Novel TiO2 Nanotube-Based Electrocatalysts for the Hydrogen Evolution Reaction in Alkaline Medium
Abstract
1. Introduction
2. Materials and Methods
2.1. Materials and Reagents
2.2. Protocols for Obtaining the Modified Electrodes
2.3. Electrochemical Experiments
2.4. Morphological and Physical-Chemical Characterization
3. Results and Discussions
3.1. SEM Analysis
3.2. XRD Analysis
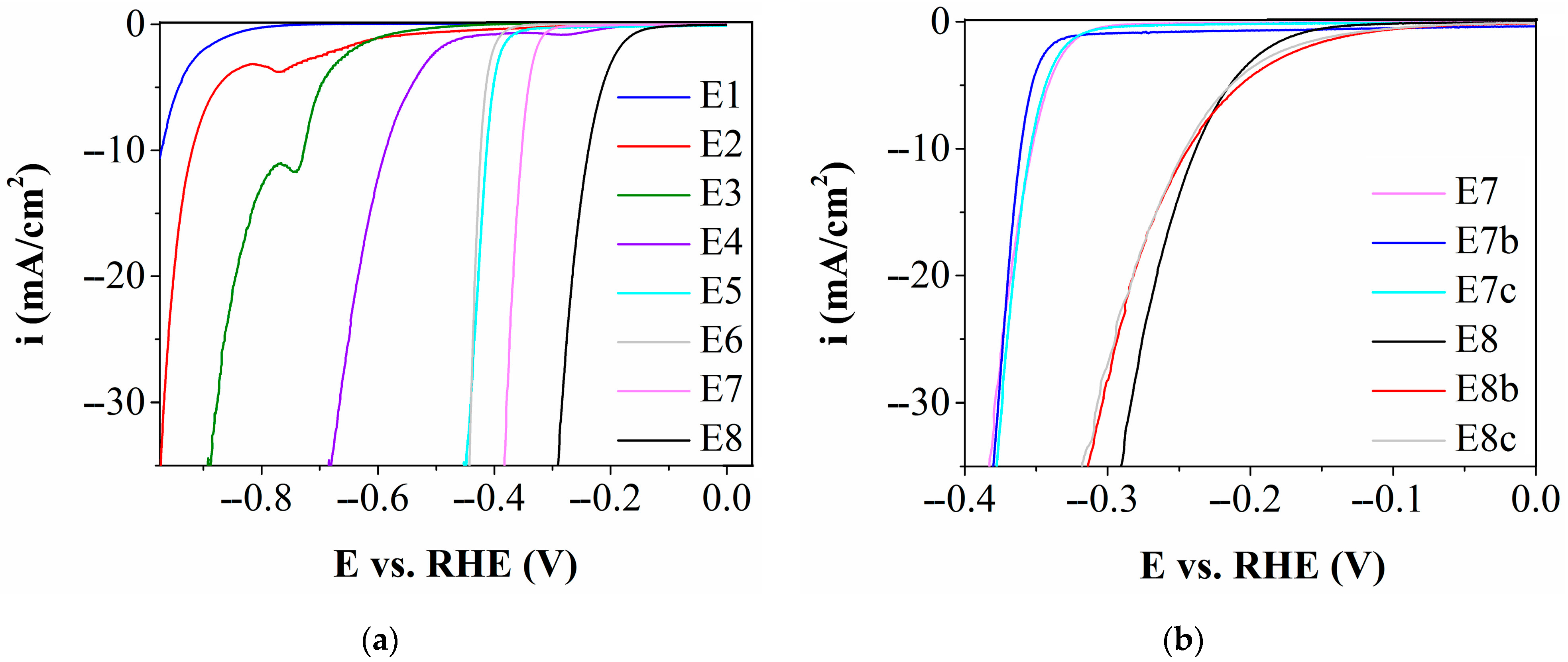
3.3. Water Electrolysis Study
4. Conclusions
Supplementary Materials
Author Contributions
Funding
Data Availability Statement
Acknowledgments
Conflicts of Interest
Abbreviations
| SEM | Scanning electron microscopy |
| XRD | X-ray diffraction |
| HER | Hydrogen evolution reaction |
| OER | Oxygen evolution reaction |
| ηHER | HER overpotential |
| LSV | Linear sweep voltammogram |
| RHE | Reversible hydrogen electrode |
| ECSA | Electrochemically active surface area |
| Rf | Roughness factor |
| Cdl | Electrical double layer capacitance |
| idl | Capacitive current density |
| EIS | Electrochemical impedance spectroscopy |
| Raman | Raman spectroscopy |
References
- Hosseini, S.H.; Tsolakis, A.; Alagumalai, A.; Mahian, O.; Lam, S.S.; Pan, J.; Peng, W.; Tabatabaei, M.; Aghbashlo, M. Use of Hydrogen in Dual-Fuel Diesel Engines. Prog. Energy Combust. Sci. 2023, 98, 101100. [Google Scholar] [CrossRef]
- Filonchyk, M.; Peterson, M.P.; Zhang, L.; Hurynovich, V.; He, Y. Greenhouse Gases Emissions and Global Climate Change: Examining the Influence of CO2, CH4, and N2O. Sci. Total Environ. 2024, 935, 173359. [Google Scholar] [CrossRef]
- Pan, X.; Zhou, H.; Baimbetov, D.; Syrlybekkyzy, S.; Akhmetov, B.B.; Abbas, Q. Development Status and Future Prospects of Hydrogen Energy Technology: Production, Storage, and Cost Analysis. Adv. Energy Sustain. Res. 2025, 6, 2400451. [Google Scholar] [CrossRef]
- Chi, J.; Yu, H. Water Electrolysis Based on Renewable Energy for Hydrogen Production. Chin. J. Catal. 2018, 39, 390–394. [Google Scholar] [CrossRef]
- Lee, J.E.; Jeon, K.-J.; Show, P.L.; Lee, I.H.; Jung, S.-C.; Choi, Y.J.; Rhee, G.H.; Lin, K.-Y.A.; Park, Y.-K. Mini Review on H2 Production from Electrochemical Water Splitting According to Special Nanostructured Morphology of Electrocatalysts. Fuel 2022, 308, 122048. [Google Scholar] [CrossRef]
- Vedrtnam, A.; Kalauni, K.; Pahwa, R. Water Electrolysis Technologies and Their Modeling Approaches: A Comprehensive Review. Eng 2025, 6, 81. [Google Scholar] [CrossRef]
- Kumar, S.S.; Lim, H. An Overview of Water Electrolysis Technologies for Green Hydrogen Production. Energy Rep. 2022, 8, 13793–13813. [Google Scholar] [CrossRef]
- Avani, A.V.; Anila, E.I. Recent Advances of MoO3 Based Materials in Energy Catalysis: Applications in Hydrogen Evolution and Oxygen Evolution Reactions. Int. J. Hydrogen Energy 2022, 47, 20475–20493. [Google Scholar] [CrossRef]
