Digital Rock Mechanical Properties by Simulation of True Triaxial Test: Impact of Microscale Factors
Abstract
1. Introduction
2. Materials and Methods
2.1. Mathematical Model
2.2. Physical Model
3. Results and Discussion
3.1. Model Validation
3.2. Sensitivity Analysis
3.2.1. Particle Size
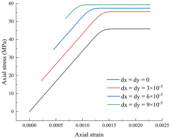
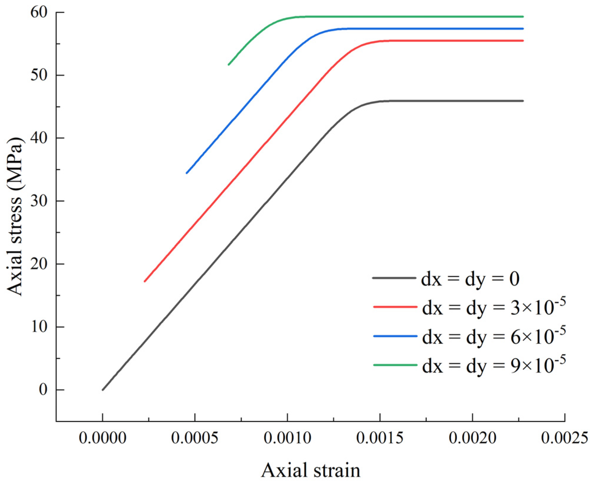
3.2.2. Fracture Morphology
3.2.3. Clay Content
4. Conclusions
- The simulation method can simulate the true triaxial experiment well and is in good agreement with the experimental results;
- The stress at the contact surface is large, which becomes the mechanical weak link prone to failure. The porosity decreases with the increase in stress and has a good linear relationship. However, when the particle model volumetric strain is between 0.0108 and 0.0157, the pore and throat parameters will change abruptly. When the particle size is small, the rock strength is higher and more sensitive;
- When the fracture angle is between 45° and 75°, the fracture has a great influence on the peak stress. The angle between the natural fracture and the fracturing direction should be less than 45° as much as possible. Sharper fracture edges are more prone to fracture propagation;
- Clay affects the rock strength by influencing the force chains formed by the rock skeleton. The peak stress is gradually decreased with the increase in the content of clay, but the influence of different types of clay is different. Fracturing is easier when the structural clay content is higher than 25%. It is easier to fracture in a direction parallel to the laminated clay when the clay content is below 27%. Conversely, the direction perpendicular to the laminated clay rocks is better.
Author Contributions
Funding
Data Availability Statement
Conflicts of Interest
References
- Jiang, Z.; Zhang, W.; Liang, C.; Wang, Y.; Liu, H.; Chen, X. Basic characteristics and evaluation of shale oil reservoirs. Pet. Res. 2016, 1, 149–163. [Google Scholar] [CrossRef]
- Tian, H.; Kempka, T.; Xu, N.; Ziegler, M. Physical properties of sandstones after high temperature treatment. Rock Mech. Rock Eng. 2012, 45, 1113–1117. [Google Scholar] [CrossRef]
- Yang, C.; Liu, J. Petroleum rock mechanics: An area worthy of focus in geo-energy research. Adv. Geo Energy Res. 2021, 5, 351–352. [Google Scholar] [CrossRef]
- Li, X.; Wei, W.; Wang, L.; Ding, P.; Zhu, L.; Cai, J. A new method for evaluating the pore structure complexity of digital rocks based on the relative value of fractal dimension. Mar. Pet. Geol. 2022, 141, 105694. [Google Scholar] [CrossRef]
- Askaripour, M.; Saeidi, A.; Mercier-Langevin, P.; Rouleau, A. A review of relationship between texture characteristic and mechanical properties of rock. Geotechnics 2022, 2, 262–296. [Google Scholar] [CrossRef]
- Morgan, S.P.; Johnson, C.A.; Einstein, H.H. Cracking processes in Barre granite: Fracture process zones and crack coalescence. Int. J. Fract. 2013, 180, 177–204. [Google Scholar] [CrossRef]
- Gonçalves da Silva, B.; Einstein, H. Physical processes involved in the laboratory hydraulic fracturing of granite: Visual observations and interpretation. Eng. Fract. Mech. 2018, 191, 125–142. [Google Scholar] [CrossRef]
