Gait Symmetry Is Unaffected When Completing a Motor Dexterity Task While Using a Walking Workstation in Healthy, Young Adults
Abstract
:1. Introduction
2. Materials and Methods
2.1. Participants
2.2. Procedures
2.3. Data Reduction
2.4. Statistical Analysis
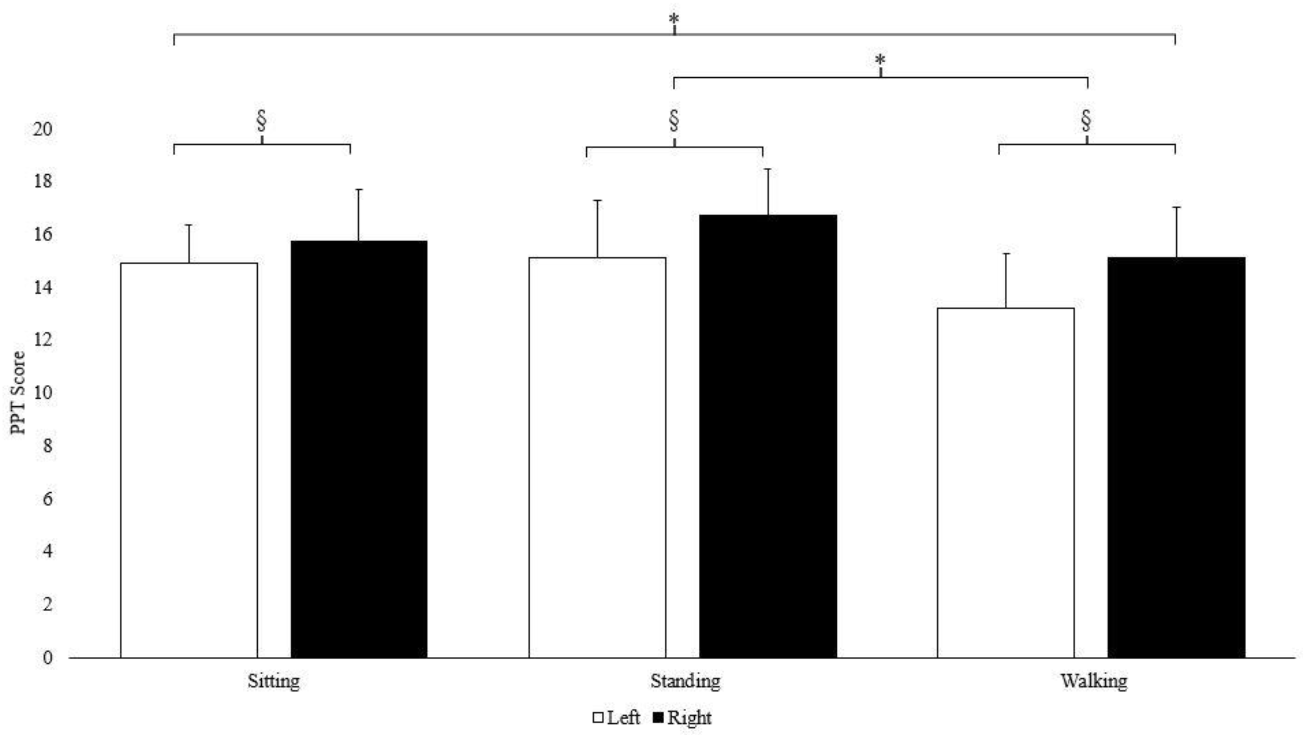
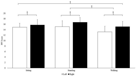
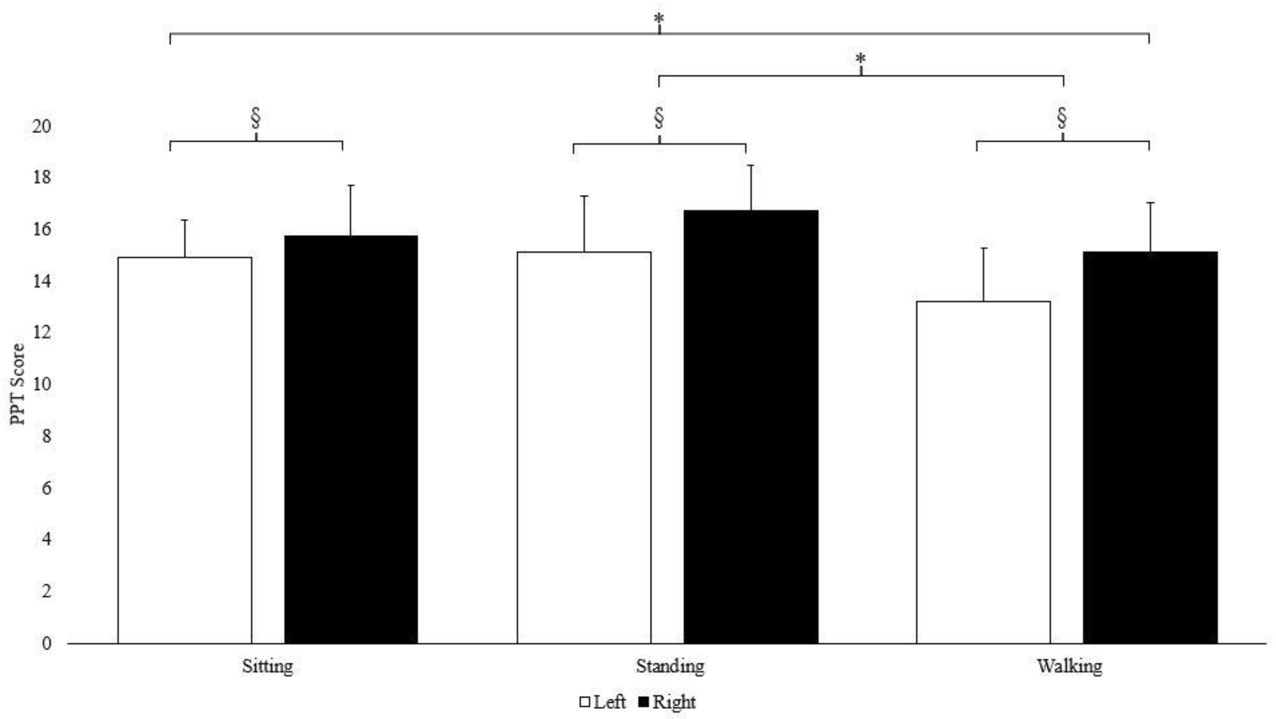
3. Results
PPT Scores
4. Discussion
5. Conclusions
Author Contributions
Funding
Institutional Review Board Statement
Informed Consent Statement
Data Availability Statement
Conflicts of Interest
References
- Katzmarzyk, P.T.; Church, T.S.; Craig, C.L.; Bouchard, C. Sitting time and mortality from all causes, cardiovascular disease, and cancer. Med. Sci. Sports Exerc. 2009, 41, 998–1005. [Google Scholar] [CrossRef] [PubMed]
- Ben-Ner, A.; Hamann, D.J.; Koepp, G.; Manohar, C.U.; Levine, J. Treadmill workstations: The effects of walking while working on physical activity and work performance. PLoS ONE 2014, 9, e88620. [Google Scholar] [CrossRef]
- Cox, R.H.; Guth, J.; Siekemeyer, L.; Kellems, B.; Brehm, S.B.; Ohlinger, C.M. Metabolic cost and speech quality while using an active workstation. J. Phys. Act. Health 2011, 8, 332–339. [Google Scholar] [CrossRef] [PubMed]
- Leland, A.; Tavakol, K.; Scholten, J.; Mathis, D.; Maron, D.; Bakhshi, S. The role of dual tasking in the assessment of gait, cognition and community reintegration of veterans with mild traumatic brain injury. Mater. Socio-Med. 2017, 29, 251–256. [Google Scholar] [CrossRef] [Green Version]
- Pashler, H. Dual-task interference in simple tasks: Data and theory. Psychol. Bull. 1994, 116, 220–224. [Google Scholar] [CrossRef] [PubMed]
- Navon, D.; Gopher, D. On the economy of the human-processing system. Psychol. Rev. 1979, 86, 214–255. [Google Scholar] [CrossRef]
- Shumway-Cook, A.; Woollacott, M.; Kerns, K.A.; Baldwin, M. The effects of two types of cognitive tasks on postural stability in older adults with and without a history of falls. J. Gerontol. Ser. A Biol. Sci. Med. Sci. 1997, 52, M232–M240. [Google Scholar] [CrossRef] [PubMed] [Green Version]
