The Utility of Sentinel-2 MSI Data to Estimate Wetland Vegetation Leaf Area Index in Natural and Rehabilitated Wetlands
Abstract
1. Introduction
2. Materials and Methods
2.1. Study Area Description
2.2. Field Data Collection
2.3. Remotely Sensed Data
2.4. Statistical Analysis
2.5. Partial Least Squares Regression Method
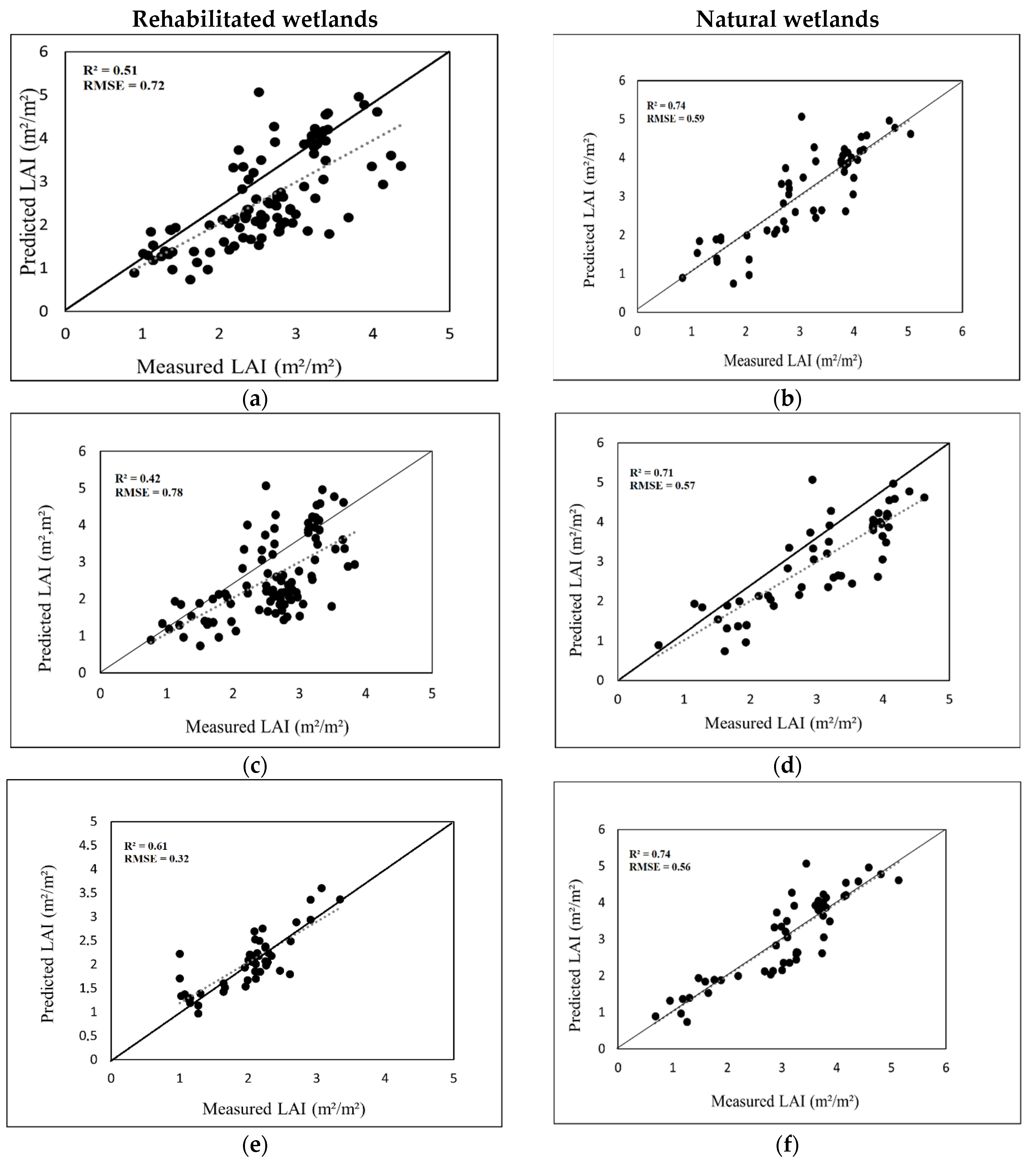
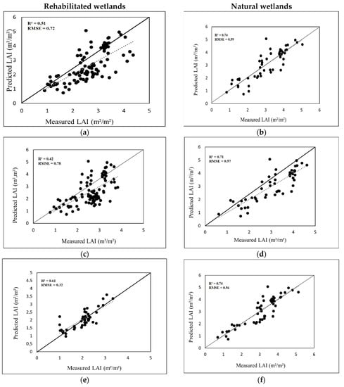
3. Results
3.1. Measured LAI Descriptive Statistics
3.2. Comparing the Influence of Standard Bands and Traditional Vegetation Indices in Estimating LAI of Wetland Vegetation between Natural and Rehabilitated Wetlands
3.3. Comparing the Influence of nDVI and sR Vegetation Indices in Estimating LAI of Wetland Vegetation between Natural and Rehabilitated Wetlands
3.4. Estimating Wetland Vegetation Leaf Area Index Using Combined Data
4. Discussion
5. Conclusions
- the new generational Sentinel-2 MSI sensor data can optimally quantify the variability of wetland vegetation LAI across natural and rehabilitated wetlands based on the red-edge bands, as most of the optimal variables with the lowest estimation errors for LAI estimation included red-edge bands and red-edge derived vegetation indices.