- Feng, Q.; Xu, S.; Xing, X.; Zhang, W.; Wang, S. Advances and challenges in shale oil development: A critical review. Adv. Geo Energy Res. 2020, 4, 406–418. [Google Scholar] [CrossRef]
- Cai, J.; Zhao, L.; Zhang, F.; Wei, W. Advances in multiscale rock physics for unconventional reservoirs. Adv. Geo Energy Res. 2022, 6, 271–275. [Google Scholar] [CrossRef]
- Smith, T.M.; Sayers, C.M.; Sondergeld, C.H. Rock properties in low-porosity/low-permeability sandstones. Lead. Edge 2009, 28, 48–59. [Google Scholar] [CrossRef]
- Bieniawski, Z.T.; Denkhaus, H.G.; Vogler, U.W. Failure of fractured rock. Int. J. Rock Mech. Min. Sci. 1969, 6, 323–341. [Google Scholar] [CrossRef]
- Zabler, S.; Rack, A.; Manke, I.; Thermann, K.; Tiedemann, J.; Harthill, N.; Riesemeier, H. High-resolution tomography of cracks, voids and micro-structure in greywacke and limestone. J. Struct. Geol. 2008, 30, 876–887. [Google Scholar] [CrossRef]
- Yang, S.; Ju, Y.; Gao, F.; Gui, Y. Strength, deformability and x-ray micro-CT observations of deeply buried marble under different confining pressures. Rock Mech. Rock Eng. 2016, 49, 4227–4244. [Google Scholar] [CrossRef]
- Yang, Y.; Cai, S.; Yao, J.; Zhong, J.; Zhang, K.; Song, W.; Zhang, L.; Sun, H.; Vadim, L. Pore-scale simulation of remaining oil distribution in 3D porous media affected by wettability and capillarity based on volume of fluid method. Int. J. Multiph. Flow 2021, 143, 103746. [Google Scholar] [CrossRef]
- Guerriero, V. 1923–2023: One century since formulation of the effective stress principle, the consolidation theory and fluid-porous-solid interaction models. Geotechnics 2022, 2, 961–988. [Google Scholar] [CrossRef]
- Dong, S.; Wang, Y.; Xia, Y. A finite element analysis for using Brazilian disk in split Hopkinson pressure bar to investigate dynamic fracture behavior of brittle polymer materials. Polym. Test. 2006, 25, 943–952. [Google Scholar] [CrossRef]
- Tedesco, J.W.; Hughes, M.L.; Ross, C.A. Numerical simulation of high strain rate concrete compression tests. Comput. Struct. 1994, 51, 65–77. [Google Scholar] [CrossRef]
- Yang, Y.; Wang, K.; Lv, Q.; Askari, R.; Mei, Q.; Yao, J.; Hou, J.; Zhang, K.; Li, A.; Wang, C. Flow simulation considering adsorption boundary layer based on digital rock and finite element method. Pet. Sci. 2021, 18, 183–194. [Google Scholar] [CrossRef]
- Zhang, X.; Wong, L. Cracking processes in rock-like material containing a single flaw under uniaxial compression: A numerical study based on parallel bonded-particle model approach. Rock Mech. Rock Eng. 2012, 45, 711–737. [Google Scholar] [CrossRef]
- Brara, A.; Camborde, F.; Klepaczko, J.R.; Mariotti, C. Experimental and numerical study of concrete at high strain rates in tension. Mech. Mater. 2001, 33, 33–45. [Google Scholar] [CrossRef]
- Cristescu, N. Mechanical properties of rocks. In Rock Rheology. Mechanics of Elastic and Inelastic Solids; Springer: Dordrecht, The Netherlands, 1989; Volume 7, pp. 5–16. [Google Scholar]
- Torres-Suarez, M.C.; Alarcon-Guzman, A.; Berdugo-De Moya, R. Effects of loading–unloading and wetting–drying cycles on geomechanical behaviors of mudrocks in the Colombian Andes. J. Rock Mech. Geotech. Eng. 2014, 6, 257–268. [Google Scholar] [CrossRef]
