The Development of a Standardized Protocol for Quantifying Equestrian Eventing Cross-Country Ground
Abstract
1. Introduction
2. Materials and Methods
2.1. Cross-Country Courses
2.2. Equipment
2.2.1. Orono Biomechanical Surface Tester v2 (OBST)
2.2.2. Vienna Surface Tester (VST)
2.2.3. Lang Penetrometer
2.2.4. Going Stick
2.2.5. Moisture Meter
2.3. Phase 1: Validation
2.3.1. Protocol Development
2.3.2. Evaluation of Test Equipment
2.3.3. Statistical Analysis
2.4. Phase 2: Expansion of the Dataset
2.4.1. Procedures
2.4.2. Data Compilation
2.5. Phase 3: Threshold Establishment
Statistical Analysis
3. Results
3.1. Phase 1: Validation
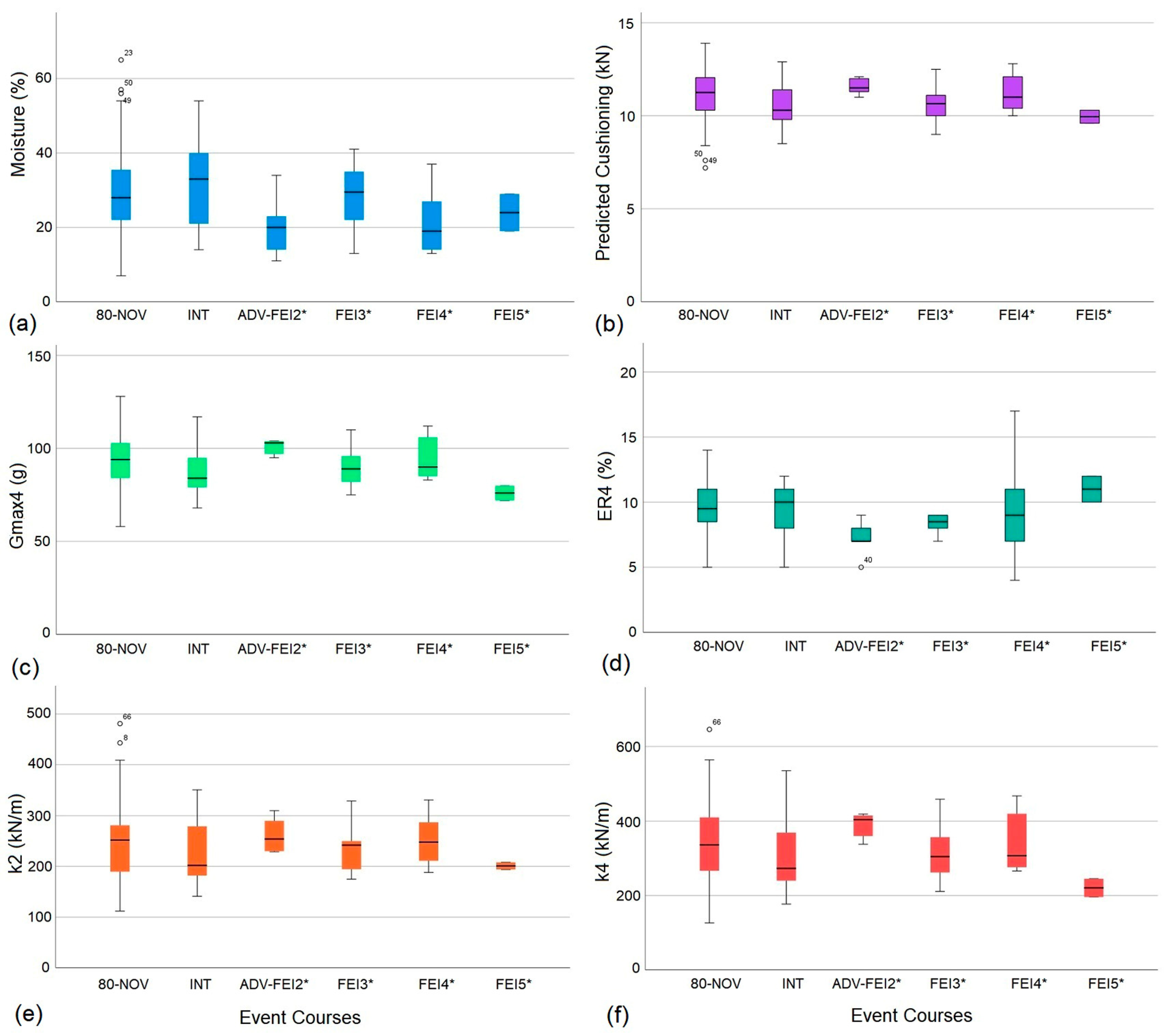
3.2. Phase 2: Expansion of the Data Set
3.3. Phase 3: Threshold Development
4. Discussion
5. Conclusions
Supplementary Materials
Author Contributions
Funding
Institutional Review Board Statement
Informed Consent Statement
Data Availability Statement
Acknowledgments
Conflicts of Interest
References
- Bennet, E.D.; Cameron-Whytock, H.; Parkin, T.D.H. Fédération Equestre Internationale eventing: Risk factors for horse falls and unseated riders during the cross-country phase (2008–2018). Equine Vet. J. 2022, 54, 885–894. [Google Scholar] [CrossRef]
- Fédération Equestre Internationale. Risk Management Program Statistics 2009–2020. FEI Eventing Final Statistics Report, 2021 URL. Available online: https://inside.fei.org/system/files/2020%20Statistics%2020.01.2021.pdf (accessed on 6 April 2023).
- Munsters, C.; van den Broek, J.; Welling, E.; van Weeren, R.; van Oldruitenborgh-Oosterbaan, M.S. A prospective study on a cohort of horses and ponies selected for participation in the European Eventing Championship: Reasons for withdrawal and predictive value of fitness tests. BMC Vet. Res. 2013, 9, 182. [Google Scholar] [CrossRef] [PubMed][Green Version]
- O’Brien, E.; Stevens, K.B.; Pfeiffer, D.U.; Hall, J.; Marr, C.M. Factors associated with the wastage and achievements in competition of event horses registered in the United Kingdom. Vet. Rec. 2005, 157, 9–13. [Google Scholar] [CrossRef] [PubMed]
- Hobbs, S.J.; Northrop, A.; Mahaffey, C.; Martin, J.; Clayton, H.; Murray, R.; Roepstorff, L.; Peterson, M.L. Equine Surfaces White Paper, FEI Books. 2014. Available online: https://inside.fei.org/fei/about-fei/fei-library/equine-surfaces-white-paper (accessed on 25 May 2023).
- Kalkhoven, J.T.; Watsford, M.L.; Impellizzeri, F.M. A conceptual model and detailed framework for stress-related, strain-related, and overuse athletic injury. J. Sci. Med. Sport 2020, 23, 726–734. [Google Scholar] [CrossRef] [PubMed]
