Development of a Support System for Physicians and Patients during Rehabilitation
Abstract
1. Introduction
2. Background
- The Six-Minute Walking Test (6MWT), shown in Figure 1a, in which the patient is asked to walk back and forth on a flat surface (usually 30 m long) for six minutes. The patient is instructed to cover the greatest possible distance within the time limit, turning around at the end of the walkway and stopping to rest as needed before resuming the walk [9]. The test result is the walked distance in meters.
- The Sit-to-Stand Test (30STS), shown in Figure 1c, in which the patient is asked to stand up from a chair and sit back down for as many repetitions as possible, measuring the completed repetitions in a given time (or the time the patient took to complete a given amount of repetitions) [10]. The test result is the amount of time or the number of repetitions.
3. Materials and Methods
3.1. Hardware and Infrastructure
- Main application programming interface (API)—Two modules, based on the Representational State Transfer (RESTful) principles, handle all HTTPS requests and interact with the rest of the system accordingly. The API is built using Express.js [63]. Express.js is a Node.js library that provides a minimalistic framework for API creation. Its popularity made it a standard for Node.js backends, and it is part of several stacks like MEAN (MongoDB, Express, Angular, Node).
- Database interaction—Each main module that interacts with a database does so through one of these modules, created as an abstraction layer between logic and data. They connect to the database, perform queries, and return the results.
- Authentication—This module is an abstraction layer between the server logic and Firebase Auth [64], the third-party authentication service we used. It uses the Node.js library provided by Firebase to verify tokens sent to the server in HTTPS requests.
- Hosting—This module is the web application used to manage patients and view results in a clinical setting. It provides a simple API to receive HTTPS requests and return the web application as a response.
3.2. Algorithms
3.2.1. Six-Minute Walking Test
3.2.2. Ten-Meter Walking Test
- The smallest distance between the current hue and the target one is below the hue threshold.
- The distance between the current saturation and the target one is below a saturation/value threshold.
- The distance between the current and target values is below a saturation/value threshold.
- When the patient starts the test at the 0 m mark, the target color is not in the camera’s field of view.
- When the first FTC is recorded at the 2 m mark, there are no previous FTCs. If the test ended at this point, an error would be returned, because at least two FTCs are needed.
- When the following FTCs are recorded, they are all at a frame duration distance in time from each other. If the longest time between two consecutive FTCs is equal to a frame duration, an error is returned because, most likely, only one of the implements was detected during the test.
- When the patient is walking between the two implements, no FTCs should be recorded, and this is what increases the time between consecutive FTCs.
- When an FTC is re-recorded at the 8 m mark, it means the patient has reached the second implement. The returned result is the timestamp difference between this FTC and the previous one.
- After the 8 m mark, no more FTC should be recorded.
3.2.3. Sit-to-Stand Test
3.3. Study
3.3.1. Participants
- Older people (over 60 years old), according to the definition by World Health Organization [66].
- Recent hip or knee replacement surgery within the past two weeks.
- Ability to walk without operator assistance.
- Ability to stand up from a chair without operator assistance.
- Ability to read and understand the Italian language.
- Read and signed the informed consent.
- Dementia or cognitive impairment assessed with a Mini-Mental State Examination score < 24 [67].
- Pain at rest assessed with Numerical Rating Scale scoring below 4 points.
- History of metabolic, cardiovascular, pulmonary, neurological or other pathological comorbidities affecting physical performance.
- Anemia.
- Premorbid bed-bound.