- Huang, R.Q.; Huang, D. Evolution of rock cracks under unloading condition. Rock Mech. Rock Eng. 2014, 47, 453–466. [Google Scholar] [CrossRef]
- Yin, T.; Shu, R.; Li, X.; Wang, P.; Liu, X. Comparison of mechanical properties in high temperature and thermal treatment granite. Trans. Nonferrous Met. Soc. China 2016, 26, 1926–1937. [Google Scholar] [CrossRef]
- Götze, J. Chemistry, textures and physical properties of quartz—Geological interpretation and technical application. Mineral. Mag. 2009, 73, 645–671. [Google Scholar] [CrossRef]
- El Naggar, H.; Zahran, K.; Moussa, A. Effect of the particle size on the TDA shear strength and stiffness parameters in large-scale direct shear tests. Geotechnics 2021, 1, 1–17. [Google Scholar] [CrossRef]
- Li, Y. Effects of particle shape and size distribution on the shear strength behavior of composite soils. Bull. Eng. Geol. Environ. 2013, 72, 371–381. [Google Scholar] [CrossRef]
- Wu, J.; Feng, M.; Mao, X.; Xu, J.; Zhang, W.; Ni, X.; Han, G. Particle size distribution of aggregate effects on mechanical and structural properties of cemented rockfill: Experiments and modeling. Constr. Build. Mater. 2018, 193, 295–311. [Google Scholar] [CrossRef]
- Shao, S.; Wasantha, P.L.P.; Ranjith, P.G.; Chen, B.K. Effect of cooling rate on the mechanical behavior of heated Strathbogie granite with different grain sizes. Int. J. Rock Mech. Min. Sci. 2014, 70, 381–387. [Google Scholar] [CrossRef]
- Zhang, M.; Lai, Y.; Yu, W.; Huang, Z. Experimental study on influence of particle size on cooling effect of crushed-rock layer under closed and open tops. Cold Reg. Sci. Technol. 2007, 48, 232–238. [Google Scholar] [CrossRef]
- Haeri, H.; Shahriar, K.; Marji, M.F.; Moarefvand, P. Cracks coalescence mechanism and cracks propagation paths in rock-like specimens containing pre-existing random cracks under compression. J. Cent. South Univ. 2014, 21, 2404–2414. [Google Scholar] [CrossRef]
- Le, J.; Manning, J.; Labuz, J.F. Scaling of fatigue crack growth in rock. Int. J. Rock Mech. Min. Sci. 2014, 72, 71–79. [Google Scholar] [CrossRef]
- Yang, R.; Jia, A.; Hu, Q.; Guo, X.; Sun, M. Particle size effect on water vapor sorption measurement of organic shale: One example from Dongyuemiao Member of Lower Jurassic Ziliujing Formation in Jiannan Area of China. Adv. Geo Energy Res. 2020, 4, 207–218. [Google Scholar] [CrossRef]
- Yin, K.; Fauchille, A.-L.; Di Filippo, E.; Kotronis, P.; Sciarra, G. A review of sand–clay mixture and soil–structure interface direct shear test. Geotechnics 2021, 1, 260–306. [Google Scholar] [CrossRef]
- Wagner, J.F. Mechanical properties of clays and clay minerals. In Developments in Clay Science; Elsevier: Amsterdam, The Netherlands, 2013; Volume 5, pp. 347–381. [Google Scholar]
- Ren, Q.; Feng, J.; Johnston, S.; Zhao, L. The influence of argillaceous content in carbonate rocks on the 3D modeling and characterization of tectonic fracture parameters—Example from the carboniferous and ordovician formations in the Hetianhe gas field, Tarim Basin, NW China. J. Pet. Sci. Eng. 2021, 203, 108668. [Google Scholar] [CrossRef]