- Clayton, H.M.; Hobbs, S.J. Ground Reaction Forces: The Sine Qua Non of Legged Locomotion. J. Equine Vet. Sci. 2019, 76, 25–35. [Google Scholar] [CrossRef] [PubMed]
- Dufour, M.J.; Mumford, C. GoingStick technology and electromagnetic induction scanning for naturally-turfed sports surfaces. Sports Technol. 2008, 1, 125–131. [Google Scholar] [CrossRef]
- Peterson, M.L.; McIlwraith, C.W.; Reiser II, R.F. Development of a system for the in-situ characterisation of thoroughbred horse racing track surfaces. Biosyst. Eng. 2008, 101, 260–269. [Google Scholar] [CrossRef]
- Mahaffey, C.A.; Peterson, M.L.; Roepstorff, L. The effects of varying cushion depth on dynamic loading in shallow sand thoroughbred horse dirt racetracks. Biosyst. Eng. 2013, 114, 178–186. [Google Scholar] [CrossRef]
- Hernlund, E.; Egenvall, A.; Hobbs, S.J.; Peterson, M.L.; Northrop, A.J.; Bergh, A.; Martin, J.H.; Roepstorff, L. Comparing subjective and objective evaluation of show jumping competition and warm-up arena surfaces. Vet. J. 2017, 227, 49–57. [Google Scholar] [CrossRef]
- Northrop, A.J.; Hobbs, S.J.; Holt, D.; Clayton-Smith, E.; Martin, J.H. Spatial variation of the physical and biomechanical properties within an equestrian arena surface. Procedia Eng. 2016, 147, 866–871. [Google Scholar] [CrossRef][Green Version]
- Guisasola, I.; James, I.; Llewellyn, C.; Stiles, V.; Dixon, S. Quasi-static mechanical behaviour of soils used for natural turf sports surfaces and stud force prediction. Sports Eng. 2010, 12, 111–122. [Google Scholar] [CrossRef]
- Caple, M.; James, I.; Bartlett, M. Spatial analysis of the mechanical behaviour of natural turf sports pitches. Sports Eng. 2012, 15, 143–157. [Google Scholar] [CrossRef]
- Straw, C.M.; Samson, C.O.; Henry, G.M.; Brown, C.N. A review of turfgrass sports field variability and its implications on athlete-surface interactions. Agron. J. 2020, 112, 2401–2417. [Google Scholar] [CrossRef]
- Peham, C.; Schramel, J. Vorrichtung zur Bestimmung der Elastischen Eigenschaften von Oberflächen und Böden und Verfahren zum Betrieb der Vorrichtung; EP 3 045 890 A1; European Patent Office: Munich, Germany, 2016. [Google Scholar]
- Weimar, K.R.; Pichlbauer, B.; Guse, C.; Schramel, J.P.; Peham, C.; Drillich, M.; Iwersen, M. Evaluation of an Accelerometer-Based Device for Testing the Softness of Bedding Materials Used for Livestock. Sensors 2022, 22, 8912. [Google Scholar] [CrossRef]
