Monthly Occurrence of Endoparasites of Chaetognaths in a Coastal System of the Mexican Central Pacific
Abstract
1. Introduction
2. Materials and Methods
2.1. Sampling and Data Collection
2.2. Chaetognath and Parasite Morphological Identification
2.3. Data Analysis
2.3.1. Abundance and Prevalence
2.3.2. Ecological Ordination
3. Results
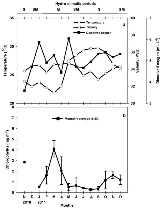
3.1. Hydrographic Seasonal Variability
3.2. Community Structure of Chaetognaths and Their Parasites
3.3. Seasonal Variability of Chaetognath and Parasite Abundances
3.4. Seasonality of Parasitized Chaetognaths
4. Discussion
4.1. Component Community of Parasites
4.2. Parasite–Host Abundance and Prevalence Relationship
5. Conclusions
Supplementary Materials
Author Contributions
Funding
Institutional Review Board Statement
Informed Consent Statement
Data Availability Statement
Acknowledgments
Conflicts of Interest
References
- Foster, L.; Gregory, A.L. Chaetognaths (Arrowworms). In Invertebrate Medicine; Lewbart, G.A., Ed.; John Wiley and Sons, Inc.: Hoboken, NJ, USA, 2022; pp. 563–577. [Google Scholar]
- Vannier, J.; Steiner, M.; Renvoisé, E.; Hu, S.X.; Casanova, J.P. Early Cambrian origin of modern food webs: Evidence from predator arrow worms. Proc. R. Soc. B Biol. Sci. 2007, 274, 627–633. [Google Scholar] [CrossRef]
- Nagasawa, K.; Takahashi, K.; Tanaka, S.; Nagata, M. Ecology of Pectenophilus ornatus, a copepod parasite of the Japanese scallop Patinopecten yessoensis. Bull. Plankton Soc. Jpn. 1991, Special Volume, 495–502. [Google Scholar]
- Øresland, V. Parasites of the chaetognath Sagitta setosa in the western English Channel. Mar. Biol. 1986, 92, 87–91. [Google Scholar] [CrossRef]
- Øresland, V.; Bray, R.A. Parasites and headless chaetognaths in the Indian Ocean. Mar. Biol. 2005, 147, 725–734. [Google Scholar] [CrossRef]
- Pierrot-Bults, A.C. Diseases of Chaetognatha. In Diseases of Marine Animals; Kinne, O., Ed.; Biological Institute Helgoland (BAH): Hamburg, Germany, 1990; Volume 3, pp. 425–437. [Google Scholar]
- Pierrot-Bults, A.C.; Nair, V.R. Distribution patterns in Chaetognatha. In The Biology of Chaetognaths; Bone, Q., Kapp, H., Pierrot-Bults, A.C., Eds.; Oxford University Press: Oxford, UK, 1991; pp. 86–116. [Google Scholar]
- Barthelemy, R.M.; Goto, T.; Faure, E. Serendipitous discovery in a marine invertebrate (Phylum Chaetognatha) of the longest giant viruses reported till date. Virol. Curr. Res. 2019, 3, 13. [Google Scholar]
- González-Solís, D.; Gasca, R. First record of the bathypelagic chaetognath Heterokrohnia involucrum Dawson, 1968 in the Gulf of California and its association with a parasitic nematode. Thalass. Int. J. Mar. Sci. 2018, 34, 227–232. [Google Scholar] [CrossRef]
- Lozano-Cobo, H.; Gómez-Gutiérrez, J.; Franco-Gordo, C.; Gómez del Prado, M.C. The discovery of acanthocephalans parasitizing chaetognaths. Acta Parasitol. 2017, 62, 401–411. [Google Scholar] [CrossRef] [PubMed]
- Lozano-Cobo, H.; Gómez-Gutiérrez, J.; Franco-Gordo, C.; Gómez del Prado-Rosas, M.C.; Plascencia-Palomera, V.; Ambriz-Arreola, I. Changes in parasite-chaetognath species assemblages in the Mexican Central Pacific before and during El Niño 1997–1998. Dis. Aquat. Org. 2018, 129, 215–238. [Google Scholar] [CrossRef] [PubMed]
- Lozano-Cobo, H.; Oceguera-Figuero, A.; Silva-Segundo, C.A.; Robinson, C.J.; Gómez-Gutiérrez, J. Finding a needle in a haystack: Larval stages of Didymozoidae (Trematoda: Digenea) parasitizing marine zooplankton. Parasitol. Res. 2022, 121, 2661–2672. [Google Scholar] [CrossRef]
