Morphological Variability of a Natural Population of Cyanobacterium Raphidiopsis raciborskii in a Temperate Floodplain Lake
Abstract
1. Introduction
2. Materials and Methods
3. Results
3.1. Environmental Characteristics
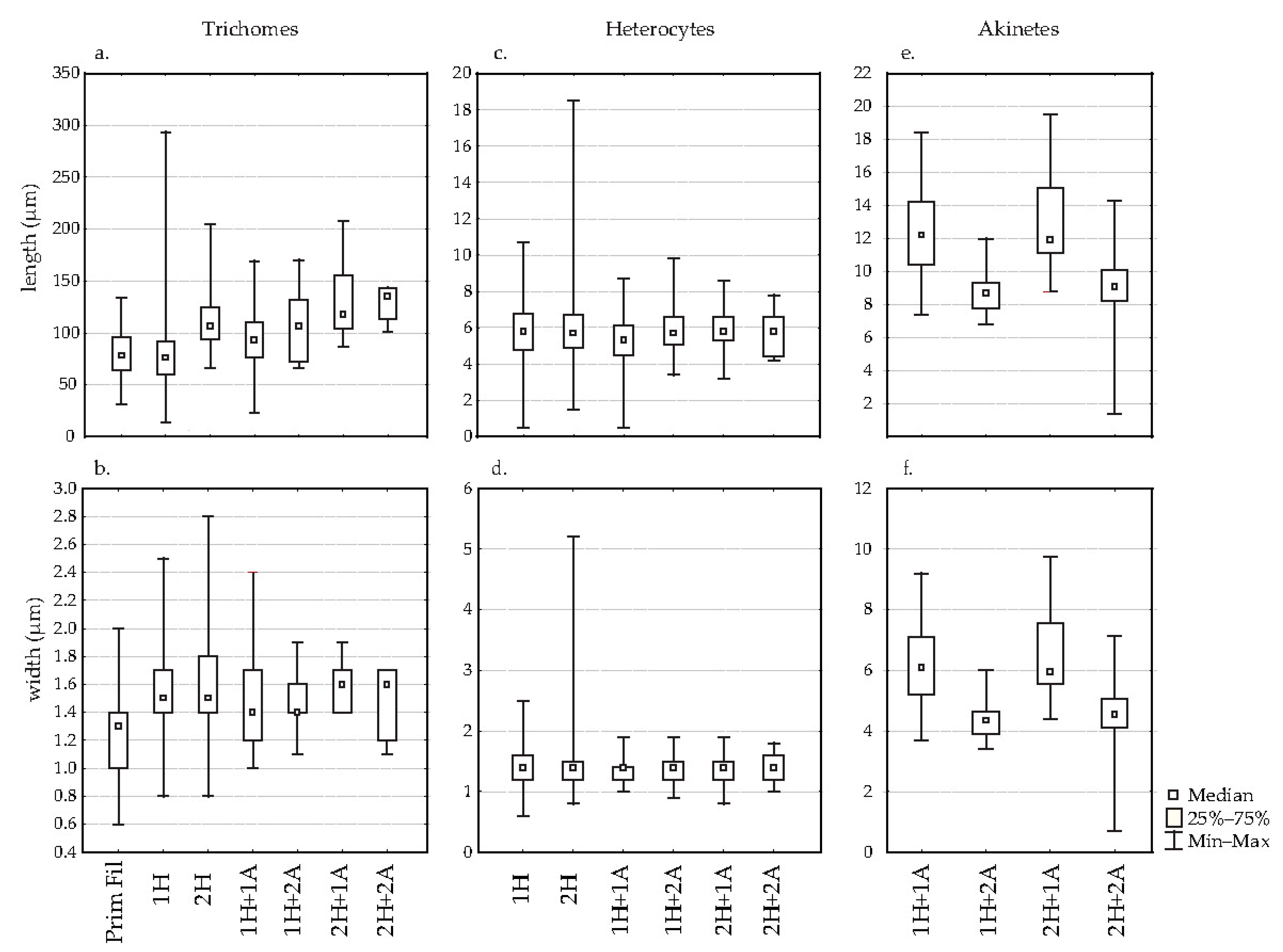
3.2. Dimensions of Trichomes, Heterocytes and Akinetes
3.3. Abundance and Morphology of R. raciborskii
3.4. Statistical Analysis
4. Discussion
5. Conclusions
Author Contributions
Funding
Data Availability Statement
Acknowledgments
Conflicts of Interest
References
- Hauer, T.; Komárek, J. CyanoDB 2.0—On-Line Database of Cyanobacterial Genera. World-Wide Electronic Publication. Available online: http://www.cyanodb.cz/ (accessed on 24 January 2025).