- Forkman, J. Estimator and tests for common coefficients of variation in normal distributions. Commun. Stat.—Theory Methods 2009, 38, 233–251. [Google Scholar] [CrossRef]
- Hobbs, S.J.; Clayton, H.M. The Olympic motto through the lens of equestrian sports. Anim. Front. 2022, 12, 45–53. [Google Scholar] [CrossRef] [PubMed]
- Schmitt, P.; Stanton, V.; Peterson, M. Laser Diffraction Particle Size Distribution of North American Turfgrass Horse Racing Surfaces. J. ASABE 2023, 66, 735–746. [Google Scholar] [CrossRef]
- Horan, K.; Coburn, J.; Kourdache, K.; Day, P.; Carnall, H.; Brinkley, L.; Harborne, D.; Hammond, L.; Peterson, M.; Millard, S.; et al. Hoof Impact and Foot-Off Accelerations in Galloping Thoroughbred Racehorses Trialling Eight Shoe–Surface Combinations. Animals 2022, 12, 2161. [Google Scholar] [CrossRef] [PubMed]
- Self Davies, Z.T.; Spence, A.J.; Wilson, A.M. Ground reaction forces of overground galloping in ridden Thoroughbred racehorses. J. Exp. Biol. 2019, 222, 204107. [Google Scholar] [CrossRef]
- Barrey, E.; Landjerit, B.; Walter, R. Shock and vibration during hoof impact on different surfaces. Equine Exerc. Physiol. 1991, 3, 97–106. [Google Scholar]
- Holt, D.; Northrop, A.; Owen, A.; Martin, J.; Hobbs, S.J. Use of surface testing devices to identify potential risk factors for synthetic equestrian surfaces. Procedia Eng. 2014, 72, 949–954. [Google Scholar] [CrossRef]
- Orlande, O.; Hobbs, S.J.; Martin, J.H.; Owen, A.G.; Northrop, A.J. Measuring hoof slip of the leading limb on jump landing over two different equine arena surfaces. Comp. Exerc. Physiol. 2012, 8, 33–39. [Google Scholar] [CrossRef]
- Gustås, P.; Johnston, C.; Drevemo, S. Ground reaction force and hoof deceleration patterns on two different surfaces at the trot. Equine Comp. Exerc. Physiol. 2006, 3, 209–216. [Google Scholar] [CrossRef]
- Hjertén, G.; Drevemo, S. Semi-quantitative analysis of hoof-strike in the horse. J. Biomech. 1994, 27, 997–1004. [Google Scholar] [CrossRef]
- Pratt, G.W. Model for injury to the foreleg of the Thoroughbred racehorse. Equine Vet. J. 1997, 29, 30–32. [Google Scholar] [CrossRef] [PubMed]
- Peterson, M.L.; Roepstorff, L.; Thomason, J.J.; Mahaffey, C.; McIlwraith, C.W. Racing Surfaces: Current Progress and Future Challenges to Optimize Consistency and Performance of Track Surfaces for Fewer Horse Injuries. 2012. Available online: http://www.grayson-jockeyclub.org/resources/White_Paper_04272012.pdf (accessed on 25 May 2023).