- Ambriz-Arreola, I.; Gómez-Gutiérrez, J.; Franco-Gordo, C.; Lavaniegos, B.E.; Godínez-Domínguez, E. Influence of coastal upwelling-downwelling variability on tropical euphausiid abundance and community structure in the inshore Mexican central Pacific. Mar. Ecol. Prog. Ser. 2012, 451, 119–136. [Google Scholar] [CrossRef]
- Franco-Gordo, C.; Ambriz-Arreola, I.; Kozak, E.R.; Gómez-Gutiérrez, J.; Plascencia-Palomera, V.; Godínez-Domínguez, E.; Hinojosa-Larios, A. Seasonal succession of zooplankton taxonomic group assemblages in surface waters of Bahía de Navidad, Mexico (November 2010–December 2011). Hidrobiól. 2015, 25, 335–345. [Google Scholar]
- Kozak, E.R.; Franco-Gordo, C.; Palomares-García, R.; Gómez-Gutiérrez, J.; Suárez-Morales, E. Annual egg production rates of calanoid copepod species on the continental shelf of the Eastern Tropical Pacific off Mexico. Estuar. Coast. Shelf Sci. 2017, 184, 138–150. [Google Scholar] [CrossRef]
- Alvariño, A. Quetognatos epiplanctónicos del Mar de Cortés. Rev. Soc. Mex. Hist. Nat. 1963, 34, 97–203. [Google Scholar]
- Alvariño, A. Chaetognaths. Oceanogr. Mar. Biol. Annu. Rev. 1965, 3, 115–195. [Google Scholar]
- Bieri, R. Six new genera in the chaetognath family Sagittidae. Gulf Caribb. Res. 1991, 8, 221–225. [Google Scholar] [CrossRef][Green Version]
- Lozano-Cobo, H.; Gómez del Prado-Rosas, M.C.; Sánchez-Velasco, L.; Gómez-Gutiérrez, J. Seasonal variation in chaetognath and parasite species assemblages along the northeastern coast of the Yucatan Peninsula. Dis. Aquat. Org. 2017, 124, 55–75. [Google Scholar] [CrossRef]
- Gibson, D.I.; Jonesand, A.; Bray, R.A. Keys to the Trematoda; CAB International and Natural History Museum: London, UK, 2002; Volume 1. [Google Scholar]
- Jones, A.; Bray, R.A.; Gibson, D.I. Keys to the Trematoda; CAB International and Natural History Museum: London, UK, 2005; Volume 2. [Google Scholar]
- Bray, R.A.; Gibson, D.I.; Jones, A. Keys to the Trematoda; CAB International and Natural History Museum: London, UK, 2008; Volume 3. [Google Scholar]
- Khalil, L.F.; Jones, A.; Bray, R.A. Keys to the Cestode Parasites of Vertebrates; CAB International and Natural History Museum: London, UK, 1994. [Google Scholar]
- Jensen, K.; Bullard, S.A. Characterization of a diversity of Tetraphyllidean and Rhinebothriidean cestode larval types, with comments on host associations and life-cycles. Int. J. Parasitol. 2010, 40, 889–910. [Google Scholar] [CrossRef]
- Rózsa, L.; Reiczigel, J.; Majoros, G. Quantifying parasites in samples of hosts. J. Parasitol. 2000, 86, 228–232. [Google Scholar] [CrossRef]
- Reiczigel, J. Confidence intervals for the binomial parameter: Some new considerations. Stat. Med. 2003, 22, 611–621. [Google Scholar] [CrossRef]
- McCune, B.; Mefford, M.J. PC–ORD Multivariate Analysis of Ecological Data Version 6 User’s Booklet; MJM Software Desing: Gleneden Beach, OR, USA, 2011. [Google Scholar]
- McCune, B.; Grace, J.; Urban, D. Analysis of Ecological Communities; MjM Software Desing: Gleneden Beach, OR, USA, 2002. [Google Scholar]
- Winter, H.A. Algunos tremátodos digéneos de peces marinos de aguas del océano Pacífico del sur de California USA y del litoral mexicano. Anales Inst. Biol. Univ. Nac. Autón. Méx. 1959, 30, 183–208. [Google Scholar]
- Bott, N.J.; Miller, T.L.; Cribb, T.H. Bucephalidae (Platyhelminthes: Digenea) of Plectropomus (Serranidae: Epinephalinae) in the tropical Pacific. Parasitol. Res. 2013, 112, 2561–2584. [Google Scholar] [CrossRef]