3.3.2. Protocol
4. Results
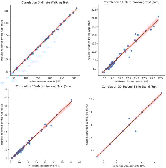
4.1. Data Validation and Reliability
4.2. Additional Data Analysis: Exploring Correlations between Patient Data and App Data
5. Discussion
6. Conclusions
Author Contributions
Funding
Institutional Review Board Statement
Data Availability Statement
Conflicts of Interest
References
- Beard, J.R.; Officer, A.; De Carvalho, I.A.; Sadana, R.; Pot, A.M.; Michel, J.P.; Lloyd-Sherlock, P.; Epping-Jordan, J.E.; Peeters, G.G.; Mahanani, W.R.; et al. The World report on ageing and health: A policy framework for healthy ageing. Lancet 2016, 387, 2145–2154. [Google Scholar] [CrossRef] [PubMed]
- Lutz, W.; Sanderson, W.; Scherbov, S. The coming acceleration of global population ageing. Nature 2008, 451, 716–719. [Google Scholar] [CrossRef] [PubMed]
- Kennedy, B.K.; Berger, S.L.; Brunet, A.; Campisi, J.; Cuervo, A.M.; Epel, E.S.; Franceschi, C.; Lithgow, G.J.; Morimoto, R.I.; Pessin, J.E.; et al. Geroscience: Linking aging to chronic disease. Cell 2014, 159, 709–713. [Google Scholar] [CrossRef] [PubMed]
- Lippi, L.; de Sire, A.; Mezian, K.; Curci, C.; Perrero, L.; Turco, A.; Andaloro, S.; Ammendolia, A.; Fusco, N.; Invernizzi, M. Impact of exercise training on muscle mitochondria modifications in older adults: A systematic review of randomized controlled trials. Aging Clin. Exp. Res. 2022, 34, 1495–1510. [Google Scholar] [CrossRef]
- Lippi, L.; Uberti, F.; Folli, A.; Turco, A.; Curci, C.; d’Abrosca, F.; de Sire, A.; Invernizzi, M. Impact of nutraceuticals and dietary supplements on mitochondria modifications in healthy aging: A systematic review of randomized controlled trials. Aging Clin. Exp. Res. 2022, 34, 2659–2674. [Google Scholar] [CrossRef]
- Moggio, L.; de Sire, A.; Marotta, N.; Demeco, A.; Ammendolia, A. Exoskeleton versus end-effector robot-assisted therapy for finger-hand motor recovery in stroke survivors: Systematic review and meta-analysis. Top. Stroke Rehabil. 2022, 29, 539–550. [Google Scholar] [CrossRef]
- Noonan, V.; Dean, E. Submaximal exercise testing: Clinical application and interpretation. Phys. Ther. 2000, 80, 782–807. [Google Scholar] [CrossRef]
- Moore, J.L.; Potter, K.; Blankshain, K.; Kaplan, S.L.; O’Dwyer, L.C.; Sullivan, J.E. A core set of outcome measures for adults with neurologic conditions undergoing rehabilitation: A clinical practice guideline. J. Neurol. Phys. Ther. 2018, 42, 174. [Google Scholar] [CrossRef]
- Society, A.T. ATS Statement: Guideline for the six-minute walk test. ATS Committe on Proficiency Standards for Clinical Pulmonary function Laboratories. J. Respir. Crit. Care Med. 2002, 166. [Google Scholar]
- Jones, C.J.; Rikli, R.E.; Beam, W.C. A 30-s Chair-Stand Test as a Measure of Lower Body Strength in Community-Residing Older Adults. Res. Q. Exerc. Sport 1999, 70, 113–119. [Google Scholar] [CrossRef] [PubMed]
- Nilsagård, Y.; Andreasson, M.; Carling, A.; Vesterlin, H. Examining the validity and sensitivity to change of the 5 and 10 sit-to-stand tests in people with multiple sclerosis. Physiother. Res. Int. J. Res. Clin. Phys. Ther. 2017, 22, e1681. [Google Scholar] [CrossRef] [PubMed]
- Møller, A.B.; Bibby, B.M.; Skjerbæk, A.G.; Jensen, E.; Sørensen, H.; Stenager, E.; Dalgas, U. Validity and variability of the 5-repetition sit-to-stand test in patients with multiple sclerosis. Disabil. Rehabil. 2012, 34, 2251–2258. [Google Scholar] [CrossRef] [PubMed]