- Patel, P.; Lamar, M.; Bhatt, T. Effect of type of cognitive task and walking speed on cognitive-motor interference during dual-task walking. Neuroscience 2014, 260, 140–148. [Google Scholar] [CrossRef]
- Harry, J.R.; Eggleston, J.D.; Dunnick, D.D.; Edwards, H.; Dufek, J.S. Effects of task difficulty on kinematics and task performance during walking workstation use. Transl. J. Am. Coll. Sports Med. 2018, 3, 74–84. [Google Scholar] [CrossRef]
- Beauchet, O.; Berrut, G. Gait and dual-task: Definition, interest, and perspectives in the elderly. Psychol. Neuropsychiatr. Vieil. 2006, 4, 215–225. [Google Scholar]
- John, D.; Bassett, D.; Thompson, D.; Fairbrother, J.; Baldwin, D. Effect of using a treadmill workstation on performance of simulated office work tasks. J. Phys. Act. Health 2009, 6, 617–624. [Google Scholar] [CrossRef] [PubMed]
- Neuhaus, M.; Eakin, E.G.; Straker, L.; Owen, N.; Dunstan, D.W.; Reid, N.; Healy, G.N. Reducing occupational sedentary time: A systematic review and meta-analysis of evidence on activity-permissive workstations. Obes. Rev. 2014, 15, 822–838. [Google Scholar] [CrossRef] [PubMed] [Green Version]
- Straker, L.; Levine, J.; Campbell, A. The effects of walking and cycling computer workstations on keyboard and mouse performance. Hum. Factors 2009, 5, 831–844. [Google Scholar] [CrossRef]
- Dufek, J.S.; Harry, J.R.; Soucy, M.; Guadagnoli, M.; Lounsbery, M. Effects of active workstation use on walking mechanics and work efficiency. J. Nov. Physiother. 2016, 6, 2–8. [Google Scholar] [CrossRef]
- Eggleston, J.D.; Chavez, E.A.; Harry, J.R.; Dufek, J.S. Computer interactions during walking workstation use moderately affects spatial-temporal gait characteristics. Gait Posture 2019, 74, 200–204. [Google Scholar] [CrossRef] [PubMed]
- Wu, J.; Wu, B. The novel quantitative technique for assessment of gait symmetry using advanced statistical learning algorithm. BioMed Res. Int. 2015, 2015, 528971. [Google Scholar] [CrossRef]