- Lebour, M.V. Some parasites of Sagitta bipunctata. J. Mar. Biol. Assoc. UK 1917, 11, 201–206. [Google Scholar] [CrossRef]
- Reimer, L.W.; Gerger, C.; Hener, B.; Lainka, H.; Rosenthal, I.; Scharnweber, L. On the distribution of larval helminths in planktonic animals of the North Sea. Parazitologiya 1971, 5, 542–550. [Google Scholar]
- Reimer, L.W.; Hnatiulk, S.; Rochner, J. Metacercarien in Planktieren des mittleren Atlantik. Wiss. Z. Padagog. Hochschule. 1975, 2, 239–258. [Google Scholar]
- Køie, M. On the morphology and life-history of Opechona bacillaris (Molin, 1859) Looss, 1907 (Trematoda, Lepocreadiidae). Ophelia 1975, 13, 63–86. [Google Scholar] [CrossRef]
- Daponte, M.C.; Gil de Pertierra, A.A.; Palmieri, M.A.; Ostrowski de Núñez, M. Monthly occurrence of parasites of the chaetognath Sagitta friderici off Mar del Plata, Argentina. J. Plankton Res. 2008, 30, 567–576. [Google Scholar] [CrossRef][Green Version]
- Daponte, M.C.; Gil de Pertierra, A.A.; Palmieri, M.A.; Ostrowski de Núñez, M. Parasite infections (Trematoda, Digenea) of Sagitta friderici (Chaetognatha) from the southwestern Atlantic Ocean: Prevalence and distribution. Dis. Aquat. Org. 2006, 71, 225–232. [Google Scholar] [CrossRef] [PubMed]
- Gómez del Prado-Rosas, M.C.; Álvarez-Cadena, J.N.; Segura-Puertas, L.; Lamothe-Argumedo, R. Hemiurid metacercariae (Trematoda) in chaetognaths from the Mexican Caribbean Sea. Comp. Parasitol. 2005, 72, 230–233. [Google Scholar] [CrossRef]
- Gómez del Prado-Rosas, M.C.; Álvarez-Cadena, J.N.; Segura-Puertas, L.; Lamothe-Argumedo, R. Didymozoid trematode Monilicaecum type in chaetognaths from the Mexican Caribbean Sea. Rev. Mex. Biodiv. 2007, 78, 483–487. [Google Scholar]
- Jarling, C.; Kapp, H. Infestation of Atlantic chaetognaths with helminths and ciliates. Dis. Aquat. Org. 1985, 1, 23–28. [Google Scholar] [CrossRef]
- Flores-Cascante, L.; Gómez-Gutiérrez, J.; Gómez del Prado-Rosas, M.C.; Gendron, D. Helminth load in feces of free-ranging blue and fin whales from the Gulf of California. Acta Parasitol. 2019, 64, 62563. [Google Scholar] [CrossRef]
- Gómez del Prado-Rosas, M.C.; Álvarez-Cadena, J.N.; Segura-Puertas, L.; Lamothe-Argumedo, R. First record of Torticaecum sp. (Trematoda: Didymozoidae) in the chaetognath Serratosagitta serratodentata (Krohn, 1853) from Caribbean waters. J. Plankton Res. 1999, 21, 1005–1008. [Google Scholar] [CrossRef][Green Version]
- Gómez del Prado-Rosas, M.C.; Álvarez-Cadena, J.N.; Segura-Puertas, L.; Lamothe-Argumedo, R. An accacoeliid metacercaria parasitizing the arrow worm Flaccisagitta enflata (Grassi, 1881) from the Mexican Caribbean Sea. Comp. Parasitol. 2002, 69, 108–111. [Google Scholar] [CrossRef]
- Poulin, R. Are there general laws in parasite ecology? Parasitol. 2007, 134, 763–776. [Google Scholar] [CrossRef] [PubMed]
- Álvarez-Cadena, J.N.; Suárez-Morales, E.; McLelland, J. Observations on an isolated population of Sagitta hispida Conant (Chaetognatha) in a tropical lagoon system of Northeast Yucatan (Mexico). Gulf Caribb. Res. 1996, 9, 197–204. [Google Scholar] [CrossRef]
- Franco-Gordo, M.C. Base de Datos y Colección de Distintos Grupos de Zooplancton de Regiones Marinas Prioritarias de Jalisco y Colima en el Pacífico Mexicano; Universidad de Guadalajara, Centro Universitario de la Costa Sur: Autlán, Mexico, 2009; pp. 1–34. [Google Scholar]