- Csuka, M.; McCarty, D.J. Simple method for measurement of lower extremity muscle strength. Am. J. Med. 1985, 78, 77–81. [Google Scholar] [CrossRef]
- Maud, P.J.; Shultz, B.B. Norms for the Wingate anaerobic test with comparison to another similar test. Res. Q. Exerc. Sport 1989, 60, 144–151. [Google Scholar] [CrossRef] [PubMed]
- Powell, D.J.; Liossi, C.; Schlotz, W.; Moss-Morris, R. Tracking daily fatigue fluctuations in multiple sclerosis: Ecological momentary assessment provides unique insights. J. Behav. Med. 2017, 40, 772–783. [Google Scholar] [CrossRef] [PubMed]
- Kasser, S.L.; Goldstein, A.; Wood, P.K.; Sibold, J. Symptom variability, affect and physical activity in ambulatory persons with multiple sclerosis: Understanding patterns and time-bound relationships. Disabil. Health J. 2017, 10, 207–213. [Google Scholar] [CrossRef] [PubMed]
- Takayanagi, N.; Sudo, M.; Yamashiro, Y.; Lee, S.; Kobayashi, Y.; Niki, Y.; Shimada, H. Relationship between daily and in-laboratory gait speed among healthy community-dwelling older adults. Sci. Rep. 2019, 9, 3496. [Google Scholar] [CrossRef]
- Hillel, I.; Gazit, E.; Nieuwboer, A.; Avanzino, L.; Rochester, L.; Cereatti, A.; Croce, U.D.; Rikkert, M.O.; Bloem, B.R.; Pelosin, E.; et al. Is every-day walking in older adults more analogous to dual-task walking or to usual walking? Elucidating the gaps between gait performance in the lab and during 24/7 monitoring. Eur. Rev. Aging Phys. Act. 2019, 16, 1–12. [Google Scholar] [CrossRef]
- Giannouli, E.; Fillekes, M.P.; Mellone, S.; Weibel, R.; Bock, O.; Zijlstra, W. Predictors of real-life mobility in community-dwelling older adults: An exploration based on a comprehensive framework for analyzing mobility. Eur. Rev. Aging Phys. Act. 2019, 16, 1–13. [Google Scholar] [CrossRef]
- Prince, S.; Adamo, K.; Hamel, M.; Hardt, J.; Gorber, S.; Tremblay, M. A Comparison of direct versus self-report measures for assessing physical activity in adults: A systematic review. Int. J. Behav. Nutr. Phys. Act. 2008, 5, 56. [Google Scholar] [CrossRef]
- Harris, T.; Owen, C.; Victor, C.; Adams, R.; Ekelund, U.; Cook, D. A Comparison of Questionnaire, Accelerometer, and Pedometer. Med. Sci. Sport. Exerc. 2009, 41, 1392–1402. [Google Scholar] [CrossRef] [PubMed]
- Bobholz, J.; Rao, S. Cognitive dysfunction in multiple sclerosis: A review of recent developments. Curr. Opin. Neurol. 2003, 16, 283–288. [Google Scholar] [CrossRef] [PubMed]
- Macko, R.F.; Haeuber, E.; Shaughnessy, M.; Coleman, K.L.; Boone, D.A.; Smith, G.V.; Silver, K.H. Microprocessor-based ambulatory activity monitoring in stroke patients. Med. Sci. Sport. Exerc. 2002, 34, 394–399. [Google Scholar] [CrossRef] [PubMed]
- Coughlin, S.S. Recall bias in epidemiologic studies. J. Clin. Epidemiol. 1990, 43, 87–91. [Google Scholar] [CrossRef] [PubMed]
- de Sire, A.; Marotta, N.; Agostini, F.; Drago Ferrante, V.; Demeco, A.; Ferrillo, M.; Inzitari, M.T.; Pellegrino, R.; Russo, I.; Ozyemisci Taskiran, O.; et al. A telerehabilitation approach to chronic facial paralysis in the COVID-19 pandemic scenario: What role for electromyography assessment? J. Pers. Med. 2022, 12, 497. [Google Scholar] [CrossRef]
- Turolla, A.; Rossettini, G.; Viceconti, A.; Palese, A.; Geri, T. Musculoskeletal physical therapy during the COVID-19 pandemic: Is telerehabilitation the answer? Phys. Ther. 2020, 100, 1260–1264. [Google Scholar] [CrossRef]