- Eggleston, J.D.; Harry, J.R.; Hickman, R.A.; Dufek, J.S. Analysis of gait symmetry during over-ground walking in children with autism spectrum disorder. Gait Posture 2017, 55, 162–166. [Google Scholar] [CrossRef]
- Eggleston, J.D.; Landers, M.R.; Bates, B.T.; Nagelhout, E.; Dufek, J.S. Examination of gait parameters during perturbed over-ground walking in children with autism spectrum disorder. Res. Dev. Disabil. 2018, 74, 50–56. [Google Scholar] [CrossRef]
- Kim, J.H. Relationship between gait symmetry and functional balance, walking performance in subjects with stroke. J. Korean Phys. Ther. 2014, 26, 1–8. [Google Scholar]
- Hodt-Billington, C.; Helbostad, J.L.; Vervaat, W.; Rognsvåg, T.; Moe-Nilssen, R. Criteria of gait asymmetry in patients with hip osteoarthritis. Physiother. Theory Pract. 2012, 28, 134–141. [Google Scholar] [CrossRef]
- Yogev, G.; Plotnik, M.; Peretz, C.; Giladi, N.; Hausdorff, J.M. Gait asymmetry in patients with Parkinson’s disease and elderly fallers: When does the bilateral coordination of gait require attention? Exp. Brain Res. 2007, 177, 336–346. [Google Scholar] [CrossRef] [PubMed]
- Sadeghi, H.; Allard, P.; Prince, F.; Labelle, H. Symmetry and limb dominance in able-bodied gait: A review. Gait Posture 2000, 12, 34–45. [Google Scholar] [CrossRef]
- Maki, B.E. Gait changes in older adults: Predictor of falls or indicators of fear? J. Am. Geriatr. Soc. 1997, 45, 313–320. [Google Scholar] [CrossRef] [PubMed]
- Rispens, S.M.; van Schooten, K.S.; Pijnappels, M.; Daffertshofer, A.; Beek, P.J.; van Dieen, J.H. Identification of fall risk predictors in daily life measurements: Gait characteristics’ reliability and association with self-reported fall history. Neurorehabilit. Neural Repair 2015, 29, 54–61. [Google Scholar] [CrossRef] [PubMed]
- Grindle, D.M.; Baker, L.; Furr, M.; Puterio, T.; Knarr, B.; Higginson, J. The effects of walking workstations on biomechanical performance. J. Appl. Biomech. 2018, 34, 349–353. [Google Scholar] [CrossRef] [PubMed]
- Desrosiers, J.; Hebert, R.; Bravo, G.; Dutil, E. The Purdue Pegboard Test: Normative data for people aged 60 and over. Disabil. Rehabil. 1995, 17, 217–224. [Google Scholar] [CrossRef]