- Chateau, H.; Holden, L.; Robin, D.; Falala, S.; Pourcelot, P.; Estoup, P.; Denoix, J.H.M.; Crevier-Denoix, N. Biomechanical analysis of hoof landing and stride parameters in harness trotter horses running on different tracks of a sand beach (from wet to dry) and on an asphalt road. Equine Vet. J. 2010, 42, 488–495. [Google Scholar] [CrossRef] [PubMed]
- Caple, M.C.; James, I.; Bartlett, M.D.; Bartlett, D.I. Development of a simplified dynamic testing device for turfed sports surfaces. Proc. Inst. Mech. Eng. Part P J. Sports Eng. Technol. 2011, 225, 103–109. [Google Scholar] [CrossRef]
- Blanco, M.A.; Di Rado, F.N.; Peterson, M. Warm Season Turfgrass Equine Sports Surfaces: An Experimental Comparison of the Independence of Simple Measurements Used for Surface Characterization. Animals 2023, 13, 811. [Google Scholar] [CrossRef]
- Henry, G.M.; Burton, M.G.; Yelverton, F.H. Heterogeneous Distribution of Weedy Paspalum Species and Edaphic Variables in Turfgrass. HortScience Horts 2009, 44, 447–451. [Google Scholar] [CrossRef]
- Lopez, F.B.; Chinnery, L.E. Quantitative assessment of cricket outfields in the Caribbean region. In Proceedings of the 2nd International Conference of the SportSURF Network, Loughborough University, Leicestershire, UK, 21–22 April 2010; pp. 1–19. [Google Scholar]
- RoTimi Ojo, E.; Bullock, P.R.; Fitzmaurice, J. Field Performance of Five Soil Moisture Instruments in Heavy Clay Soils. Soil Sci. Soc. Am. J. 2015, 79, 20–29. [Google Scholar] [CrossRef]
- Vaz, C.M.P.; Jones, S.; Meding, M.; Tuller, M. Evaluation of standard calibration functions for eight electromagnetic soil moisture sensors. Vadose Zone J. 2013, 12, vzj2012-0160. [Google Scholar] [CrossRef]
- Kim, H.; Cosh, M.H.; Bindlish, R.; Lakshmi, V. Field evaluation of portable soil water content sensors in a sandy loam. Vadose Zone J. 2020, 19, e20033. [Google Scholar] [CrossRef]
- Abbaspour-Gilandeh, Y.; Hasankhani-Ghavam, F.; Shahgoli, G.; Shrabian, V.R.; Abbaspour-Gilandeh, M. Investigation of the Effect of Soil Moisture Content, Contact Surface Material and Soil Texture on Soil Friction and Soil Adhesion Coefficients. Acta Technol. Agric. 2018, 21, 44–50. [Google Scholar] [CrossRef]
- Ryan, K.; Gannon-Slater, N.; Culbertson, M.J. Improving survey methods with cognitive interviews in small-and medium-scale evaluation. Am. J. Eval. 2012, 33, 414–430. [Google Scholar] [CrossRef]
- Yanagisawa, H.; Takatsuji, K. Effects of Visual Expectation on Perceived Tactile Perception: An Evaluation Method of Surface Texture with Expectation Effect. Int. J. Des. 2015, 9, 39–51. Available online: http://www.ijdesign.org/index.php/IJDesign/article/viewFile/1536/662 (accessed on 17 March 2023).