- Padisak, J. Cylindrospermopsis raciborskii (Woloszynska) Seenayya et Subba Raju, an Expanding, Highly Adaptive Cyanobacterium: Worldwide Distribution and Review of Its Ecology. Arch. Hydrobiol. 1997, 107, 563–593. [Google Scholar]
- Antunes, J.T.; Leão, P.N.; Vasconcelos, V.M. Cylindrospermopsis raciborskii: Review of the Distribution, Phylogeography, and Ecophysiology of a Global Invasive Species. Front. Microbiol. 2015, 6, 473. [Google Scholar] [CrossRef]
- Wu, Z.; Yang, S.; Shi, J. Overview of the Distribution and Adaptation of a Bloom-Forming Cyanobacterium Raphidiopsis raciborskii: Integrating Genomics, Toxicity, and Ecophysiology. J. Oceanol. Limnol. 2022, 40, 1774–1791. [Google Scholar] [CrossRef]
- Komárek, J.; Komárková, J. Phenotype Diversity of the Cyanoprokaryotic Genus Cylindrospermopsis (Nostocales); Review 2002. Czech Phycology 2003, 3, 1–30. [Google Scholar]
- Komarek, J. Quo Vadis, Taxonomy of Cyanobacteria (2019). Fottea 2020, 20, 104–110. [Google Scholar] [CrossRef]
- Komárková, J.; Laudares-Silva, R.; Senna, P. Extreme Morphology of Cylindrospermopsis raciborskii (Nostocales, Cyanobacteria) in the Lagoa Do Peri, a Freshwater Coastal Lagoon, Santa Catarina, Brazil. Algol. Stud. 1999, 94, 207–222. [Google Scholar] [CrossRef]
- Dvorak, P.; Hasler, P. Occurrence and Morphological Variability of Cylindrospermopsis raciborskii (WOLOSZ.) SEENAYYA et SUBBA RAJU (Cyanophyta, Nostocales) near Olomouc in 2006. Fottea 2007, 7, 39–42. [Google Scholar] [CrossRef]
- Lind, O.; Dávalos-Lind, L.; López, C.; López, M.; Bressie, J. Seasonal Morphological Variability in an In Situ Cyanobacteria Monoculture: Example from a Persistent Cylindrospermopsis Bloom in Lake Catemaco, Veracruz, Mexico. J. Limnol. 2016, 75, 66–80. [Google Scholar] [CrossRef]
- Saker, M.L.; Neilan, B.A.; Griffiths, D.J. Two Morphological Forms of Cylindrospermopsis raciborskii (Cyanobacteria) Isolated from Solomon Dam, Palm Island, Queensland. J. Phycol. 1999, 35, 599–606. [Google Scholar] [CrossRef]
- Komárek, J.; Anagnostidis, K. Modern Approach to the Classification System of Cyanophytes 4—Nostocales. Arch. Hydrobiol. Suppl. B Monogr. Beiträge 1990, 82, 247–345. [Google Scholar]
- Komárková, J. The Tropical Planktonic Genus Cylindrospermopsis (Cyanophytes, Cyanobacteria). An. IV Congr. Lat. Am. Ficologia 1998, 1, 327–340. [Google Scholar]
- Werner, V.; Tucci, A.; Silva, L.; Yunes, J.; Neuhaus, E.; Berthold, D.; Laughinghouse IV, H. Morphological, Ecological and Toxicological Aspects of Raphidiopsis raciborskii (Cyanobacteria) in a Eutrophic Urban Subtropical Lake in Southern Brazil. Iheringia Ser. Bot. 2020, 75, e2020018. [Google Scholar] [CrossRef]
- Moustaka-Gouni, M.; Kormas, K.; Vardaka, E., (Savi); Katsiapi, M.; Gkelis, S. Raphidiopsis mediterranea Skuja Represents Non-Heterocytous Life-Cycle Stages of Cylindrospermopsis raciborskii (Woloszynska) Seenayya et Subba Raju in Lake Kastoria (Greece), Its Type Locality: Evidence by Morphological and Phylogenetic Analysis. Harmful Algae 2009, 8, 864–872. [Google Scholar] [CrossRef]
- Aguilera, A.; Berrendero, E.; Kaštovský, J.; Echenique, R.; Salerno, G. The Polyphasic Analysis of Two Native Raphidiopsis Isolates Supports the Unification of the Genera Raphidiopsis and Cylindrospermopsis (Nostocales, Cyanobacteria). Phycologia 2018, 57, 130–146. [Google Scholar] [CrossRef]
- Marques, L.C.B.; Lima, J.E.; Pimentel, J.d.S.M.; Giani, A. Heterocyte Production, Gene Expression, and Phylogeography in Raphidiopsis (=Cylindrospermopsis) raciborskii. FEMS Microbiol. Ecol. 2022, 98, fiac052. [Google Scholar] [CrossRef]
- AlgaeBase: Listing the World’s Algae. Available online: https://www.algaebase.org/ (accessed on 28 January 2025).