- Lee, J.; Lee, S.A.; Lee, T.H.; Jang, H.W. Unlocking the Potential of Chemical-Assisted Water Electrolysis for Green Hydrogen Production. Ind. Chem. Mater. 2025, 3, 277–310. [Google Scholar] [CrossRef]
- Amini Horri, B.; Ozcan, H. Green Hydrogen Production by Water Electrolysis: Current Status and Challenges. Curr. Opin. Green Sustain. Chem. 2024, 47, 100932. [Google Scholar] [CrossRef]
- Irshad, H.; Zia, M.; Al-Hajri, R.; Khattak, Z.A.K.; Al-Abri, M.; Ahmad, N.; Younus, H.A. Electrocatalysts for Hydrogen and Oxygen Evolution Reactions under Neutral/near-Neutral Conditions: Summary and Challenges. Int. J. Hydrogen Energy 2025, 137, 1009–1041. [Google Scholar] [CrossRef]
- Zhong, G.; Zhao, R.; Shi, Y.-R.; Li, C.-R.; He, L.; He, L.; Huang, Y. Thermal shock synthesis of carbon nanotubes supporting small-sized rhenium nanoparticles for efficient electrocatalytic hydrogen evolution. Rare Met. 2023, 42, 2166–2173. [Google Scholar] [CrossRef]
- Qiu, L.; Tian, F.; He, L.; Li, M.; Lin, F.; Li, L.; Ren, X.; Wu, F.; Li, L.; Zhang, T.; et al. Robust Interfacial Hydrogen-Bond Network on Positively Charged Ru-N-Ni Dual Sites Boosts Alkaline Hydrogen Electrocatalysis. Adv. Mater. 2025, e12568, Early View. [Google Scholar] [CrossRef] [PubMed]
- Kumar, R.S.; Ramakrishnan, S.; Prabhakaran, S.; Kim, A.R.; Kumar, D.R.; Kim, D.H.; Yoo, D.J. Structural, Electronic, and Electrocatalytic Evaluation of Spinel Transition Metal Sulfide Supported Reduced Graphene Oxide. J. Mater. Chem. A 2022, 10, 1999–2011. [Google Scholar] [CrossRef]
- Kumar, R.S.; Karthikeyan, S.C.; Ramakrishnan, S.; Vijayapradeep, S.; Kim, A.R.; Kim, J.-S.; Yoo, D.J. Anion Dependency of Spinel Type Cobalt Catalysts for Efficient Overall Water Splitting in an Acid Medium. Chem. Eng. J. 2023, 451, 138471. [Google Scholar] [CrossRef]
- Wang, S.; Lu, A.; Zhong, C.J. Hydrogen Production from Water Electrolysis: Role of Catalysts. Nano Converg. 2021, 8, 4. [Google Scholar] [CrossRef]
- Durovic, M.; Hnat, J.; Bouzek, K. Electrocatalysts for the Hydrogen Evolution Reaction in Alkaline and Neutral Media: A Comparative Review. J. Power Sources 2021, 493, 229708. [Google Scholar] [CrossRef]
- Shi, Q.; Zhu, C.; Du, D.; Lin, Y. Robust Noble Metal-Based Electrocatalysts for Oxygen Evolution Reaction. Chem. Soc. Rev. 2019, 48, 3181–3192. [Google Scholar] [CrossRef]
- González-Poggini, S. Hydrogen Evolution Descriptors: A Review for Electrocatalyst Development and Optimization. Int. J. Hydrogen Energy 2024, 59, 30–42. [Google Scholar] [CrossRef]
- Gao, G.; Zhao, G.; Zhu, G.; Sun, B.; Sun, Z.; Li, S.; Lan, Y.-Q. Recent Advancements in Noble-Metal Electrocatalysts for Alkaline Hydrogen Evolution Reaction. Chin. Chem. Lett. 2025, 36, 109557. [Google Scholar] [CrossRef]