- Harvey, A.M.; Williams, S.B.; Singer, E.R. The effect of lateral heel studs on the kinematics of the equine digit while cantering on grass. Vet. J. 2012, 192, 217–221. [Google Scholar] [CrossRef]
- Rohlf, C.M.; Garcia, T.C.; Fyhrie, D.P.; le Jeune, S.S.; Peterson, M.L.; Stover, S.M. Shear ground reaction force variation among equine arena surfaces. Veterinary J. 2023, 291, 105930. [Google Scholar] [CrossRef] [PubMed]
- Horan, H.; Kourdache, K.; Coburn, J.; Day, P.; Brinkley, L.; Carnall, H.; Harborne, D.; Hammond, L.; Millard, S.; Pfau, T. Jockey Perception of Shoe and Surface Effects on Hoof-Ground Interactions and Implications for Safety in the Galloping Thoroughbred Racehorse. J. Equine Vet. Sci. 2021, 97, 103327. [Google Scholar] [CrossRef]






| Equipment | Number of Measurements/Location | Measurement Name | Measurement | Units |
|---|---|---|---|---|
| Orono Biomechanical Surface Tester (OBST) | 1 | Impact Firmness | Peak vertical acceleration | g |
| Cushioning | Peak vertical force | kN | ||
| Responsiveness | Ratio of head compression and recoil timing | ratio | ||
| Grip | Derived horizontal displacement | mm | ||
| Vienna Surface Tester (VST) | 14+ | Gmax | Peak impact acceleration | g |
| Depth | Derived penetration depth | mm | ||
| ER | Coefficient of restitution | % | ||
| k | Stiffness | kN/m | ||
| Lang Penetrometer | 5 | Compaction | Penetration resistance | MPa |
| Going Stick | 3 | Going value | Penetration and Shear resistance | Index (N and Nm) |
| Moisture Meter | 5 | Moisture | Volumetric water content | % |
| Measurement | N | 125 m | 250 m | F-Value | p-Value | |
|---|---|---|---|---|---|---|
| Mean | Impact Firmness | 5 | 26.57 | 26.99 | 1.378 | 0.761 |
| Cushioning | 5 | 15.25 | 15.84 | 1.526 | 0.692 | |
| Responsiveness | 5 | 56.03 | 51.47 | 0.995 | 0.997 | |
| Grip | 2 | 12.86 | 9.47 | 2.302 | 0.606 | |
| Moisture | 5 | 24.91 | 24.78 | 0.644 | 0.680 | |
| Compaction | 5 | 12.29 | 11.99 | 1.852 | 0.565 | |
| Standard Deviation | Impact Firmness | 5 | 9.27 | 11.27 | 1.477 | 0.715 |
| Cushioning | 5 | 5.99 | 7.96 | 1.761 | 0.597 | |
| Responsiveness | 5 | 32.29 | 29.57 | 1.192 | 0.869 | |
| Grip | 2 | 2.80 | 3.77 | 1.816 | 0.813 | |
| Moisture | 5 | 6.35 | 5.02 | 1.600 | 0.660 | |
| Compaction | 5 | 4.19 | 5.79 | 1.913 | 0.545 |
| FEI Rider Grade | Number of Riders | Number of Responses | Responded at 2 or More Events |
|---|---|---|---|
| A | 45 | 74 | 20 |
| B | 59 | 82 | 15 |
| C | 56 | 75 | 14 |
| D | 15 | 21 | 4 |
| NC | 5 | 5 | 0 |
| OBST | Moisture | Compaction | Going Stick | Vienna Surface Tester Measurements (at 2 and 4 m/s) | |||||||
|---|---|---|---|---|---|---|---|---|---|---|---|
| Gmax2 | Gmax4 | Depth2 | Depth4 | ER2 | ER4 | k2 | k4 | ||||
| Impact Firmness | −0.312 ** | 0.473 ** | 0.449 ** | 0.532 ** | 0.588 ** | −0.438 ** | −0.559 ** | −0.508 ** | −0.571 ** | 0.583 ** | 0.639 ** |
| Cushioning | −0.746 ** | 0.788 ** | 0.661 ** | 0.739 ** | 0.876 ** | −0.596 ** | −0.784 ** | −0.256 ** | −0.208 * | 0.751 ** | 0.857 ** |