- Komarek, J.; Kaštovský, J.; Mares, J.; Johansen, J. Taxonomic Classification of Cyanoprokaryotes (Cyanobacterial Genera) 2014, Using a Polyphasic Approach. Preslia Praha 2014, 86, 295–335. [Google Scholar]
- Bittencourt-Oliveira, M. do C. Increase in Straight and Coiled Cylindrospermopsis raciborskii (Cyanobacteria) Populations Under Conditions of Thermal De-Stratification in a Shallow Tropical Reservoir. J. Water Resour. Res. 2011, 3, 245–252. [Google Scholar] [CrossRef]
- McGregor, G.B.; Fabbro, L.D. Dominance of Cylindrospermopsis raciborskii (Nostocales, Cyanoprokaryota) in Queensland Tropical and Subtropical Reservoirs: Implications for Monitoring and Management. Lakes Reserv. Res. Manag. 2000, 5, 195–205. [Google Scholar] [CrossRef]
- Hawkins, P.R.; Putt, E.; Falconer, I.; Humpage, A. Phenotypical Variation in a Toxic Strain of the Phytoplankter, Cylindrospermopsis raciborskii (Nostocales, Cyanophyceae) During Batch Culture. Environ. Toxicol. 2001, 16, 460–467. [Google Scholar] [CrossRef]
- Padisák, J. Estimation of Minimum Sedimentary Inoculum (Akinete) Pool of Cylindrospermopsis raciborskii: A Morphology and Life-Cycle Based Method. Hydrobiologia 2003, 502, 389–394. [Google Scholar] [CrossRef]
- Zheng, L.; Liu, Y.; Li, R.; Yang, Y.; Jiang, Y. Recent Advances in the Ecology of Bloom-Forming Raphidiopsis (Cylindrospermopsis) raciborskii: Expansion in China, Intraspecific Heterogeneity and Critical Factors for Invasion. Int. J. Environ. Res. Public Health 2023, 20, 1984. [Google Scholar] [CrossRef] [PubMed]
- Vidal, L.; Kruk, C. Cylindrospermopsis raciborskii (Cyanobacteria) Extends Its Distribution to Latitude 34°53′ S: Taxonomical and Ecological Features in Uruguayan Eutrophic Lakes. Panam. J. Aquat. Sci. 2008, 3, 142–151. [Google Scholar]
- Shafik, H.M.; Vörös, L.; Sprőber, P.; Présing, M.; Kovács, A.W. Some Special Morphological Features of Cylindrospermopsis raciborskii in Batch and Continuous Cultures. Hydrobiologia 2003, 506, 163–167. [Google Scholar] [CrossRef]
- Galvanese, E.F.; Padial, A.A.; Aubriot, L. Acclimation at High Temperatures Increases the Ability of Raphidiopsis raciborskii (Cyanobacteria) to Withstand Phosphate Deficiency and Reveals Distinct Strain Responses. Eur. J. Phycol. 2019, 54, 359–368. [Google Scholar] [CrossRef]
- McGregor, G.B.; Sendall, B.C.; Hunt, L.T.; Eaglesham, G.K. Report of the Cyanotoxins Cylindrospermopsin and Deoxy-Cylindrospermopsin from Raphidiopsis mediterranea Skuja (Cyanobacteria/Nostocales). Harmful Algae 2011, 10, 402–410. [Google Scholar] [CrossRef]
- Li, R.; Wilhelm, S.W.; Carmichael, W.W.; Watanabe, M.M. Polyphasic Characterization of Water Bloom Forming Raphidiopsis Species (Cyanobacteria) from Central China. Harmful Algae 2008, 7, 146–153. [Google Scholar] [CrossRef]
- Moore, D.; McGregor, G.; Shaw, G. Morphological Changes during Akinete Germination in Cylindrospermopsis raciborskii (Nostocales, Cyanobacteria). J. Phycol. 2004, 40, 1098–1105. [Google Scholar] [CrossRef]
- Stević, F.; Mihaljević, M.; Špoljarić Maronić, D. Changes of Phytoplankton Functional Groups in a Floodplain Lake Associated with Hydrological Perturbations. Hydrobiologia 2013, 709, 143–158. [Google Scholar] [CrossRef]