- Kazemi, A.; Manteghi, F.; Tehrani, Z. Metal Electrocatalysts for Hydrogen Production in Water Splitting. ACS Omega 2024, 9, 7310–7335. [Google Scholar] [CrossRef]
- Tripathi, P.; Verma, A.K.; Sinha, A.S.K.; Singh, S. Graphene-Transition Metal Electrocatalysts for Sustainable Water Electrolysis. ChemistrySelect 2024, 9, e202403155. [Google Scholar] [CrossRef]
- Shi, Y.; Xiao, S.; Jiao, S.; Wang, Y.; Jiang, F.; Wang, R.; Zhang, Y.; Liu, J.; Qiao, J.; Hu, Z.; et al. Hydrogen Evolution Electrodes: Materials and Mechanisms in Alkaline Electrolysis. Desalination 2024, 586, 117887. [Google Scholar] [CrossRef]
- Jayakumar, A.; Krishnan, A. Co-TiO2 as a UV-Visible Photocatalyst for Hydrogen Generation by Alkaline Water Splitting. Mater. Lett. 2025, 399, 139003. [Google Scholar] [CrossRef]
- Li, R.; Hu, B.; Yu, T.; Shao, Z.; Wang, Y.; Song, S. New TiO2-Based Oxide for Catalyzing Alkaline Hydrogen Evolution Reaction with Noble Metal-Like Performance. Small Methods 2021, 5, 2100246. [Google Scholar] [CrossRef]
- Alsawat, M.; Alshehri, N.A.; Shaltout, A.A.; Ahmed, S.I.; Al-Malki, H.M.O.; Das, M.R.; Boukherrou, R.; Amin, M.A.; Ibrahim, M.M. Enhanced Alkaline Hydrogen Evolution on Gd1.0/Ndx (x = 0.5, 1.0, 3.0, and 6.0%)-Doped TiO2 Bimetallic Electrocatalysts. Catalysts 2023, 13, 1192. [Google Scholar] [CrossRef]
- Chen, J.; Gao, Y.; Yang, W.; Li, Z.; Xiong, K. Effect of Different Crystalline Phase of TiO2 on the Catalytic Activity of Ru Catalysts in Hydrogen Evolution under Acidic and Alkaline Media. Int. J. Hydrogen Energy 2024, 52, 302–310. [Google Scholar] [CrossRef]
- Capozzoli, L.; Caprì, A.; Baglio, V.; Berretti, E.; Evangelisti, C.; Filippi, J.; Gatto, I.; Lavacchi, A.; Pagliaro, M.; Vizza, F. Ruthenium-Loaded Titania Nanotube Arrays as Catalysts for the Hydrogen Evolution Reaction in Alkaline Membrane Electrolysis. J. Power Sources 2023, 562, 232747. [Google Scholar] [CrossRef]
- Chen, J.; Zhou, Y.; Li, R.; Wang, X.; Chen, G.Z. Highly-Dispersed Nickel Nanoparticles Decorated Titanium Dioxide Nanotube Array for Enhanced Solar Light Absorption. Appl. Surf. Sci. 2019, 464, 716–724. [Google Scholar] [CrossRef]
- Cheshideh, H.; Nasirpouri, F. Cyclic Voltammetry Deposition of Nickel Nanoparticles on TiO2 Nanotubes and Their Enhanced Properties for Electro-Oxidation of Methanol. J. Electroanal. Chem. 2017, 797, 121–133. [Google Scholar] [CrossRef]
- Cao, H.; Tong, C.; Zhang, H.; Zheng, G. Mechanism of MoO2 Electrodeposition from Ammonium Molybdate Solution. Trans. Nonferrous Met. Soc. China 2019, 29, 1744–1752. [Google Scholar] [CrossRef]
- Taranu, B.-O.; Svera, P.; Buse, G.; Poienar, M. Insights into the Electrocatalytic Activity of Mixed-Valence Mn3+/Mn4+ and Fe2+/Fe3+ Transition Metal Oxide Materials. Solids 2025, 6, 48. [Google Scholar] [CrossRef]