| Responsiveness | 0.416 ** | −0.365 ** | −0.592 ** | −0.426 ** | −0.471 ** | 0.290 ** | 0.424 ** | 00.152 | 0.199 * | −0.447 ** | −0.455 ** |
| Grip | −0.305 ** | 0.544 ** | 0.422 ** | 0.625 ** | 0.694 ** | −0.572 ** | −0.543 ** | −0.537 ** | −0.581 ** | 0.673 ** | 0.738 ** |
| F | R2 | p | Significant Predictors | ||
|---|---|---|---|---|---|
| OBST Functional properties | Impact Firmness | 37.753 | 64.9% | <0.001 | k4 |
| ER4 | |||||
| Gmax4 | |||||
| Depth4 | |||||
| Compaction | |||||
| Cushioning | 139.089 | 80.0% | <0.001 | Gmax4 | |
| Moisture | |||||
| ER4 | |||||
| Responsiveness | 28.221 | 21.0% | <0.001 | Gmax4 | |
| Grip | 43.455 | 68.8% | <0.001 | k4 | |
| Gmax4 | |||||
| ER4 | |||||
| Moisture |
| Subjective | Moisture | Predicted Cushioning | Gmax4 | Depth4 | ER4 | k2 | k4 |
|---|---|---|---|---|---|---|---|
| Impact Firmness | −0.726 ** | 0.729 ** | 0.641 ** | −0.564 * | 0.160 | 0.596 * | 0.644 ** |
| Cushioning | −0.662 * | 0.726 ** | 0.730 ** | −0.572 * | −0.032 | 0.691 ** | 0.728 ** |
| Responsiveness | −0.405 | 0.024 | −0.139 | 0.247 | 0.097 | −0.177 | −0.165 |
| Grip | −0.249 | −0.061 | −0.249 | 0.086 | 0.222 | −0.133 | −0.269 |
Disclaimer/Publisher’s Note: The statements, opinions and data contained in all publications are solely those of the individual author(s) and contributor(s) and not of MDPI and/or the editor(s). MDPI and/or the editor(s) disclaim responsibility for any injury to people or property resulting from any ideas, methods, instructions or products referred to in the content. |
© 2023 by the authors. Licensee MDPI, Basel, Switzerland. This article is an open access article distributed under the terms and conditions of the Creative Commons Attribution (CC BY) license (https://creativecommons.org/licenses/by/4.0/).
Share and Cite
Graydon, R.; Northrop, A.J.; Martin, J.H.; Lucey, M.; Schramel, J.P.; Peham, C.; Roepstorff, L.; Sinclair, J.; Hobbs, S.J. The Development of a Standardized Protocol for Quantifying Equestrian Eventing Cross-Country Ground. Biomechanics 2023, 3, 343-361. https://doi.org/10.3390/biomechanics3030029
Graydon R, Northrop AJ, Martin JH, Lucey M, Schramel JP, Peham C, Roepstorff L, Sinclair J, Hobbs SJ. The Development of a Standardized Protocol for Quantifying Equestrian Eventing Cross-Country Ground. Biomechanics. 2023; 3(3):343-361. https://doi.org/10.3390/biomechanics3030029
Chicago/Turabian StyleGraydon, Robert, Alison J. Northrop, Jaime H. Martin, Mark Lucey, Johannes Peter Schramel, Christian Peham, Lars Roepstorff, Jonathan Sinclair, and Sarah Jane Hobbs. 2023. "The Development of a Standardized Protocol for Quantifying Equestrian Eventing Cross-Country Ground" Biomechanics 3, no. 3: 343-361. https://doi.org/10.3390/biomechanics3030029
APA StyleGraydon, R., Northrop, A. J., Martin, J. H., Lucey, M., Schramel, J. P., Peham, C., Roepstorff, L., Sinclair, J., & Hobbs, S. J. (2023). The Development of a Standardized Protocol for Quantifying Equestrian Eventing Cross-Country Ground. Biomechanics, 3(3), 343-361. https://doi.org/10.3390/biomechanics3030029

