Pressure-Dependent Crystal Radii
Abstract
1. Introduction
2. Methods
- (1)
- For given valence and bond coordination the assessed radii should be independent of the structures, therefore;
- (2)
- Radii should be assessed through different crystal structures, if available. Wherever possible cation radii are assessed through structures with different anions
- (3)
- Radii derived from structures with ions on general positions are given preference.
3. Discussion
3.1. Anions
| Ion | M | r0 [Å/GPam] |
|---|---|---|
| O2− [II,III] | −0.0040(2) | 1.210(5) |
| O2− [IV] | −0.0045(5) | 1.238(3) |
| O2− [VI] | −0.0176(2) | 1.269(2) |
| Cl− [VI] | - | 1.62 − 0.02·P * |
| Cl− [VIII] | −0.07(1) | 1.66(1) |
| Br− [VIII] | −0.078(3) | 1.85(2) |
3.2. Alkaline and Alkaline Earths Elements
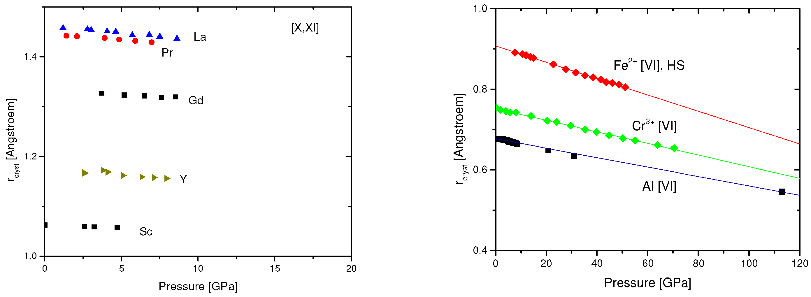
3.3. Rare Earths
3.4. Al, Cr, Fe
3.5. Si, Ge, Ti
| Element, [Coordination] | −dr/dP [Å/GPa] | ro [Å] | rcryst [Å] (Shannon 1976) | R2 | Ref. |
|---|---|---|---|---|---|
| Li[IV] | 0.006(1) | 0.713(1) | 0.73 | 0.90 | [43] |
| Na[VI] | 0.0110(2) | 1.198(3) | 1.16 | 0.85 | [21] |
| Na[VII] | 0.008(4) | 1.28(3) | 1.26 | 0.32 | [44] |
| Na[VIII] | 0.00152(4) | 1.335(3) | 1.32 | 0.99 | [21] |
| K[VI] | 0.0030(3) | 1.528(1) | 1.52 | 0.98 | [19,20,45] |
| K[VII] * | 0.0030(1) | 1.584(3) | 1.6 | 0.99 | [20] |
| K[VIII] | 0.0049(1) | 1.642(2) | 1.65 | 0.99 | [20] |
| K[VIII′] ** | 0.0014(1) | 1.53(1) | 1.52[VI] | 0.97 | [20] |
| K[IX] | 0.0066(24) | 1.68(1) | 1.69 | 0.63 | [46] |
| Cs[VI] * | 0.0026(5) | 1.79(4) | 1.81 | 0.98 | [22] |
| Cs[VIII] | 0.0053(2) | 1.88(1) | 1.88 | 0.99 | [22] |
| Cs[XI] | 0.0057(2) | 1.994(3) | 1.99 | 0.99 | [47] |
| Be[IV] | 0.0010(2) | 0.414(1) | 0.41 | 0.76 | [25] |
| Mg[VI] | 0.0014(2) | 0.84(1) | 0.86 | 0.76 | [4,13,48,49] |
| Mg[X] | 0.0024(1) | 1.11(3) | - | 0.99 | [4,23,24,50,51,52] |
| Ca[VI] | 0.0024(1) | 1.143(4) | 1.14 | 0.99 | [53] |
| Ca[VII,VIII *] | 0.0016(1) | 1.19(1) | 1.2[VII] | 0.97 | [53] |
| Ca[VIII] | 0.0034(2) | 1.28(1) | 1.26 | 0.98 | [53] |
| Ca[IX,X] | 0.0020(2) | 1.319(8) | 1.32[IX] | 0.94 | [26,54,55] |
| Sr[VI] | 0.0033(6) | 1.27(1) | 1.32 | 0.77 | [56,57,58,59] |
| Ba[VI,VII *] | 0.0025(2) | 1.512(4) | 1.52[VII] | 0.88 | [60,61,62,63,64,65] |
| Ba[VIII] | 0.0025(1) | 1.569(4) | 1.56 | 0.98 | [60,61,62,63,64,65] |
| Sc[X] | 0.00141(2) | 1.032(1) | - | 0.99 | [29] |
| Y[X] | 0.0025(6) | 1.176(3) | 1.215[IX] | 0.71 | [28] |
| La[XI,XII] | 0.0030(2) | 1.463(1) | 1.4[X], 1.5[XII] | 0.97 | [30] |
| Pr3+ [XI,XII] | 0.0024(1) | 1.446(1) | - | 0.98 | [31] |
| Gd[X] | 0.0017(3) | 1.332(2) | 1.33[X] | 0.86 | [32] |
| Ti4+[VI] | 0.0016(2) | 0.746(8) | 0.745 | 0.95 | [42,54,65] |
| Cr3+[VI] | 0.00144(2) | 0.752(1) | 0.755 | 0.99 | [36] |
| Fe2+[VI,HS] | 0.00202(3) | 0.907(1) | 0.92 | 0.99 | [37] |
| Al[VI] | 0.00117(2) | 0.677(1) | 0.675 | 0.99 | [26,28,29,30,31,32,33,34,35] |
| Ge[VI] | 0.00085(7) | 0.665(1) | 0.67 | 0.97 | [42] |
| Si[IV] | 0.00069(8) | 0.408(2) | 0.4 | 0.88 | [48,49,66,67,68,69] |
| Si[VI] | 0.0009(1) | 0.565(2) | 0.54 | 0.79 | [4,13,23,24,27,42,50,51,52,70,71,72,73,74] |
4. Results
4.1. Pressure-Induced Structure Changes and Pressure-Dependent Radii
