering, Aalborg University: Aalborg, Denmark, 2012. [Google Scholar]
- Schafer, J.C.; Singer, M.J. Influence of physical and mineralogical properties on swelling of soils in Yolo County, California. Soil Sci. Soc. Am. J. 1976, 40, 557–562. [Google Scholar] [CrossRef]
- Low, P.F.; Margheim, J.F. The swelling of clay: I. Basic concepts and empirical equations. Soil Sci. Soc. Am. J. 1979, 43, 473–481. [Google Scholar] [CrossRef]
- Parker, J.C.; Amos, D.F.; Zelazny, L.W. Water adsorption and swelling of clay minerals in soil systems. Soil Sci. Soc. Am. J. 1982, 46, 450–456. [Google Scholar] [CrossRef]
- Goldscheider, M. Shakedown and incremental collapse of structures in dry sand bodies. In Dynamical Methods in Soil and Rock Mechanics. Proceedings of an International Symposium and a NATO Advanced Study Institute, Karlsruhe 1977. 1: Dynamic Response and Wave Propagation in Soils. 2: Plastic and Long-term Effects in Soils. 3: Rock Dynamics and Geophysical Aspects; Balkema: Rotterdam, The Netherlands, 1978. [Google Scholar]
















| Properties | oM | mM |
|---|---|---|
| Gravel, >2 mm (wt.%) | 2.85 | 4.72 |
| Sand, 0.063–2 mm (wt.%) | 50.98 | 57.08 |
| Silt, 0.002–0.063 mm (wt.%) | 43.20 | 37.39 |
| Clay, <0.002 mm (wt.%) | 2.97 | 0.81 |
| Porosity n (−) | 0.281 | 0.258 |
| Solids specific gravity Gs (−) | 2.650 | 2.696 |
| Bulk dry density ρd (g cm−3) | 1.905 | 2.000 |
| Field or natural gravimetric water content wn (%) | 14.68 | 9.52 |
| Lime content (%) | 6.67 | 12.56 |
| Unified soil classification system (USCS) | ML or CL (a) | SM or SC (b) |
| Condition | Prior Swelling Test | oM | mM |
|---|---|---|---|
| Dry | No | w = 0.0056 | w = 0.0051 |
| Unsaturated | No | w = 0.1142 | w = 0.0871 |
| Saturated | No | w = 0.1507 | w = 0.1295 |
| Yes | - | - |
Disclaimer/Publisher’s Note: The statements, opinions and data contained in all publications are solely those of the individual author(s) and contributor(s) and not of MDPI and/or the editor(s). MDPI and/or the editor(s) disclaim responsibility for any injury to people or property resulting from any ideas, methods, instructions or products referred to in the content. |
© 2023 by the authors. Licensee MDPI, Basel, Switzerland. This article is an open access article distributed under the terms and conditions of the Creative Commons Attribution (CC BY) license (https://creativecommons.org/licenses/by/4.0/).
Share and Cite
Hailemariam, H.; Wuttke, F. Low Frequency Cyclic Mechanical Loading of Till Deposits from Northern Germany under Oedometric Conditions. Geotechnics 2023, 3, 531-549. https://doi.org/10.3390/geotechnics3020029
Hailemariam H, Wuttke F. Low Frequency Cyclic Mechanical Loading of Till Deposits from Northern Germany under Oedometric Conditions. Geotechnics. 2023; 3(2):531-549. https://doi.org/10.3390/geotechnics3020029
Chicago/Turabian StyleHailemariam, Henok, and Frank Wuttke. 2023. "Low Frequency Cyclic Mechanical Loading of Till Deposits from Northern Germany under Oedometric Conditions" Geotechnics 3, no. 2: 531-549. https://doi.org/10.3390/geotechnics3020029
APA StyleHailemariam, H., & Wuttke, F. (2023). Low Frequency Cyclic Mechanical Loading of Till Deposits from Northern Germany under Oedometric Conditions. Geotechnics, 3(2), 531-549. https://doi.org/10.3390/geotechnics3020029