- Mihaljević, M.; Stević, F.; Špoljarić, D.; Pfeiffer, T.Ž. Spatial Pattern of Phytoplankton Based on the Morphology-Based Functional Approach along a River–Floodplain Gradient. River Res. Appl. 2015, 31, 228–238. [Google Scholar] [CrossRef]
- ISO 7150-1:1998 ISO; Water Quality—Determination of Ammonium—Part 1: Manual Spectrometric Method. International Organization for Standardization: Geneva, Switzerland, 1998.
- HRN ISO 7890-3:1998 ISO; Water Quality—Determination of Nitrate—Part 3: Spectrometric Method Using Sulfosalicylic Acid. International Organization for Standardization: Geneva, Switzerland, 1998.
- HRN EN 26777:1998 ISO; Water Quality—Determination of Nitrite—Molecular Absorption Spectrometric Method. International Organization for Standardization: Geneva, Switzerland, 1998.
- HRN ISO 5663:2001 ISO; Water Quality—Determination of Total Nitrogen—Method after Mineralization with Selenium. International Organization for Standardization: Geneva, Switzerland, 2001.
- HRN ISO 6878:2008 ISO; Water Quality—Determination of Phosphorus—Ammonium Molybdate Spectrometric Method. International Organization for Standardization: Geneva, Switzerland, 2008.
- Utermöhl, H. Zur Vervollkommnung der quantitativen Phytoplankton-Methodik: Mit 1 Tabelle und 15 abbildungen im Text und auf 1 Tafel. Int. Ver. Theor. Angew. Limnol. Mitteilungen 1958, 9, 1–38. [Google Scholar] [CrossRef]
- Clarke, K. Nonparametric Multivariate Analyses of Changes in Community Structure. Austral. Ecol. 1993, 18, 117–143. [Google Scholar] [CrossRef]
- Leps, J.; Smilauer, P. Multivariate Analysis of Ecological Data Using CANOCO; Cambridge University Press: Cambridge, UK, 2003; Volume 3, ISBN 978-0-521-89108-0. [Google Scholar]
- Briand, J.; Leboulanger, C.; Humbert, J.; Bernard, C.; Dufour, P. Cylindrospermopsis raciborskii (Cyanobacteria) Invasion at Mid-Latitudes: Selection, Wide Physiological Tolerance, or Global Warming? J. Phycol. 2004, 40, 231–238. [Google Scholar] [CrossRef]
- Saker, M.L.; Neilan, B.A. Varied Diazotrophies, Morphologies, and Toxicities of Genetically Similar Isolates of Cylindrospermopsis raciborskii (Nostocales, Cyanophyceae) from Northern Australia. Appl. Environ. Microbiol. 2001, 67, 1839–1845. [Google Scholar] [CrossRef]
- Stević, F. Složenost Utjecaja Poplava na Strukturu i Dinamiku Fitoplanktona Poplavnog Područja; Poslijediplomski Sveučilišni Interdisciplinarni Znanstveni Studij Zaštita Prirode i Okoliša: Osijek, Zagreb, 2011. [Google Scholar]
- Lamia, S.; Guellati, F.; Touati, H.; Bensouilah, M. Advanced Description of the Morphology of Cylindrospermopsis raciborskii in a Shallow Mediterranean Lake. Aquat. Ecol. 2024, 59, 247–262. [Google Scholar] [CrossRef]
- Komárek, J. Sobre Las Cianoficeas de Cuba: (3) Especies Planctónicas Que Forman Florecimientos de Las Aguas. Acta Bot. Cub. 1984, 19, 25–31. [Google Scholar]
- Gucunski, D. The phytoplankton of Bijelo jezero in the summer of 1977. Acta Bot. Croat. 1982, 41, 65–76. [Google Scholar]