- The combination of standard bands, red-edge derived vegetation indices and traditional indices yielded low estimation errors for the natural wetland as compared to the rehabilitated wetland.
Author Contributions
Funding
Institutional Review Board Statement
Informed Consent Statement
Data Availability Statement
Acknowledgments
Conflicts of Interest
References
- Jiang, W.; Wang, W.; Chen, Y.; Liu, J.; Tang, H.; Hou, P.; Yang, Y. Quantifying driving forces of urban wetlands change in Beijing City. J. Geogr. Sci. 2012, 22, 301–314. [Google Scholar] [CrossRef]
- Janse, J.H.; van Dam, A.A.; Hes, E.M.; de Klein, J.J.; Finlayson, C.M.; Janssen, A.B.; Verhoeven, J.T. Towards a global model for wetlands ecosystem services. Curr. Opin. Environ. Sustain. 2019, 36, 11–19. [Google Scholar] [CrossRef]
- Trexler, J.C.; Loftus, W.F. Invertebrates of the Florida Everglades. In Invertebrates in Freshwater Wetlands, 2nd ed.; Batzer, D.P., Boix, D., Eds.; Springer International Publishing: Cham, Switzerland, 2018; pp. 321–356. [Google Scholar]
- Dini, J.; Bahadur, U. South Africa’s National Wetland Rehabilitation Programme: Working for Wetlands. In The Wetland Book; Springer: Dordrecht, The Netherlands, 2016. [Google Scholar] [CrossRef]
- Kotze, D. South Africa’s foreign policy and international relations during. SAYIL 2012, 37, 356–377. [Google Scholar]
- Akumu, C.E.; Pathirana, S.; Baban, S.; Bucher, D. Examining the potential impacts of sea level rise on coastal wetlands in north-eastern NSW, Australia. J. Coast. Conserv. 2011, 15, 15–22. [Google Scholar] [CrossRef]
- Traynor, C.; Kotze, D.; McKean, S. Wetland craft plants in KwaZulu-Natal: An ecological review of harvesting impacts and implications for sustainable utilization. Bothalia 2010, 40, 135–144. [Google Scholar] [CrossRef][Green Version]
- Pan, F.; Xie, J.; Lin, J.; Zhao, T.; Ji, Y.; Hu, Q.; Xi, X. Evaluation of climate change impacts on wetland vegetation in the Dunhuang Yangguan National Nature Reserve in Northwest China using Landsat derived NDVI. Remote Sens. 2018, 10, 735. [Google Scholar] [CrossRef]
- Hopkinson, C.S.; Cai, W.-J.; Hu, X. Carbon sequestration in wetland dominated coastal systems—A global sink of rapidly diminishing magnitude. Curr. Opin. Environ. Sustain. 2012, 4, 186–194. [Google Scholar] [CrossRef]
- Eviner, V.T.; Garbach, K.; Baty, J.H.; Hoskinson, S.A. Measuring the effects of invasive plants on ecosystem services: Challenges and prospects. Invasive Plant Sci. Manag. 2012, 5, 125–136. [Google Scholar] [CrossRef]
- Wortley, L.; Hero, J.M.; Howes, M. Evaluating ecological restoration success: A review of the literature. Restor. Ecol. 2013, 21, 537–543. [Google Scholar] [CrossRef]
- Ebbets, A.L.; Lane, D.R.; Dixon, P.; Hollweg, T.A.; Huisenga, M.T.; Gurevitch, J. Using Meta-Analysis to Develop Evidence-Based Recovery Trajectories of Vegetation and Soils in Restored Wetlands in the Northern Gulf of Mexico. Estuaries Coasts 2020, 43, 1692–1710. [Google Scholar] [CrossRef]
- Eckert, S.; Engesser, M. Assessing vegetation cover and biomass in restored erosion areas in Iceland using SPOT satellite data. Appl. Geogr. 2013, 40, 179–190. [Google Scholar] [CrossRef]
- Stefanik, K.C. Structure and Function of Vascular Plant Communities in Created and Restored Wetlands in Ohio; The Ohio State University: Columbus, OH, USA, 2012. [Google Scholar]
- Adam, E.; Mutanga, O.; Rugege, D. Multispectral and hyperspectral remote sensing for identification and mapping of wetland vegetation: A review. Wetl. Ecol. Manag. 2010, 18, 281–296. [Google Scholar] [CrossRef]