- Ciriaco, M.L.F.; Silva-Pereira, M.I.; Nunes, M.R.; Costa, F.M. Electrochemical Behaviour of BaSn0.9Sb0.1O3 Coated Titanium Electrodes. Port. Electrochim. Acta 1999, 17, 149–156. [Google Scholar] [CrossRef]
- Roy, P.; Berger, S.; Schmuki, P. TiO2 Nanotubes: Synthesis and Applications. Angew. Chem. Int. Ed. Engl. 2011, 50, 2904–2939. [Google Scholar] [CrossRef]
- Banica, R.; Barvinschi, P.; Vaszilcsin, N.; Nyari, T. A Comparative Study of the Electrochemical Deposition of Molybdenum Oxides Thin Films on Copper and Platinum. J. Alloys Compd. 2009, 483, 402–405. [Google Scholar] [CrossRef]
- Jian, C.; Yuan, J.; Cai, Q.; Hong, W.; Liu, W. Self-Standing Mo/MoO2 Porous Flake Arrays for Efficient Hydrogen Evolution Reaction in High-pH Media. ACS Appl. Mater. Interfaces 2024, 16, 55569–55577. [Google Scholar] [CrossRef] [PubMed]
- Liu, Z.-Z.; Fan, R.-Y.; Yu, N.; Zhou, Y.-N.; Zhang, X.-Y.; Dong, B.; Yan, Z.-F. Facile Synthesis of Ni(OH)2 through Low-Temperature N-Doping for Efficient Hydrogen Evolution. Catalysts 2024, 14, 534. [Google Scholar] [CrossRef]
- Zhang, D.; Qian, X.; Li, X.; Wang, K. Effect of Vacuum Heat Treatment on Microstructures and Mechanical Properties of 7A52 Aluminum Alloy-Al2O3 Ceramic Brazed Joints. Front. Mater. 2021, 8, 634658. [Google Scholar] [CrossRef]
- Nsanzimana, J.M.V.; Jose, V.; Sk, M.; Reddu, V.; Li, X.; Dangol, R.; Hao, R.; Huang, Z.; Yan, Q.; Thapa, R.; et al. Unlocking the Oxygen Evolving Activity of Molybdenum Nickel Bifunctional Electrocatalyst for Efficient Water Splitting. Small 2025, 21, 2500587. [Google Scholar] [CrossRef]
- Inguanta, R.; Spano, T.; Piazza, S.; Sunseri, C.; Barreca, F.; Fazio, E.; Neri, F.; Silipigni, L. Electrodeposition and Characterization of Mo Oxide Nanostructures. Chem. Eng. Trans. 2015, 43, 685–690. [Google Scholar] [CrossRef]
- Ayub, M.N.; Shahzad, U.; Rabbee, M.F.; Saeed, M.; Khan, M.M.R.; Rahman, M.M. Recent Advances on Water Electrolysis Based on Nanoscale Inorganic Metal-Oxides and Metal-Oxyhydroxides for Hydrogen Energy Production. Int. J. Hydrogen Energy 2025, 97, 307–327. [Google Scholar] [CrossRef]
- AlAqad, K.M.; Kandiel, T.A.; Jahangir, T.N.; Qamar, M.; Basheer, C. TiO2 Nanotubes Modified with Cobalt Oxyphosphide Spheres for Efficient Electrocatalytic Hydrogen Evolution Reaction in Alkaline Medium. Electrochim. Acta 2023, 456, 142436. [Google Scholar] [CrossRef]
- Savva, A.I.; Smith, K.A.; Lawson, M.; Croft, S.R.; Weltner, A.E.; Jones, C.D.; Bull, H.; Simmonds, P.J.; Li, L.; Xiong, H. Defect Generation in TiO2 Nanotube Anodes via Heat Treatment in Various Atmospheres for Lithium-Ion Batteries. Phys. Chem. Chem. Phys. 2018, 20, 22537–22546. [Google Scholar] [CrossRef] [PubMed]
- Sopha, H.; Mirza, I.; Turčičova, H.; Pavlinak, D.; Michalicka, J.; Krbal, M.; Rodriguez-Pereira, J.; Hromadko, L.; Novák, O.; Mužík, J.; et al. Laser-Induced Crystallization of Anodic TiO2 Nanotube Layers. RSC Adv. 2020, 10, 22137–22145. [Google Scholar] [CrossRef] [PubMed]