- Scherrenberg, M.; Wilhelm, M.; Hansen, D.; Völler, H.; Cornelissen, V.; Frederix, I.; Kemps, H.; Dendale, P. The future is now: A call for action for cardiac telerehabilitation in the COVID-19 pandemic from the secondary prevention and rehabilitation section of the European Association of Preventive Cardiology. Eur. J. Prev. Cardiol. 2021, 28, 524–540. [Google Scholar] [CrossRef]
- Lippi, L.; Turco, A.; Folli, A.; D’Abrosca, F.; Curci, C.; Mezian, K.; de Sire, A.; Invernizzi, M. Technological advances and digital solutions to improve quality of life in older adults with chronic obstructive pulmonary disease: A systematic review. Aging Clin. Exp. Res. 2023, 35, 953–968. [Google Scholar] [CrossRef]
- Moore, S.; Jayewardene, D. The use of smartphones in clinical practice. Nurs. Manag. 2014, 21, 18–22. [Google Scholar] [CrossRef]
- Marotta, N.; Calafiore, D.; Curci, C.; Lippi, L.; Ammendolia, V.; Ferraro, F.; Invernizzi, M.; de Sire, A. Integrating virtual reality and exergaming in cognitive rehabilitation of patients with Parkinson disease: A systematic review of randomized controlled trials. Eur. J. Phys. Rehabil. Med. 2022, 58, 818. [Google Scholar] [CrossRef]
- Iovanel, G.; Ayers, D.; Zheng, H. The Role of Wearable Technology in Measuring and Supporting Patient Outcomes Following Total Joint Replacement: Review of the Literature. JMIR Perioper. Med. 2023, 6, e39396. [Google Scholar] [CrossRef]
- Van Lummel, R.C.; Walgaard, S.; Maier, A.B.; Ainsworth, E.; Beek, P.J.; van Dieën, J.H. The instrumented sit-to-stand test (iSTS) has greater clinical relevance than the manually recorded sit-to-stand test in older adults. PLoS ONE 2016, 11, e0157968. [Google Scholar] [CrossRef]
- Reissman, M.E.; Gordon, K.E.; Dhaher, Y.Y. Manipulating post-stroke gait: Exploiting aberrant kinematics. J. Biomech. 2018, 67, 129–136. [Google Scholar] [CrossRef] [PubMed]
- Tulipani, L.J.; Meyer, B.; Allen, D.; Solomon, A.J.; McGinnis, R.S. Evaluation of unsupervised 30-second chair stand test performance assessed by wearable sensors to predict fall status in multiple sclerosis. Gait Posture 2022, 94, 19–25. [Google Scholar] [CrossRef]
- Bäcker, H.C.; Wu, C.H.; Pförringer, D.; Petersen, W.; Stöckle, U.; Braun, K.F. A review of functional outcomes after the app-based rehabilitation of patients with TKA and THA. J. Pers. Med. 2022, 12, 1342. [Google Scholar] [CrossRef] [PubMed]
- Ozdalga, E.; Ozdalga, A.; Ahuja, N. The smartphone in medicine: A review of current and potential use among physicians and students. J. Med Internet Res. 2012, 14, e1994. [Google Scholar] [CrossRef]
- Ponciano, V.; Pires, I.M.; Ribeiro, F.R.; Spinsante, S. Sensors are capable to help in the measurement of the results of the timed-up and go test? a systematic review. J. Med Syst. 2020, 44, 1–16. [Google Scholar] [CrossRef] [PubMed]
- Pires, I.M.; Denysyuk, H.V.; Villasana, M.V.; Sá, J.; Marques, D.L.; Morgado, J.F.; Albuquerque, C.; Zdravevski, E. Development technologies for the monitoring of six-minute walk test: A systematic review. Sensors 2022, 22, 581. [Google Scholar] [CrossRef]
- Sabour, S.; Ghassemi, F. Validity of Submaximal Step Tests to Estimate Maximal Oxygen Uptake in Healthy Adults. Sport. Med. 2016, 46, 1381–1392. [Google Scholar] [CrossRef]
- Shirley Ryan AbilityLab. 10 Meter Walk Test. 2014. Available online: https://www.sralab.org/rehabilitation-measures/10-meter-walk-test (accessed on 28 August 2024).