- Mutanga, O.; Adam, E.; Cho, M.A. High density biomass estimation for wetland vegetation using WorldView-2 imagery and random forest regression algorithm. Int. J. Appl. Earth Obs. Geoinf. 2012, 18, 399–406. [Google Scholar] [CrossRef]
- Kamal, M.; Phinn, S.; Johansen, K. Assessment of multi-resolution image data for mangrove leaf area index mapping. Remote Sens. Environ. 2016, 176, 242–254. [Google Scholar] [CrossRef]
- Medeiros, T.C.C.; Sampaio, E.V.; Nascimento, D.M. Leaf area index and vegetation cover of the Paripe river mangrove, Pernambuco, Brazil, in 1997 and 2017. J. Integr. Coast. Zone Manag. 2018, 18, 41–48. [Google Scholar] [CrossRef]
- Silva, T.S.; Costa, M.P.; Melack, J.M.; Novo, E.M. Remote sensing of aquatic vegetation: Theory and applications. Environ. Monit. Assess 2008, 140, 131–145. [Google Scholar] [CrossRef] [PubMed]
- Corbane, C.; Lang, S.; Pipkins, K.; Alleaume, S.; Deshayes, M.; Millán, V.E.G.; Michael, F. Remote sensing for mapping natural habitats and their conservation status—New opportunities and challenges. Int. J. Appl. Earth Obs. Geoinf. 2015, 37, 7–16. [Google Scholar] [CrossRef]
- Shoko, C.; Mutanga, O. Examining the strength of the newly-launched Sentinel 2 MSI in detecting and discriminating subtle differences between C3 and C4 grass species. ISPRS J. Photogramm. Remote Sens. 2017, 129, 32–40. [Google Scholar] [CrossRef]
- Clevers, J.G.; Gitelson, A.A. Remote estimation of crop and grass chlorophyll and nitrogen content using red-edge bands on Sentinel-2 and-3. Int. J. Appl. Earth Obs. Geoinf. 2013, 23, 344–351. [Google Scholar] [CrossRef]
- Delegido, J.; Verrelst, J.; Alonso, L.; Moreno, J. Evaluation of sentinel-2 red-edge bands for empirical estimation of green LAI and chlorophyll content. Sensors 2011, 11, 7063–7081. [Google Scholar] [CrossRef]
- Mutanga, O.; Skidmore, A.K. Narrow band vegetation indices overcome the saturation problem in biomass estimation. Int. J. Remote Sens. 2004, 25, 3999–4014. [Google Scholar] [CrossRef]
- Sibanda, M.; Mutanga, O.; Dube, T.S.; Vundla, T.L.; Mafongoya, P. Estimating LAI and mapping canopy storage capacity for hydrological applications in wattle infested ecosystems using Sentinel-2 MSI derived red edge bands. GISci. Remote Sens. 2019, 56, 68–86. [Google Scholar] [CrossRef]
- Turner, K.R.; Van der Bergh, C.J.M.; Soderqvist Barendregt, A.; van der Straaten, J.; Malty, E.; van Ierland, E.C. Ecological-economic analysis of wetlands: Scientific integration for management and policy. Ecol. Econ. 2000, 35, 7–23. [Google Scholar] [CrossRef]
- Verrelst, J.; Muñoz, J.; Alonso, L.; Delegido, J.; Rivera, J.P.; Camps-Valls, G.; Moreno, J. Machine learning regression algorithms for biophysical parameter retrieval: Opportunities for Sentinel-2 and-3. Remote Sens. Environ. 2012, 118, 127–139. [Google Scholar] [CrossRef]
- Wold, S.; Sjostrom, M.; Eriksson, L. PLS-regression: A basic tool of chemometrics. Chemom. Intell. Lab. Syst. 2001, 58, 109–130. [Google Scholar] [CrossRef]
- Abdi, H. Partial least square regression (PLS regression). Encycl. Res. Methods Soc. Sci. 2003, 6, 792–795. [Google Scholar]
- Eriksson, L.; Johansson, E.; Kettaneh-Wold, N.; Wold, S. Multivariate and Megavariate Data Analysis—Principles and Applications; Umetrics AB: Umeå, Sweden, 2001. [Google Scholar]
- Richter, K.; Hank, T.B.; Vuolo, F.; Mauser, W.; D’Urso, G. Optimal exploitation of the Sentinel-2 spectral capabilities for crop leaf area index mapping. Remote Sens. 2012, 4, 561–582. [Google Scholar] [CrossRef]
- Varma, S.; Simon, R. Bias in error estimation when using cross-validation for model selection. BMC Bioinform. 2006, 7, 91. [Google Scholar] [CrossRef]