- Fabbro, L.; Duivenvoorden, L. Profile of a Bloom of the Cyanobacterium Cylindrospermopsis raciborskii (Woloszynska) Seenaya and Subba Raju in the Fitzroy River in Tropical Central Queensland. Mar. Freshw. Res. 1996, 47, 685–694. [Google Scholar] [CrossRef]
- Soares, M.; Lurling, M.; Huszar, V. Growth and Temperature-Related Phenotypic Plasticity in the Cyanobacterium Cylindrospermopsis raciborskii. Phycol. Res. 2013, 61, 61–67. [Google Scholar] [CrossRef]
- Bonilla, S.; Aubriot, L.; Soares, M.C.S.; González-Piana, M.; Fabre, A.; Huszar, V.L.M.; Lürling, M.; Antoniades, D.; Padisák, J.; Kruk, C. What Drives the Distribution of the Bloom-Forming Cyanobacteria Planktothrix agardhii and Cylindrospermopsis raciborskii? FEMS Microbiol. Ecol. 2012, 79, 594–607. [Google Scholar] [CrossRef]
- Wojciechowski, J.; Fernandes, L.; Fonseca, F. Morpho-Physiological Responses of a Subtropical Strain of Cylindrospermopsis raciborskii (Cyanobacteria) to Different Light Intensities. Acta Bot. Bras. 2016, 30, 232–238. [Google Scholar] [CrossRef][Green Version]
- Komárek, J. “Diversita a Moderní Klasifikace Sinic (Cyanoprocaryota) [Diversity and Modern Classification of Cyanobacteria (Cyanoprokaryota)]”. Inaugural Dissertation, Scientific Research Publishing. Available online: https://www.scirp.org/reference/referencespapers?referenceid=964491 (accessed on 25 February 2025).
- Marques, L.C.B. Taxonomy and Nitrogen Fixation in Raphidiopsis raciborskii (Woloszynska) Aguilera, Berrendero Gómez, Kastovsky, Echenique & Salerno. Taxonomia e Fixação de Nitrogênio em Raphidiopsis raciborskii (Woloszynska) Aguilera, Berrendero Gómez, Kastovsky, Echenique & Salerno; Universidade Federal de Minas Gerais: Belo Horizonte, Brazil, 2020. [Google Scholar]
- Baker, P.; Fabbro, L. A Guide to the Identification of Common Blue-Green Algae (Cyanoprokaryotes) in Australian Freshwaters; CQUniversity: Sydney, Australia, 1999; ISBN 978-1-876144-48-7. [Google Scholar]
- Everson, S.; Fabbro, L.; Kinnear, S.; Wright, P. Extreme Differences in Akinete, Heterocyte and Cylindrospermopsin Concentrations with Depth in a Successive Bloom Involving Aphanizomenon ovalisporum (Forti) and Cylindrospermopsis raciborskii (Woloszynska) Seenaya and Subba Raju. Harmful Algae 2011, 10, 265–276. [Google Scholar] [CrossRef]
- Briand, J.F.; Robillot, C.; Quiblier-Llobéras, C.; Humbert, J.F.; Couté, A.; Bernard, C. Environmental Context of Cylindrospermopsis raciborskii (Cyanobacteria) Blooms in a Shallow Pond in France. Water Res. 2002, 36, 3183–3192. [Google Scholar] [CrossRef] [PubMed]
- Jones, W.W.; Sauter, S. Distribution and Abundance of Cylindrospermopsis raciborskii in Indiana Lakes and Reservoirs; Indiana University, School of Public and Environmental Affairs: Bloomington, IN, USA, 2005; p. 54. [Google Scholar]
- Yema, L.; Litchman, E.; de Tezanos Pinto, P. The Role of Heterocytes in the Physiology and Ecology of Bloom-Forming Harmful Cyanobacteria. Harmful Algae 2016, 60, 131–138. [Google Scholar] [CrossRef] [PubMed]
- Padisák, J.; Istvánovics, V. Differential Response of Blue-Green Algal Groups to Phosphorus Load Reduction in a Large Shallow Lake: Balaton, Hungary. SIL Proc. 1922–2010 1997, 26, 574–580. [Google Scholar] [CrossRef]