- Smith-Turchyn, J.; Adams, S.C.; Sabiston, C.M. Testing of a self-administered 6-minute walk test using technology: Usability, reliability and validity study. JMIR Rehabil. Assist. Technol. 2021, 8, e22818. [Google Scholar] [CrossRef]
- Jesus, M.O.d.; Ostolin, T.L.V.D.P.; Proença, N.L.; Silva, R.P.d.; Dourado, V.Z. Self-administered six-minute walk test using a free smartphone app in asymptomatic adults: Reliability and reproducibility. Int. J. Environ. Res. Public Health 2022, 19, 1118. [Google Scholar] [CrossRef] [PubMed]
- Cheng, Q.; Juen, J.; Li, Y.; Prieto-Centurion, V.; Krishnan, J.A.; Schatz, B.R. GaitTrack: Health monitoring of body motion from spatio-temporal parameters of simple smart phones. In Proceedings of the International Conference on Bioinformatics, Computational Biology and Biomedical Informatics, Honolulu, HI, USA, 4–6 March 2013; pp. 897–906. [Google Scholar]
- Juen, J.; Cheng, Q.; Prieto-Centurion, V.; Krishnan, J.A.; Schatz, B. Health monitors for chronic disease by gait analysis with mobile phones. Telemed. E-Health 2014, 20, 1035–1041. [Google Scholar] [CrossRef]
- Brooks, G.C.; Vittinghoff, E.; Iyer, S.; Tandon, D.; Kuhar, P.; Madsen, K.A.; Marcus, G.M.; Pletcher, M.J.; Olgin, J.E. Accuracy and usability of a self-administered 6-minute walk test smartphone application. Circ. Heart Fail. 2015, 8, 905–913. [Google Scholar] [CrossRef] [PubMed]
- Borg, G. Borg’s Perceived Exertion and Pain Scales; Human Kinetics: Champaign, IL, USA, 1998. [Google Scholar]
- Borg, G.A. Psychophysical bases of perceived exertion. Med. Sci. Sport. Exerc. 1982, 14, 377–381. [Google Scholar] [CrossRef]
- Scherrenberg, M.; Bonneux, C.; Yousif Mahmood, D.; Hansen, D.; Dendale, P.; Coninx, K. A Mobile application to perform the six-minute walk test (6MWT) at home: A random walk in the park is as accurate as a standardized 6MWT. Sensors 2022, 22, 4277. [Google Scholar] [CrossRef] [PubMed]
- Capela, N.A.; Lemaire, E.D.; Baddour, N. Novel algorithm for a smartphone-based 6-minute walk test application: Algorithm, application development, and evaluation. J. Neuroeng. Rehabil. 2015, 12, 1–13. [Google Scholar] [CrossRef] [PubMed]
- Salvi, D.; Poffley, E.; Orchard, E.; Tarassenko, L. The mobile-based 6-minute walk test: Usability study and algorithm development and validation. JMIR MHealth UHealth 2020, 8, e13756. [Google Scholar] [CrossRef]
- Salbach, N.M.; O’Brien, K.K.; Brooks, D.; Irvin, E.; Martino, R.; Takhar, P.; Chan, S.; Howe, J.A. Reference values for standardized tests of walking speed and distance: A systematic review. Gait Posture 2015, 41, 341–360. [Google Scholar] [CrossRef]
- Clavijo-Buendia, S.; Molina-Rueda, F.; Martin-Casas, P.; Ortega-Bastidas, P.; Monge-Pereira, E.; Laguarta-Val, S.; Morales-Cabezas, M.; Cano-de-la Cuerda, R. Construct validity and test-retest reliability of a free mobile application for spatio-temporal gait analysis in Parkinson’s disease patients. Gait Posture 2020, 79, 86–91. [Google Scholar] [CrossRef]