- Knackstedt, M.A.; Arns, C.H.; Val Pinczewski, W. Velocity–porosity relationships: Predictive velocity model for cemented sands composed of multiple mineral phases. Geophys. Prospect. 2005, 53, 349–372. [Google Scholar] [CrossRef]
- Fabre, G.; Pellet, F. Creep and time-dependent damage in argillaceous rocks. Int. J. Rock Mech. Min. Sci. 2006, 43, 950–960. [Google Scholar] [CrossRef]
- Xiang, X.; Zhu, C. Study on physical-mechanical properties of Xiamen coast silt. In Advanced Materials Research; Trans Tech Publications Ltd.: Wollerau, Switzerland, 2011; Volume 250–253, pp. 1842–1845. [Google Scholar] [CrossRef]
- Yang, Y.; Gao, F.; Lai, Y.; Cheng, H. Experimental and theoretical investigations on the mechanical behavior of frozen silt. Cold Reg. Sci. Technol. 2016, 130, 59–65. [Google Scholar] [CrossRef]
- Yun, T.S.; Santamarina, J.C.; Ruppel, C. Mechanical properties of sand, silt, and clay containing tetrahydrofuran hydrate. J. Geophys. Res. Solid Earth 2007, 112. [Google Scholar] [CrossRef]
- Mattiussi, C. The finite volume, finite element, and finite difference methods as numerical methods for physical field problems. In Advances in Imaging and Electron Physics; Elsevier: Amsterdam, The Netherlands, 2000; Volume 113, pp. 1–146. [Google Scholar]
- Hashiguchi, K. Elastic constitutive equations. In Foundations of Elastoplasticity: Subloading Surface Model; Springer International Publishing: Cham, Switzerland, 2017; pp. 153–164. [Google Scholar]
- Rougée, P. An intrinsic Lagrangian statement of constitutive laws in large strain. Comput. Struct. 2006, 84, 1125–1133. [Google Scholar] [CrossRef]
- Nayak, G.C.; Zienkiewicz, O.C. Convenient form of stress invariants for plasticity. J. Struct. Div. 1972, 98, 949–954. [Google Scholar] [CrossRef]
- Anandarajah, A. The Drucker–Prager model and its integration. In Computational Methods in Elasticity and Plasticity; Springer: New York, NY, USA, 2010; pp. 513–560. [Google Scholar]
- Tsai, S.W.; Wu, E.M. A general theory of strength for anisotropic materials. J. Compos. Mater. 1971, 5, 58–80. [Google Scholar] [CrossRef]
- Chen, W.; Mizuno, E. Nonlinear analysis in soil mechanics: Theory and implementation. In Developments in Geotechnical Engineering; Elsevier Science: Amsterdam, The Netherlands, 1990. [Google Scholar]
- Zhang, Y.; Sun, Q.; He, H.; Cao, L.; Zhang, W.; Wang, B. Pore characteristics and mechanical properties of sandstone under the influence of temperature. Appl. Therm. Eng. 2017, 113, 537–543. [Google Scholar] [CrossRef]
- Yu, J.; Chen, S.; Chen, X.; Zhang, Y.; Cai, Y. Experimental investigation on mechanical properties and permeability evolution of red sandstone after heat treatments. J. Zhejiang Univ. Sci. A 2015, 16, 749–759. [Google Scholar] [CrossRef]
- Yang, S.; Ranjith, P.G.; Huang, Y.; Yin, P.; Jing, H.; Gui, Y.; Yu, Q. Experimental investigation on mechanical damage characteristics of sandstone under triaxial cyclic loading. Geophys. J. Int. 2015, 201, 662–682. [Google Scholar] [CrossRef]
- Ju, Y.; Xi, C.; Zheng, J.; Gong, W.; Wu, J.; Wang, S.; Mao, L. Study on three-dimensional immiscible water–oil two-phase displacement and trapping in deformed pore structures subjected to varying geostress via in situ computed tomography scanning and additively printed models. Int. J. Eng. Sci. 2022, 171, 103615. [Google Scholar] [CrossRef]