4.2. General Considerations: Cations
⇒ (r0)−3 (dr3/dP)T = 3(A − B/r0)
4.3. General Considerations: Anions
4.4. Prediction of Ionic Radii Compression

5. Summary
Funding
Data Availability Statement
Acknowledgments
Conflicts of Interest
References
- Goldschmidt, V.M. The principles of distribution of chemical elements in minerals and rocks. The seventh Hugo Muller Lecture, delivered before the Chemical Society on 17 March 1937. J. Chem. Soc. 1937, 655–673. [Google Scholar] [CrossRef]
- Manjon, F.J.; Errandonea, D.; Lopez-Solano, J.; Rodriguez, P.; Radescu, S.; Mujica, A.; Munoz, A.; Garro, N.; Pellicer-Porres, J.; Segura, A.; et al. Crystal stability and pressure-induced phase transitions in scheelite AWO(4) (A = Ca, Sr, Ba, Pb, Eu) binary oxides. II: Towards a systematic understanding. Phys. Stat. Sol. B 2007, 244, 295–302. [Google Scholar] [CrossRef]
- Li, Z.; Yang, M.J.; Park, J.S.; Wei, S.H.; Berry, J.J.; Zhu, K. Stabilizing Perovskite Structures by Tuning Tolerance Factor: Formation of Formamidinium and Cesium Lead Iodide Solid-State Alloys. Chem. Mat. 2016, 28, 284–292. [Google Scholar] [CrossRef]
- Tschauner, O.; Ma, C. Discovering High-Pressure and High-Temperature Minerals. In Celebrating the International Year of Mineralogy; Bindi, L., Cruciani, G., Eds.; Springer: Berlin/Heidelberg, Germany, 2023; pp. 169–206. [Google Scholar] [CrossRef]
- Tschauner, O. High-pressure minerals. Am. Min. 2019, 104, 1701–1731. [Google Scholar] [CrossRef]
- Prewitt, C.T.; Downs, R.T. High-pressure crystal chemistry. In Ultrahigh-Pressure Mineralogy: Physics and Chemistry of the Earth’s Deep Interior; Hemley, R.J., Ed.; Mineralogical Society of America: Washington, DC, USA, 1998; Volume 37, pp. 283–317. [Google Scholar]
- Shannon, R.D.; Prewitt, C.T. Coordination and volume changes accompanying high-pressure phase transformations of oxides. Mat. Res. Bul. 1969, 4, 57–59. [Google Scholar] [CrossRef]
- Grochala, W.; Hoffmann, R.; Feng, J.; Ashcroft, N.W. The Chemical Imagination at Work in Very Tight Places. Angew. Chem. Int. Ed. 2007, 46, 3620–3642. [Google Scholar] [CrossRef]
- Gibbs, G.V.; Ross, N.L.; Cox, D.F.; Rosso, K.M.; Iversen, B.B.; Spackman, M.A. Bonded radii and the contraction of the electron density of the oxygen atom by bonded interactions. J. Phys. Chem. A 2013, 117, 1632–1640. [Google Scholar] [CrossRef]
- Gibbs, G.V.; Cox, D.F.; Ross, N.L. The incompressibility of atoms at high pressures. Am. Min. 2020, 105, 1761–1768. [Google Scholar] [CrossRef]
- Cammi, R.; Rahm, M.; Hoffmann, R.; Ashcroft, N.W. Varying Electronic Configurations in Compressed Atoms: From the Role of the Spatial Extension of Atomic Orbitals to the Change of Electronic Configuration as an Isobaric Transformation. J. Chem. Theory Comput. 2020, 16, 5047–5056. [Google Scholar] [CrossRef]
- Rahm, M.; Ångqvist, A.; Rahm, J.M.; Erhart, P.; Cammi, R. Non-Bonded Radii of the Atoms Under Compression. ChemPhys. Chem. 2020, 21, 2441–2453. [Google Scholar] [CrossRef]
- Tschauner, O. An observation related to the pressure dependence of ionic radii. Geosciences 2022, 12, 246. [Google Scholar] [CrossRef]