- Saito, Y.; Nakamura, S.; Tanaka, A.; Watanabe, R.; Narimatsu, H.; Chung, U.i. Evaluation of the validity and reliability of the 10-meter walk test using a smartphone application among Japanese older adults. Front. Sport. Act. Living 2022, 4, 904924. [Google Scholar] [CrossRef]
- Marques, D.L.; Neiva, H.P.; Pires, I.M.; Zdravevski, E.; Mihajlov, M.; Garcia, N.M.; Ruiz-Cárdenas, J.D.; Marinho, D.A.; Marques, M.C. An experimental study on the validity and reliability of a smartphone application to acquire temporal variables during the single sit-to-stand test with older adults. Sensors 2021, 21, 2050. [Google Scholar] [CrossRef]
- Marques, D.L.; Neiva, H.P.; Pires, I.M.; Marinho, D.A.; Marques, M.C. Accelerometer data from the performance of sit-to-stand test by elderly people. Data Brief 2020, 33, 106328. [Google Scholar] [CrossRef]
- Cerrito, A.; Bichsel, L.; Radlinger, L.; Schmid, S. Reliability and validity of a smartphone-based application for the quantification of the sit-to-stand movement in healthy seniors. Gait Posture 2015, 41, 409–413. [Google Scholar] [CrossRef] [PubMed]
- Teixeira, E.; Bohn, L.; Guimarães, J.P.; Marques-Aleixo, I. Portable digital monitoring system for sarcopenia screening and diagnosis. Geriatrics 2022, 7, 121. [Google Scholar] [CrossRef] [PubMed]
- Montemurro, A.; Ruiz-Cárdenas, J.D.; Martínez-García, M.d.M.; Rodríguez-Juan, J.J. Validity of an iPhone App to Detect Prefrailty and Sarcopenia Syndromes in Community-Dwelling Older Adults: The Protocol for a Diagnostic Accuracy Study. Sensors 2022, 22, 6010. [Google Scholar] [CrossRef] [PubMed]
- Jovanov, E.; Wright, S.; Ganegoda, H. Development of an Automated 30 Seconds Chair Stand Test Using Smartwatch Application. In Proceedings of the 2019 41st Annual International Conference of the IEEE Engineering in Medicine and Biology Society (EMBC), Berlin, Germany, 23–27 July 2019; pp. 2474–2477. [Google Scholar]
- Bluetooth® Technology Website. GATT. 2023. Available online: https://www.bluetooth.com/specifications/specs/gatt-specification-supplement/ (accessed on 28 August 2024).
- Satheesh, M.; D’mello, B.J.; Krol, J. Web Development with MongoDB and NodeJs; Packt Publishing Ltd.: Birmingham, UK, 2015. [Google Scholar]
- Keahey, K.; Anderson, J.; Zhen, Z.; Riteau, P.; Ruth, P.; Stanzione, D.; Cevik, M.; Colleran, J.; Gunawi, H.S.; Hammock, C.; et al. Lessons Learned from the Chameleon Testbed. In Proceedings of the 2020 USENIX Annual Technical Conference (USENIX ATC ’20), Online, 15–17 July 2020; USENIX Association: Berkeley, CA, USA, 2020. [Google Scholar]
- OpenJS Foundation Website. Express. 2023. Available online: https://expressjs.com/ (accessed on 28 August 2024).
- Moroney, L.; Moroney, L. Using authentication in firebase. In The Definitive Guide to Firebase: Build Android Apps on Google’s Mobile Platform; Apress: Berkeley, CA, USA, 2017; pp. 25–50. [Google Scholar]
- Šušter, I.; Ranisavljević, T. Optimization of MySQL database. J. Process Manag. New Technol. 2023, 11, 141–151. [Google Scholar] [CrossRef]
- World Health Organization. Decade of Healthy Ageing: Baseline Report; World Health Organization: Geneva, Switzerland, 2020; Available online: https://www.who.int/publications/i/item/9789240017900 (accessed on 28 August 2024).