- Minear, J.W. Clay models and acoustic velocities. In SPE Annual Technical Conference and Exhibition; OnePetro: New Orleans, LA, USA, 1982. [Google Scholar] [CrossRef]
- Han, D.h. Effects of Porosity and Clay Content on Acoustic Properties of Sandstones and Unconsolidated Sediments; Stanford University: Stanford, CA, USA, 1987. [Google Scholar]
















| Parameter | Numerical Value | Description |
|---|---|---|
| 10 mm | Diameter of sample | |
| 30 GPa | Young’s modulus | |
| 0.3 | Poisson’s ratio | |
| 2.5 g/cm3 | Density of sample | |
| 20 MPa | Cohesion | |
| 35° | Angle of internal friction |
| Case No. | Case 1 | Case 2 | Case 3 | Case 4 | Case 5 | Case 6 | Case 7 |
|---|---|---|---|---|---|---|---|
| Particle size (mm) | 2 | 1 | 0.5 | 0.25 | 0.125 | 0.0625 | 0.01 |
| Case | Geometric Parameters of Prefabricated Fractures | |
|---|---|---|
| Quantification | Variable | |
| Fracture angle | b = 1 | α = 0°, 15°, 30°, 45°, 60°, 75°, 90° |
| Fracture aperture | α = 60° | b = 0.01 mm, 0.1 mm, 0.5 mm, 1 mm, 2 mm |
| Parameter | Numerical Value | Description |
|---|---|---|
| 10 mm | Diameter of particle | |
| 23 GPa | Young’s modulus of clay | |
| 0.34 | Poisson’s ratio of clay | |
| 2.55 g/cm3 | Density of clay | |
| 10 MPa | Cohesion of clay | |
| 30° | Angle of internal friction of clay |
Disclaimer/Publisher’s Note: The statements, opinions and data contained in all publications are solely those of the individual author(s) and contributor(s) and not of MDPI and/or the editor(s). MDPI and/or the editor(s) disclaim responsibility for any injury to people or property resulting from any ideas, methods, instructions or products referred to in the content. |
© 2023 by the authors. Licensee MDPI, Basel, Switzerland. This article is an open access article distributed under the terms and conditions of the Creative Commons Attribution (CC BY) license (https://creativecommons.org/licenses/by/4.0/).
Share and Cite
Ma, W.; Yang, Y.; Yang, W.; Lv, C.; Yang, J.; Song, W.; Sun, H.; Zhang, L.; Zhang, K.; Yao, J. Digital Rock Mechanical Properties by Simulation of True Triaxial Test: Impact of Microscale Factors. Geotechnics 2023, 3, 3-20. https://doi.org/10.3390/geotechnics3010002
Ma W, Yang Y, Yang W, Lv C, Yang J, Song W, Sun H, Zhang L, Zhang K, Yao J. Digital Rock Mechanical Properties by Simulation of True Triaxial Test: Impact of Microscale Factors. Geotechnics. 2023; 3(1):3-20. https://doi.org/10.3390/geotechnics3010002
Chicago/Turabian StyleMa, Wenjie, Yongfei Yang, Wendong Yang, Changran Lv, Jiangshan Yang, Wenhui Song, Hai Sun, Lei Zhang, Kai Zhang, and Jun Yao. 2023. "Digital Rock Mechanical Properties by Simulation of True Triaxial Test: Impact of Microscale Factors" Geotechnics 3, no. 1: 3-20. https://doi.org/10.3390/geotechnics3010002
APA StyleMa, W., Yang, Y., Yang, W., Lv, C., Yang, J., Song, W., Sun, H., Zhang, L., Zhang, K., & Yao, J. (2023). Digital Rock Mechanical Properties by Simulation of True Triaxial Test: Impact of Microscale Factors. Geotechnics, 3(1), 3-20. https://doi.org/10.3390/geotechnics3010002