- Franco-Gordo, M.C.; Plascencia-Palomera, V. Capítulo 8. Quetognatos de la costa sur de Jalisco y Colima. In Inventario de Biodiversidad de la Costa sur de Jalisco y Colima; Franco-Gordo, M.C., Ed.; Universidad de Guadalajara: Guadalajara, Mexico, 2014; Volume 1, pp. 92–100. [Google Scholar]
- Ambriz-Arreola, I.; Gómez-Gutiérrez, J.; Franco-Gordo, C.; Plascencia-Palomera, V.; Gasca, R.; Kozak, E.R.; Lavaniegos, B.E. Seasonal succession of tropical community structure, abundance, and biomass of five zooplankton taxa in the central Mexican Pacific. Cont. Shelf Res. 2018, 168, 54–67. [Google Scholar] [CrossRef]
- Ikeda, I. A new astomatous ciliate, Metaphrya sagittae, gen et sp. nov., found in the coelom of Sagitta. Annot. Zool. Jpn. 1917, 9, 317–324. [Google Scholar]
- Leander, B.S. Marine gregarines: Evolutionary prelude to the apicomplexan radiation? Trends Parasitol. 2007, 24, 60–67. [Google Scholar] [CrossRef]
- Théodoridès, J. Parasitology of marine zooplankton. Adv. Mar. Biol. 1989, 25, 117–177. [Google Scholar]
- Pozdnyakov, S.E.; Gibson, D.I. 65 Family Didymozoidae Monticelli, 1888. In Keys to the Trematoda; Bray, R.A., Gibson, D.I., Jones, A., Eds.; CAB International and Natural History Museum: London, UK, 2008; Volume 3, pp. 631–734. [Google Scholar]
- Overstreet, R.M.; Curran, S.S. 15 Superfamily Bucephaloidea Poche, 1907. In Keys to the Trematoda; Gibson, D.I., Jones, A., Bray, R.A., Eds.; CAB International and Natural History Museum: London, UK, 2002; Volume 1, pp. 67–110. [Google Scholar]
- Shimazu, T. Some helminth parasites of the Chaetognatha from Suruga Bay, central Japan. Bull. Natl. Sci. Mus. Ser. A 1978, 4, 105–116. [Google Scholar]
- Colman, J.S. The ROSURA Expediton, 1937–1938, Chaetognatha. Bull. Brith. Mus. Nat. Hist. Zool. 1959, 5, 219–253. [Google Scholar]
- Alvariño, A. Chaetognatha. In Reproductive Biology of Invertebrates: Sexual Differentiation and Behaviour; Adiyodi, K.G., Adiyodi, R.G., Eds.; John Wiley and Sons Ltd.: Hoboken, NJ, USA, 1992; Volume 5, pp. 425–470. [Google Scholar]




| Species and Authority | Number of Analyzed Chaetognaths | Number of Parasitized Chaetognaths (Hosts) | Prevalence of Parasites (%) |
|---|---|---|---|
| Aidanosagitta neglecta (Aida, 1897) | 17 | 0 | 0 |
| Aidanosagitta regularis (Aida, 1897) | 135 | 0 | 0 |
| Aidanosagitta septata (Doncaster, 1903) | 444 | 0 | 0 |
| Ferosagitta robusta (Doncaster, 1903) | 46 | 0 | 0 |
| Flaccisagitta enflata (Grassi, 1881) | 1015 | 8 | 0.79 |
| Flaccisagitta hexaptera (d’Orbigny, 1843) | 147 | 6 | 4.08 |
| Parasagitta euneritica (Alvariño, 1962) | 7317 | 16 | 0.22 |
| Serratosagitta bierii (Alvariño, 1961) | 34 | 0 | 0 |
| Serratosagitta pacifica (Tokioka, 1940) | 397 | 3 | 0.76 |
| Zonosagitta bedoti (Beraneck, 1895) | 6542 | 2 | 0.03 |
| Krohnitta pacifica (Aida, 1897) | 19 | 0 | 0 |
| Pterosagitta draco (Krohn, 1853) | 294 | 0 | 0 |
| Total number of chaetognaths analyzed (N) | 16,407 | ||
| Total number of parasitized chaetognaths analyzed (np) | 35 | ||
| Total prevalence % [(np/N) × 100] | 0.21 |
| Parasite Taxa | Chaetognath Host Species | Prevalence of Infection (%) | Intensity (No. Parasites per Host) |
|---|---|---|---|
| Protist sp. 1 (Ciliata) | Flaccisagitta enflata | 0.10 | 1 |
| Serratosagitta pacifica | 3.02 | 12 | |
| Parasagitta euneritica | 0.04 | 3 | |
| Protist sp. 2 | Serratosagitta pacifica | 1.01 | 4 |
| Didymozoide sp. (metacercariae) | Parasagitta euneritica | 0.10 | 7 |
| Zonosagitta bedoti | 0.03 | 2 | |