- Perivoliotis, D.K.; Ekspong, J.; Zhao, X.; Hu, G.; Wågberg, T.; Gracia-Espino, E. Recent Progress on Defect-Rich Electrocatalysts for Hydrogen and Oxygen Evolution Reactions. Nano Today 2023, 50, 101883. [Google Scholar] [CrossRef]
- Park, J.; Kim, H.; Han, G.H.; Kim, J.; Yoo, S.J.; Kim, H.-J.; Ahn, S.H. Electrochemically Fabricated MoO3–MoO2@NiMo Heterostructure Catalyst with Pt-like Activity for the pH-Universal Hydrogen Evolution Reaction. J. Mater. Chem. A 2021, 9, 3677–3684. [Google Scholar] [CrossRef]
- Liu, X.; Ni, K.; Niu, C.; Guo, R.; Xi, W.; Wang, Z.; Meng, J.; Li, J.; Zhu, Y.; Wu, P.; et al. Upraising the O 2p Orbital by Integrating Ni with MoO2 for Accelerating Hydrogen Evolution Kinetics. ACS Catal. 2019, 9, 2275–2285. [Google Scholar] [CrossRef]
- Taranu, B.; Fagadar-Cosma, E.; Sfirloaga, P.; Poienar, M. Free-Base Porphyrin Aggregates Combined with Nickel Phosphite for Enhanced Alkaline Hydrogen Evolution. Energies 2023, 16, 1212. [Google Scholar] [CrossRef]
- Wu, Z.Y.; Hu, B.C.; Wu, P.; Liang, H.W.; Yu, Z.L.; Lin, Y.; Zheng, Y.R.; Li, Z.; Yu, S.H. Mo2C Nanoparticles Embedded within Bacterial Cellulose-Derived 3D N-Doped Carbon Nanofiber Networks for Efficient Hydrogen Evolution. NPG Asia Mater. 2016, 8, e288. [Google Scholar] [CrossRef]
- Bao, F.; Kemppainen, E.; Dorbandt, I.; Bors, R.; Xi, F.; Schlatmann, R.; van de Krol, R.; Calnan, S. Understanding the Hydrogen Evolution Reaction Kinetics of Electrodeposited Nickel-Molybdenum in Acidic, near-Neutral, and Alkaline Conditions. ChemElectroChem 2021, 8, 195–208. [Google Scholar] [CrossRef]
- Pan, Y.; Fang, Y.; Jin, H.; Zhang, M.; Wang, L.; Ma, S.; Zhu, H.; Du, M. A Highly Active and Robust CoP/CoS2-Based Electrocatalyst Toward Overall Water Splitting. Electrocatalysis 2019, 10, 253–261. [Google Scholar] [CrossRef]
- Liu, J.; Wang, C.; Sun, H.; Wang, H.; Rong, F.; He, L.; Lou, Y.; Zhang, S.; Zhang, Z.; Du, M. CoOx/CoNy Nanoparticles Encapsulated Carbon-Nitride Nanosheets as an Efficiently Trifunctional Electrocatalyst for Overall Water Splitting and Zn-Air Battery. Appl. Catal. B Environ. 2020, 279, 119407. [Google Scholar] [CrossRef]
- Ohsaka, T.; Izumi, F.; Fujiki, Y. Raman Spectrum of Anatase, TiO2. J. Raman Spectrosc. 1978, 7, 321–324. [Google Scholar] [CrossRef]
- Hua, W.; Sun, H.-H.; Xu, F.; Wang, J.-G. A Review and Perspective on Molybdenum-Based Electrocatalysts for Hydrogen Evolution Reaction. Rare Met. 2020, 39, 335–351. [Google Scholar] [CrossRef]
- Pavlova, A.; Mironova-Ulmane, N.; Berzina-Cimdina, L.; Locs, J. Micro-Raman Spectroscopy of TiO2. Available online: https://solinstruments.com/wp-content/uploads/2009-SSP-Raman-Spectroscopy-TiO2.pdf (accessed on 24 November 2025).