- Wehrens, R.; Mevik, B.H. The Pls Package: Principal Component and Partial Least Squares Regression in R. J. Stat. Softw. 2007, 18, 1–23. [Google Scholar]
- Xie, Q.; Dash, J.; Huang, W.; Peng, D.; Qin, Q.; Mortimer, H.; Casa, R.; PignattiI, S.; Laneve, G.; Pascucci, S. Vegetation indices combining the red and red-edge spectral information for leaf area index retrieval. IEEE J. Sel. Top. Appl. Earth Obs. Remote Sens. 2018, 11, 1482–1493. [Google Scholar] [CrossRef]
- Dong, T.; Liu, J.; Shang, J.; Qian, B.; Kovacs, J.M.; Walters, D.; Jiao, X.; Geng, X.; Shi, Y. Assessment of red-edge vegetation indices for crop leaf area index estimation. Remote Sens. Environ. 2019, 222, 133–143. [Google Scholar] [CrossRef]
- Du, H.; Jiang, H.; Zhang, L.; Mao, D.; Wang, Z. Evaluation of spectral scale effects in estimation of vegetation leaf area index using spectral indices methods. Chin. Geogr. Sci. 2016, 26, 731–744. [Google Scholar] [CrossRef]
- Taddeo, S.; Dronova, I.; Depsky, N. Spectral vegetation indices of wetland greenness: Responses to vegetation structure; composition and spatial distribution. Remote Sens. Environ. 2019, 234, 111–467. [Google Scholar] [CrossRef]
- Maguigan, M.; Rodgers, J.; Dash, P.; Meng, Q. Assessing net primary production in Montane wetlands from proximal; airborne; and satellite remote sensing. ARS 2016, 5, 118–130. [Google Scholar] [CrossRef]







| Analysis Stage | Variable Type | Variable | Formula |
|---|---|---|---|
| 1 | All Sentinel 2 MSI bands | Blues green red NIR and red-edge | |
| 2 | Conventional VIs | SR | NIR/Red |
| SR.re | NIR/Red-edge | ||
| NDVI | (NIR−Red)/(NIR + Red) | ||
| NDWI | (Green−NIR)/(Green -NIR) | ||
| GNDVI | (NIR)/(Blue + NIR) | ||
| Chlgreen | (NIR−Green)/(Green + Red) | ||
| TDVI | √(NIR−Red)/(NIR + Red) | ||
| 3 | Modified VIs | sR | B1/B2 * |
| nDVI | (B1−B2)/(B1 + B2) * | ||
| 4 | Combined spectral variables | Bands & VIs | |
| 5 | Pooled data | Combined wetlands & VIs |
| Samples | Minimum | Maximum | Mean | Std. Dev | |
|---|---|---|---|---|---|
| Natural Wetland LAI | 46 | 0.97 | 3.61 | 2.051 | 0.602 |
| Rehabilitated Wetland LAI | 52 | 0.75 | 5.07 | 3.042 | 1.176 |
Publisher’s Note: MDPI stays neutral with regard to jurisdictional claims in published maps and institutional affiliations. |
© 2021 by the authors. Licensee MDPI, Basel, Switzerland. This article is an open access article distributed under the terms and conditions of the Creative Commons Attribution (CC BY) license (https://creativecommons.org/licenses/by/4.0/).
Share and Cite
Tshabalala, N.N.; Mutanga, O.; Sibanda, M. The Utility of Sentinel-2 MSI Data to Estimate Wetland Vegetation Leaf Area Index in Natural and Rehabilitated Wetlands. Geographies 2021, 1, 178-191. https://doi.org/10.3390/geographies1030011
Tshabalala NN, Mutanga O, Sibanda M. The Utility of Sentinel-2 MSI Data to Estimate Wetland Vegetation Leaf Area Index in Natural and Rehabilitated Wetlands. Geographies. 2021; 1(3):178-191. https://doi.org/10.3390/geographies1030011
Chicago/Turabian StyleTshabalala, Nonjabulo Neliswa, Onisimo Mutanga, and Mbulisi Sibanda. 2021. "The Utility of Sentinel-2 MSI Data to Estimate Wetland Vegetation Leaf Area Index in Natural and Rehabilitated Wetlands" Geographies 1, no. 3: 178-191. https://doi.org/10.3390/geographies1030011
APA StyleTshabalala, N. N., Mutanga, O., & Sibanda, M. (2021). The Utility of Sentinel-2 MSI Data to Estimate Wetland Vegetation Leaf Area Index in Natural and Rehabilitated Wetlands. Geographies, 1(3), 178-191. https://doi.org/10.3390/geographies1030011