- Kurlowicz, L.; Wallace, M. The mini-mental state examination (MMSE). J. Gerontol. Nurs. 1999, 25, 8–9. [Google Scholar] [CrossRef]
- World Medical Association. World Medical Association Declaration of Helsinki. Ethical principles for medical research involving human subjects. Bull. World Health Organ. 2001, 79, 373. [Google Scholar]
- ATS Committee on Proficiency Standards for Clinical Pulmonary Function Laboratories. ATS statement: Guidelines for the six-minute walk test. Am. J. Respir. Crit. Care Med. 2002, 166, 111–117. [Google Scholar] [CrossRef]
- Mahler, D.A.; Horowitz, M.B. Perception of breathlessness during exercise in patients with respiratory disease. Med. Sci. Sport. Exerc. 1994, 26, 1078–1081. [Google Scholar] [CrossRef]
- Amatachaya, S.; Kwanmongkolthong, M.; Thongjumroon, A.; Boonpew, N.; Amatachaya, P.; Saensook, W.; Thaweewannakij, T.; Hunsawong, T. Influence of timing protocols and distance covered on the outcomes of the 10-meter walk test. Physiother. Theory Pract. 2020, 36, 1348–1353. [Google Scholar] [CrossRef]
- Meisingset, I.; Stensdotter, A.; Woodhouse, A.; Vasseljen, O. Predictors for global perceived effect after physiotherapy in patients with neck pain: An observational study. Physiotherapy 2018, 104, 400–407. [Google Scholar] [CrossRef]
- Hobart, J.C.; Cano, S.J.; Warner, T.T.; Thompson, A.J. What sample sizes for reliability and validity studies in neurology? J. Neurol. 2012, 259, 2681–2694. [Google Scholar] [CrossRef] [PubMed]
- STMicroelectronics. Discovery Kit IoT Node. 2023. Available online: https://www.st.com/en/evaluation-tools/b-l475e-iot01a.html (accessed on 28 August 2024).
- Schneider, A.; Hommel, G.; Blettner, M. Linear Regression Analysis. Dtsch Arztebl Int. 2010, 107, 776–782. [Google Scholar] [CrossRef] [PubMed]
- Vetter, T.; Schober, P. Regression: The Apple Does Not Fall Far From the Tree. Anesth. Analg. 2018, 127, 1. [Google Scholar] [CrossRef]
- Montgomery, D.C.; Peck, E.A.; Vining, G.G. Backward Elimination: A Stepwise Regression Procedure. J. Bus. Econ. Stat. 1996, 14, 499–504. [Google Scholar] [CrossRef]
- Kutner, M.H.; Nachtsheim, C.J.; Neter, J.; Wasserman, W. Applied Linear Regression Models, 4th ed.; McGraw-Hill/Irwin: New York, NY, USA, 1996. [Google Scholar]
- Goldfarb, A.; Coggan, D. Obesity and exercise testing: A review. JAMA 1995, 274, 1235–1242. [Google Scholar]
- Ries, J.D.; Echternach, J.L.; Nof, L.; Gagnon Blodgett, M. Test-retest reliability and minimal detectable change scores for the timed “up & go” test, the six-minute walk test, and gait speed in people with Alzheimer disease. Phys. Ther. 2009, 89, 569–579. [Google Scholar]
- Steffen, T.; Seney, M. Test-retest reliability and minimal detectable change on balance and ambulation tests, the 36-item short-form health survey, and the unified Parkinson disease rating scale in people with parkinsonism. Phys. Ther. 2008, 88, 733–746. [Google Scholar] [CrossRef]
- Petersen, C.; Steffen, T.; Paly, E.; Dvorak, L.; Nelson, R. Reliability and minimal detectable change for sit-to-stand tests and the functional gait assessment for individuals with Parkinson disease. J. Geriatr. Phys. Ther. 2017, 40, 223–226. [Google Scholar] [CrossRef]