- Wang, W.; Mao, Z.; Ren, Y.; Meng, F.; Shi, X.; Zhao, B. Operando Raman Spectroscopic Evidence of Electron–Phonon Interactions in NiO/TiO2 Pn Junction Photodetectors. Chem. Commun. 2021, 57, 12333–12336. [Google Scholar] [CrossRef]
- Luo, M.; Yang, J.; Li, X.; Eguchi, M.; Yamauchi, Y.; Wang, Z.-L. Insights into Alloy/Oxide or Hydroxide Interfaces in Ni–Mo-Based Electrocatalysts for Hydrogen Evolution under Alkaline Conditions. Chem. Sci. 2023, 14, 3400–3414. [Google Scholar] [CrossRef]
- Bruno, L.; Battiato, S.; Scuderi, M.; Priolo, F.; Terrasi, A.; Mirabella, S. Physical Insights into Alkaline Overall Water Splitting with NiO Microflowers Electrodes with Ultra-Low Amount of Pt Catalyst. Int. J. Hydrogen Energy 2022, 47, 33988–33998. [Google Scholar] [CrossRef]
- Faid, A.Y.; Barnett, A.O.; Seland, F.; Sunde, S. Ni/NiO Nanosheets for Alkaline Hydrogen Evolution Reaction: In Situ Electrochemical-Raman Study. Electrochim. Acta 2020, 361, 137040. [Google Scholar] [CrossRef]
- Zhou, Y.-N.; Li, M.-X.; Shi, Z.-N.; Zhou, J.-C.; Dong, B.; Jiang, W.; Liu, B.; Yu, J.-F.; Chai, Y.-M. Crystal–Amorphous NiO/MoO2 with a High-Density Interface for Hydrogen Evolution. Inorg. Chem. Front. 2022, 9, 2087–2096. [Google Scholar] [CrossRef]
- Wu, X.; Wang, Y.; Si, Y.; Ma, C.; Yu, J.; Liu, Y.-T.; Ding, B. Boron-Induced Sulfur Vacancies in ZnIn2S4 Nanosheets Coupled to TiO2 Nanofibers Enhance the Hydrogen Evolution Performance. Compos. Commun. 2021, 27, 100903. [Google Scholar] [CrossRef]
- Zhao, H.; Gao, G.; Wang, Y.; Chen, R.; Du, Y.; Wang, M.; Li, Z.; Liu, Y.; Wang, L. Growth of Carbon Nanotubes Coated CoP as Electrocatalyst for Hydrogen Evolution Reaction under Acidic and Alkaline Solutions. J. Alloys Compd. 2022, 927, 167057. [Google Scholar] [CrossRef]
- Wei, Z.; Zhao, Z.; Wang, J.; Zhou, Q.; Zhao, C.; Yao, Z.; Wang, J. Oxygen-Deficient TiO2 and Carbon Coupling Synergistically Boost the Activity of Ru Nanoparticles for the Alkaline Hydrogen Evolution Reaction. J. Mater. Chem. A 2021, 9, 10160–10168. [Google Scholar] [CrossRef]
- Sekar, S.; Ahmed, A.T.A.; Pawar, S.M.; Lee, Y.; Im, H.; Kim, D.Y.; Lee, S. Enhanced Water Splitting Performance of Biomass Activated Carbon-Anchored WO3 Nanoflakes. Appl. Surf. Sci. 2020, 508, 145127. [Google Scholar] [CrossRef]
- Liu, P.F.; Yang, S.; Zhang, B.; Yang, H.G. Defect-Rich Ultrathin Cobalt–Iron Layered Double Hydroxide for Electrochemical Overall Water Splitting. ACS Appl. Mater. Interfaces 2016, 8, 34474–34481. [Google Scholar] [CrossRef] [PubMed]
- Manikandan, R.; Sadhasivam, S.; Lee, S.; Seung-Cheol, C.; Kumar, K.A.; Bathula, C.; Sree, V.G.; Kim, D.Y.; Sekar, S. Deep Eutectic Solvents Assisted Synthesis of AC-Decorated NiO Nanocomposites for Hydrogen Evolution Reaction. J. Mol. Liq. 2023, 375, 121338. [Google Scholar] [CrossRef]
- Manikandan, R.; Sekar, S.; Mani, S.P.; Lee, S.; Kim, D.Y.; Saravanan, S. Bismuth Tungstate-Anchored PEDOT: PSS Materials for High Performance HER Electrocatalyst. Int. J. Hydrogen Energy 2023, 48, 11746–11753. [Google Scholar] [CrossRef]