- Zeni, J.; Richards, J.; Higginson, J. Two simple methods for determining gait events during treadmill and overground walking using kinematic data. Gait Posture 2008, 3, 336–346. [Google Scholar] [CrossRef] [Green Version]
- Robinson, R.O.; Herzog, W.; Nigg, B.M. Use of force platform variables to quantify the effects of chiropractic manipulation on gait symmetry. J. Manip. Physiol. Ther. 1987, 10, 172–176. [Google Scholar]
- Herzog, W.; Nigg, B.M.; Read, L.J.; Olsson, E. Asymmetries in ground reaction force patterns in normal human gait. Med. Sci. Sports Exerc. 1989, 21, 110–114. [Google Scholar] [CrossRef]
- Gronley, J.K.; Perry, J. Gait analysis techniques: Rancho los amigos hospital gait laboratory. Phys. Ther. 1984, 64, 1831–1838. [Google Scholar] [CrossRef]
- Arauz, P.G.; García, M.G.; Velez, M.; León, C.; Velez, F.; Martin, B. Does treadmill workstation use affect user’s kinematic gait symmetry? PLoS ONE 2021, 16, e0261140. [Google Scholar] [CrossRef] [PubMed]
- Healy, G.N.; Clark, B.K.; Winkler, E.A.; Gardiner, P.A.; Brown, W.J.; Matthews, C.E. Measurement of adults’ sedentary time in population-based studies. Am. J. Prev. Med. 2011, 41, 216–227. [Google Scholar] [CrossRef] [PubMed] [Green Version]




| Loading Response | ||||
|---|---|---|---|---|
| Baseline: Mean (SD) | DT: Mean (SD) | t | p | |
| Hip | 5.83 (6.30) | 6.81 (8.33) | −1.396 | 0.181 |
| Knee | 17.19 (18.72) | 20.31 (19.87) | −1.162 | 0.261 |
| Ankle | 279.08 (757.16) | 100.99 (80.93) | 0.997 | 0.333 |
| Mid-stance | ||||
| Hip | 9.59 (10.72) | 8.86 (12.01) | 0.511 | 0.616 |
| Knee | 15.23 (20.69) | 14.38 (16.24) | 0.349 | 0.731 |
| Ankle | 115.46 (151.39) | 190.46 (367.85) | −0.866 | 0.399 |
| Terminal Stance | ||||
| Hip | 83.72 (142.64) | 97.50 (102.71) | 0.464 | 0.648 |
| Knee | 25.41 (23.27) | 21.21 (27.18) | 1.418 | 0.174 |
| Ankle | 22.39 (17.12) | 24.68 (18.88) | −0.773 | 0.450 |
| Pre-swing | ||||
| Hip | 56.86 (88.90) | 68.80 (121.36) | −0.357 | 0.725 |
| Knee | 18.50 (19.41) | 16.93 (17.81) | 0.560 | 0.58 |