- Lang, J.T.; Kassan, T.O.; Devaney, L.L.; Colon-Semenza, C.; Joseph, M.F. Test-retest reliability and minimal detectable change for the 10-meter walk test in older adults with Parkinson’s disease. J. Geriatr. Phys. Ther. 2016, 39, 165–170. [Google Scholar] [CrossRef] [PubMed]






| Metric | 6MWT (m) | 10MWT Fast (s) | 10MWT Slow (s) | 30STS (reps) |
|---|---|---|---|---|
| Mean absolute difference | 1.90 | 1.08 | 1.20 | 0.06 |
| Absolute difference standard deviation | 1.90 | 0.83 | 0.79 | 0.31 |
| Smallest absolute difference | 0 | 0.25 | 0.26 | 0 |
| Largest absolute difference | 10.09 | 4.34 | 4.78 | 2 |
| Mean percentage error | 1.35 | 11.55 | 9.72 | 0.67 |
| Measurement Type | 6MWT (m) | 10MWT (s) | 30STS (reps) |
|---|---|---|---|
| IPA | 4.02 | 0.15 | 0.84 |
| RRA | 5.9 | 0.15 | 0.84 |
| Variable | Coeff | Std. Error | t-Ratio | p-Ratio |
|---|---|---|---|---|
| Const | 0.36 | 0.21 | 1.71 | 0.1008 |
| Age | −0.73 | 0.29 | −2.57 | 0.0176 |
| Overweight | 0.28 | 0.13 | 2.14 | 0.0435 |
| Normalweight | 0.49 | 0.13 | 3.72 | 0.0012 |
| Gonarthrosis | 0.51 | 0.16 | 3.14 | 0.0047 |
| Coxarthrosis | 0.36 | 0.15 | 2.39 | 0.0256 |
| Test | Independent Variable | p-Value | Coefficient |
|---|---|---|---|
| 6MWT1 | [BMI] Normal Weight | 0.0012 | 0.49 |
| 6MWT2 | [BMI] Overweight | 0.2024 | −0.13 |
| 10MWT1F | [D] Fracture | 0.0948 | 0.30 |
| 10MWT2F | [BMI] Overweight | 0.0871 | 0.16 |
| 10MWT1S | [D] Fracture | 0.0053 | 0.38 |
| 10MWT2S | [BMI] Normal Weight | 0.0529 | −0.18 |
| 30STS1 | [BMI] Normal Weight | 0.0148 | 0.25 |
| 30STS2 | [BMI] Normal Weight | 0.0368 | 0.28 |
Disclaimer/Publisher’s Note: The statements, opinions and data contained in all publications are solely those of the individual author(s) and contributor(s) and not of MDPI and/or the editor(s). MDPI and/or the editor(s) disclaim responsibility for any injury to people or property resulting from any ideas, methods, instructions or products referred to in the content. |
© 2024 by the authors. Licensee MDPI, Basel, Switzerland. This article is an open access article distributed under the terms and conditions of the Creative Commons Attribution (CC BY) license (https://creativecommons.org/licenses/by/4.0/).
Share and Cite
Barrera-Leon, L.; Canonico, M.; Desimoni, F.; de Sire, A.; Invernizzi, M.; Lippi, L. Development of a Support System for Physicians and Patients during Rehabilitation. Biomechanics 2024, 4, 520-541. https://doi.org/10.3390/biomechanics4030037
Barrera-Leon L, Canonico M, Desimoni F, de Sire A, Invernizzi M, Lippi L. Development of a Support System for Physicians and Patients during Rehabilitation. Biomechanics. 2024; 4(3):520-541. https://doi.org/10.3390/biomechanics4030037
Chicago/Turabian StyleBarrera-Leon, Luisa, Massimo Canonico, Francesco Desimoni, Alessandro de Sire, Marco Invernizzi, and Lorenzo Lippi. 2024. "Development of a Support System for Physicians and Patients during Rehabilitation" Biomechanics 4, no. 3: 520-541. https://doi.org/10.3390/biomechanics4030037
APA StyleBarrera-Leon, L., Canonico, M., Desimoni, F., de Sire, A., Invernizzi, M., & Lippi, L. (2024). Development of a Support System for Physicians and Patients during Rehabilitation. Biomechanics, 4(3), 520-541. https://doi.org/10.3390/biomechanics4030037