- Saker, M.L.; Griffiths, D.J. Occurrence of Blooms of the Cyanobacterium Cylindrospermopsis raciborskii (Woloszynska) Seenayya and Subba Raju in a North Queensland Domestic Water Supply. Mar. Freshw. Res. 2001, 52, 907–915. [Google Scholar] [CrossRef]
- Moore, D.; O’donohue, M.; Garnett, C.; Shaw, G.; Critchley, C. Factors Affecting Akinete Differentiation in Cylindrospermopsis raciborskii (Nostocals, Cyanobacteria). Freshw. Biol. 2005, 50, 345–352. [Google Scholar] [CrossRef]
- Rücker, J.; Tingwey, E.; Wiedner, C.; Anu, C.; Nixdorf, B. Impact of the Inoculum Size on the Population of Nostocales Cyanobacteria in a Temperate Lake. J. Plankt. Res. 2009, 31, 1151–1159. [Google Scholar] [CrossRef]
- Mischke, U. Cyanobacteria Associations in Shallow Polytrophic Lakes: Influence of Environmental Factors. Acta Oecologica 2003, 24, S11–S23. [Google Scholar]
- Tingwey, E.I. Studies on the Life Cycle of Akinete Forming Cyanobacterium Cylindrospermopsis raciborskii in the Temperate Region; Faculty of Environmental Sciences and Process Engineering, Brandenburg University of Technology in Cottbus: Cottbus, Germany, 2009. [Google Scholar]
- Stević, F.; Mihaljević, M.; Špoljarić Maronić, D.; Žuna Pfeiffer, T.; Zahirović, V. The Decreased Incidence of Raphidiopsis Raciborskii Bloom in a Temperate Floodplain Lake in the Middle Danube Affected by Extreme Hydrological Events. Water 2025, 17, 309. [Google Scholar] [CrossRef]








Disclaimer/Publisher’s Note: The statements, opinions and data contained in all publications are solely those of the individual author(s) and contributor(s) and not of MDPI and/or the editor(s). MDPI and/or the editor(s) disclaim responsibility for any injury to people or property resulting from any ideas, methods, instructions or products referred to in the content. |
© 2025 by the authors. Licensee MDPI, Basel, Switzerland. This article is an open access article distributed under the terms and conditions of the Creative Commons Attribution (CC BY) license (https://creativecommons.org/licenses/by/4.0/).
Share and Cite
Stević, F.; Mihaljević, M.; Špoljarić Maronić, D.; Žuna Pfeiffer, T.; Zahirović, V. Morphological Variability of a Natural Population of Cyanobacterium Raphidiopsis raciborskii in a Temperate Floodplain Lake. Taxonomy 2025, 5, 16. https://doi.org/10.3390/taxonomy5020016
Stević F, Mihaljević M, Špoljarić Maronić D, Žuna Pfeiffer T, Zahirović V. Morphological Variability of a Natural Population of Cyanobacterium Raphidiopsis raciborskii in a Temperate Floodplain Lake. Taxonomy. 2025; 5(2):16. https://doi.org/10.3390/taxonomy5020016
Chicago/Turabian StyleStević, Filip, Melita Mihaljević, Dubravka Špoljarić Maronić, Tanja Žuna Pfeiffer, and Vanda Zahirović. 2025. "Morphological Variability of a Natural Population of Cyanobacterium Raphidiopsis raciborskii in a Temperate Floodplain Lake" Taxonomy 5, no. 2: 16. https://doi.org/10.3390/taxonomy5020016
APA StyleStević, F., Mihaljević, M., Špoljarić Maronić, D., Žuna Pfeiffer, T., & Zahirović, V. (2025). Morphological Variability of a Natural Population of Cyanobacterium Raphidiopsis raciborskii in a Temperate Floodplain Lake. Taxonomy, 5(2), 16. https://doi.org/10.3390/taxonomy5020016