- Devi, S.B.; Sekar, S.; Kowsuki, K.; Maiyalagan, T.; Preethi, V.; Nirmala, R.; Lee, S.; Navamathavan, R. Graphitic Carbon Nitride Encapsulated Sonochemically Synthesized β-Nickel Hydroxide Nanocomposites for Electrocatalytic Hydrogen Generation. Int. J. Hydrogen Energy 2022, 47, 40349–40358. [Google Scholar] [CrossRef]
- Sekar, S.; Park, S.; Jung, J.; Lee, S. Superb Bifunctional Water Electrolysis Activities of Carbon Nanotube-Decorated Lanthanum Hydroxide Nanocomposites. Int. J. Energy Res. 2023, 2023, 6685726. [Google Scholar] [CrossRef]
- Lin, T.W.; Liu, C.J.; Dai, C.S. Ni3S2/Carbon Nanotube Nanocomposite as Electrode Material for Hydrogen Evolution Reaction in Alkaline Electrolyte and Enzyme-Free Glucose Detection. Appl. Catal. B Environ. 2014, 154–155, 213–220. [Google Scholar] [CrossRef]
- Jin, L.; Lv, C.; Wang, J.; Xia, H.; Zhao, Y.; Huang, Z. Co9S8 Nanotubes as an Efficient Catalyst for Hydrogen Evolution Reaction in Alkaline Electrolyte. Am. J. Anal. Chem. 2016, 07, 210–218. [Google Scholar] [CrossRef]
- Zhao, X.; Pachfule, P.; Li, S.; Simke, J.R.J.; Schmidt, J.; Thomas, A. Bifunctional Electrocatalysts for Overall Water Splitting from an Iron/Nickel-Based Bimetallic Metal–Organic Framework/Dicyandiamide Composite. Angew. Chem. Int. Ed. Engl. 2018, 57, 8921–8926. [Google Scholar] [CrossRef]
- Ren, A.; Yu, B.; Huang, M.; Liu, Z. Encapsulation of Cobalt Prussian Blue Analogue-Derived Ultra-Small CoP Nanoparticles in Electrospun N-Doped Porous Carbon Nanofibers as an Efficient Bifunctional Electrocatalyst for Water Splitting. Int. J. Hydrogen Energy 2024, 51, 490–502. [Google Scholar] [CrossRef]
- Zhi, L.; Zhang, M.; Tu, J.; Li, M.; Liu, J. Coordination Polymer and Layered Double Hydroxide Dual-Precursors Derived Polymetallic Phosphides Confined in N-Doped Hierarchical Porous Carbon Nanoflower as a Highly Efficient Bifunctional Electrocatalyst for Overall Water Splitting. J. Colloid Interface Sci. 2024, 659, 82–93. [Google Scholar] [CrossRef] [PubMed]
- Wang, J.; Chen, F.; Dai, W.; Sun, X.; Zhao, Z.; Song, S.; Peng, W.; Zhou, J.; Gao, F. Boosting Alkaline Water Electrolysis via KOH Concentration-Adaptive Phosphorus-Doped CoNiO/NF Bifunctional Electrocatalyst. Inorg. Chem. Commun. 2025, 179, 114727. [Google Scholar] [CrossRef]
- Sfirloaga, P.; Bognár, S.; Taranu, B.-O.; Vlazan, P.; Merkulov, D.Š. Co- and Sn-Doped YMnO3 Perovskites for Electrocatalytic Water-Splitting and Photocatalytic Pollutant Degradation. Coatings 2025, 15, 475. [Google Scholar] [CrossRef]
- Deng, R.; Yao, H.; Wang, Y.; Wang, C.; Zhang, S.; Guo, S.; Li, Y.; Ma, S. Interface Effect of Fe Doped NiSe/Ni3Se2 Heterojunction as Highly Efficient Electrocatalysts for Overall Water Splitting. Chem. Eng. J. 2024, 488, 150996. [Google Scholar] [CrossRef]
- Ye, H.; Su, J.; Yang, G.; Zhou, L.; Xie, Y.; Zhan, X.; Tian, J.; Tong, X. Boosting HER Activity of FeCoNiMnZn High-Entropy Alloys Supported on Nitrogen-Doped Carbon Nanotubes. Mater. Today Commun. 2025, 45, 112365. [Google Scholar] [CrossRef]