| Flaccisagitta hexaptera | 0.69 | 1 | |
| Parahemiurus sp. (metacercariae) | Parasagitta euneritica | 0.07 | 5 |
| Hemiuridae sp. (metacercariae) | Zonosagitta bedoti | 0.02 | 1 |
| Flaccisagitta enflata | 0.10 | 1 | |
| Flaccisagitta hexaptera | 2.07 | 3 | |
| Parasagitta euneritica | 0.08 | 6 | |
| Lepocreadiidae sp. (metacercariae) | Flaccisagitta hexaptera | 0.69 | 1 |
| Prosorhynchus sp. (metacercariae) | Parasagitta euneritica | 0.01 | 1 |
| Tetraphyllidea sp. 1 (metacestode) | Flaccisagitta enflata | 0.49 | 5 |
| Flaccisagitta hexaptera | 2.76 | 4 | |
| Zonosagitta bedoti | 0.02 | 1 | |
| Tetraphyllidea sp. 2 (metacestode) | Flaccisagitta enflata | 0.10 | 1 |
| Environmental variables/Ordination axes | 1 | 2 | 3 |
| Eigenvalues | 0.115 | 0.105 | 0.052 |
| Cumulative variance % explained | 11.2 | 21.3 | 26.3 |
| Species–environment Pearson correlations | 0.741 | 0.762 | 0.634 |
| Species–environment Kendall correlations | 0.584 | 0.497 | 0.373 |
| Intra-set correlations of environmental variables with species axes | |||
| 10 m Temperature (10 m-Temp) | 0.816 | −0.185 | −0.079 |
| 10 m Salinity (10 m-Sal) | −0.370 | 0.367 | −0.431 |
| Mixed layer depth (MLD) | 0.706 | −0.258 | −0.490 |
| Upper boundary of the OMZ (OMZ) | 0.352 | 0.490 | −0.365 |
| CUI in the zooplankton sampling day (CUI) | −0.394 | 0.579 | 0.273 |
| CUI-15 days before zooplankton sampling (15-CUI) | −0.661 | 0.299 | −0.363 |
| 10 m Chlorophyll-a concentration (10 m-Chl-a) | −0.828 | −0.083 | 0.145 |
| Zooplankton displaced biovolume (ZDB) | −0.691 | 0.192 | 0.105 |
Disclaimer/Publisher’s Note: The statements, opinions and data contained in all publications are solely those of the individual author(s) and contributor(s) and not of MDPI and/or the editor(s). MDPI and/or the editor(s) disclaim responsibility for any injury to people or property resulting from any ideas, methods, instructions or products referred to in the content. |
© 2024 by the authors. Licensee MDPI, Basel, Switzerland. This article is an open access article distributed under the terms and conditions of the Creative Commons Attribution (CC BY) license (https://creativecommons.org/licenses/by/4.0/).
Share and Cite
Plascencia-Palomera, V.; Franco-Gordo, C.; Lozano-Cobo, H.; Ambriz-Arreola, I.; Suárez-Morales, E.; Gómez-Gutiérrez, J. Monthly Occurrence of Endoparasites of Chaetognaths in a Coastal System of the Mexican Central Pacific. Parasitologia 2024, 4, 246-258. https://doi.org/10.3390/parasitologia4030021
Plascencia-Palomera V, Franco-Gordo C, Lozano-Cobo H, Ambriz-Arreola I, Suárez-Morales E, Gómez-Gutiérrez J. Monthly Occurrence of Endoparasites of Chaetognaths in a Coastal System of the Mexican Central Pacific. Parasitologia. 2024; 4(3):246-258. https://doi.org/10.3390/parasitologia4030021
Chicago/Turabian StylePlascencia-Palomera, Viridiana, Carmen Franco-Gordo, Horacio Lozano-Cobo, Israel Ambriz-Arreola, Eduardo Suárez-Morales, and Jaime Gómez-Gutiérrez. 2024. "Monthly Occurrence of Endoparasites of Chaetognaths in a Coastal System of the Mexican Central Pacific" Parasitologia 4, no. 3: 246-258. https://doi.org/10.3390/parasitologia4030021
APA StylePlascencia-Palomera, V., Franco-Gordo, C., Lozano-Cobo, H., Ambriz-Arreola, I., Suárez-Morales, E., & Gómez-Gutiérrez, J. (2024). Monthly Occurrence of Endoparasites of Chaetognaths in a Coastal System of the Mexican Central Pacific. Parasitologia, 4(3), 246-258. https://doi.org/10.3390/parasitologia4030021