| Ankle | 21.97 (14.86) | 25.00 (20.48) | −1.305 | 0.209 |
| Initial Swing | ||||
| Hip | 56.16 (74.30) | 67.96 (192.02) | −0.284 | 0.780 |
| Knee | 7.24 (5.53) | 7.81 (5.90) | −0.743 | 0.468 |
| Ankle | 183.50 (431.66) | 852.28 (3043.52) | −0.943 | 0.359 |
| Mid-swing | ||||
| Hip | 7.33 (7.76) | 7.73 (9.41) | −0.535 | 0.600 |
| Knee | 4.50 (4.80) | 4.86 (4.92) | −0.689 | 0.500 |
| Ankle | 990.82 (3724.77) | 298.69 (433.80) | 0.795 | 0.438 |
| Terminal Swing | ||||
| Hip | 4.75 (6.82) | 5.72 (7.62) | −1.316 | 0.206 |
| Knee | 10.65 (10.71) | 10.23 (10.78) | 0.324 | 0.750 |
| Ankle | 228.54 (663.02) | 61.36 (75.57) | 1.170 | 0.258 |
Publisher’s Note: MDPI stays neutral with regard to jurisdictional claims in published maps and institutional affiliations. |
© 2022 by the authors. Licensee MDPI, Basel, Switzerland. This article is an open access article distributed under the terms and conditions of the Creative Commons Attribution (CC BY) license (https://creativecommons.org/licenses/by/4.0/).
Share and Cite
Vanderhoof, H.R.; Chavez, E.A.; Eggleston, J.D. Gait Symmetry Is Unaffected When Completing a Motor Dexterity Task While Using a Walking Workstation in Healthy, Young Adults. Biomechanics 2022, 2, 431-440. https://doi.org/10.3390/biomechanics2030033
Vanderhoof HR, Chavez EA, Eggleston JD. Gait Symmetry Is Unaffected When Completing a Motor Dexterity Task While Using a Walking Workstation in Healthy, Young Adults. Biomechanics. 2022; 2(3):431-440. https://doi.org/10.3390/biomechanics2030033
Chicago/Turabian StyleVanderhoof, Heather R., Emily A. Chavez, and Jeffrey D. Eggleston. 2022. "Gait Symmetry Is Unaffected When Completing a Motor Dexterity Task While Using a Walking Workstation in Healthy, Young Adults" Biomechanics 2, no. 3: 431-440. https://doi.org/10.3390/biomechanics2030033
APA StyleVanderhoof, H. R., Chavez, E. A., & Eggleston, J. D. (2022). Gait Symmetry Is Unaffected When Completing a Motor Dexterity Task While Using a Walking Workstation in Healthy, Young Adults. Biomechanics, 2(3), 431-440. https://doi.org/10.3390/biomechanics2030033