- Chen, Y.; Mao, J.; Zhou, H.; Xing, L.; Qiao, S.; Yuan, J.; Mei, B.; Wei, Z.; Zhao, S.; Tang, Y.; et al. Coordination Shell Dependent Activity of CuCo Diatomic Catalysts for Oxygen Reduction, Oxygen Evolution, and Hydrogen Evolution Reaction. Adv. Funct. Mater. 2024, 34, 2311664. [Google Scholar] [CrossRef]






| Electrode Code | Description |
|---|---|
| E1 | Ti disk |
| E2 | Ti disk modified with TiO2 nanotubes |
| E3 | Ti disk modified with TiO2 nanotubes + thermal treatment in air atmosphere |
| E4 | Ti disk modified with TiO2 nanotubes and electrodeposited MoO2 |
| E5 | Ti disk modified with TiO2 nanotubes and electrodeposited MoO2 + thermal treatment in air atmosphere |
| E6 | Ti disk modified with TiO2 nanotubes, immersed in Ni solution and exposed to NH3 vapors + thermal treatment in air atmosphere |
| E7 | Ti disk modified with TiO2 nanotubes and electrodeposited MoO2, immersed in Ni solution and exposed to NH3 vapors + thermal treatment in air atmosphere |
| E8 | Ti disk modified with TiO2 nanotubes and electrodeposited MoO2, immersed in Ni solution and exposed to NH3 vapors + thermal treatment under vacuum |
| Electrode Code | E1 | E2 | E3 | E4 | E5 | E6 | E7 | E8 |
|---|---|---|---|---|---|---|---|---|
| ηHER (V) | 0.970 | 0.920 | 0.726 | 0.587 | 0.423 | 0.415 | 0.353 | 0.237 |
| Parameter | Cdl (mF/cm2) | Rf | ECSA (cm2) | HER Tafel Slope (V/dec) |
|---|---|---|---|---|
| Electrode | ||||
| E7 | 0.29 (R2 = 0.9995) | 4.83 | 1.35 | 0.040 (R2 = 0.9992) |
| E8 | 0.57 (R2 = 0.9979) | 9.5 | 2.66 | 0.071 (R2 = 0.9996) |
Disclaimer/Publisher’s Note: The statements, opinions and data contained in all publications are solely those of the individual author(s) and contributor(s) and not of MDPI and/or the editor(s). MDPI and/or the editor(s) disclaim responsibility for any injury to people or property resulting from any ideas, methods, instructions or products referred to in the content. |
© 2026 by the authors. Licensee MDPI, Basel, Switzerland. This article is an open access article distributed under the terms and conditions of the Creative Commons Attribution (CC BY) license.
Share and Cite
Taranu, B.-O.; Banica, R.; Rus, F.S. Novel TiO2 Nanotube-Based Electrocatalysts for the Hydrogen Evolution Reaction in Alkaline Medium. Nanoenergy Adv. 2026, 6, 5. https://doi.org/10.3390/nanoenergyadv6010005
Taranu B-O, Banica R, Rus FS. Novel TiO2 Nanotube-Based Electrocatalysts for the Hydrogen Evolution Reaction in Alkaline Medium. Nanoenergy Advances. 2026; 6(1):5. https://doi.org/10.3390/nanoenergyadv6010005
Chicago/Turabian StyleTaranu, Bogdan-Ovidiu, Radu Banica, and Florina Stefania Rus. 2026. "Novel TiO2 Nanotube-Based Electrocatalysts for the Hydrogen Evolution Reaction in Alkaline Medium" Nanoenergy Advances 6, no. 1: 5. https://doi.org/10.3390/nanoenergyadv6010005
APA StyleTaranu, B.-O., Banica, R., & Rus, F. S. (2026). Novel TiO2 Nanotube-Based Electrocatalysts for the Hydrogen Evolution Reaction in Alkaline Medium. Nanoenergy Advances, 6(1), 5. https://doi.org/10.3390/nanoenergyadv6010005