- Pauling, L. The Nature of the Chemical Bond and the Structure of Molecules and Crystals: An Introduction to Modern Structural Chemistry; Cornell University Press: New York, NY, USA, 1960; p. 644. [Google Scholar]
- Shannon, R.D.; Prewitt, C.T. Effective ionic radii in oxides and fluorides. Acta Crystallogr. 1969, 25, 925–946. [Google Scholar] [CrossRef]
- Shannon, R.D. Revised effective ionic-radii and systematic studies of interatomic distances in halides and chalcogenides. Acta Cryst. A 1976, 32, 751–767. [Google Scholar] [CrossRef]
- Morrison, S.M.; Hazen, R.M. An evolutionary system of mineralogy, Part IV: Planetesimal differentiation and impact mineralization (4566 to 4560 Ma). Am. Min. 2021, 106, 730–761. [Google Scholar] [CrossRef]
- Du, X.P.; Tse, J.S. Oxygen Packing Fraction and the Structure of Silicon and Germanium Oxide Glasses. J. Phys. Chem. B 2017, 121, 10726–10732. [Google Scholar] [CrossRef]
- Zhang, J.-M.; Ko, J.-D.; Hazen, R.M.; Prewitt, C.T. High-pressure crystal chemistry of KAlSi3O8 hollandite. Am. Min. 1993, 78, 493–499. [Google Scholar]
- Dewaele, A.; Belonoshko, A.B.; Garbarino, G.; Occelli, F.; Bouvier, P.; Hanfland, M.; Mezouar, M. High-pressure high-temperature equation of state of KCl and KBr. Phys. Rev. B 2012, 85, 214105. [Google Scholar] [CrossRef]
- Dewaele, A. Equations of State of Simple Solids (Including Pb, NaCl and LiF) Compressed in Helium or Neon in the Mbar Range. Minerals 2019, 9, 684. [Google Scholar] [CrossRef]
- Dewaele, A. Compression of CsCl and CsBr in the megabar range. High. Pressure Res. 2020, 40, 402–410. [Google Scholar] [CrossRef]
- Murakami, M.; Hirose, K.; Kawamura, K.; Sata, N.; Ohishi, Y. Post-perovskite phase transition in MgSiO3. Science 2004, 304, 855–858. [Google Scholar] [CrossRef]
- Ono, S.; Kikegawa, T.; Ohishi, Y. Equation of state of CaIrO3-type MgSiO3 up to 144 GPa. Am. Min. 2006, 91, 475–478. [Google Scholar] [CrossRef]
- Hazen, R.M.; Finger, L.W. High-pressure and high-temperature crystal-chemistry of beryllium-oxide. J. All Phys. 1986, 59, 3728–3733. [Google Scholar] [CrossRef]
- Au, Y.; Hazen, R.M. Polyhedral modeling of the elastic properites of corundum and chrysoberyl. Geophys. Res. Lett. 1985, 12, 725–728. [Google Scholar] [CrossRef]
- Chen, H.; Shim, S.-H.; Leinenweber, K.; Prakapenka, V.; Meng, Y.; Prescher, C. Crystal structure of CaSiO3 perovskite at 28–62 GPa and 300 K under quasi-hydrostatic stress conditions. Am. Min. 2021, 103, 462–468. [Google Scholar] [CrossRef]
- Ross, N.L.; Zhao, J.; Angel, R.J. High-pressure single-crystal X-ray diffraction study of YAlO3 perovskite. J. Sol. Stat. Chem. 2004, 177, 1276–1284. [Google Scholar] [CrossRef]
- Ross, N. L High pressure study of Sc Al O3 perovskite. Phys. Chem. Min. 1998, 25, 597–602. [Google Scholar] [CrossRef]
- Zhao, J.; Ross, N.L.; Angel, R.J. Polyhedral control of the rhombohedral to cubic phase transition in LaAlO3 perovskite. J. Phys. Cond. Matt. 2004, 16, 8763–8773. [Google Scholar] [CrossRef]
- Zhao, J.; Ross, N.L.; Angel, R.J.; Carpenter, M.A.; Howard, C.J.; Pawlak, D.A.; Lukasiewicz, T. High-pressure crystallography of rhombohedral Pr Al O3 perovskite. J. Phys. Cond.Matt. 2009, 21, 235403. [Google Scholar] [CrossRef] [PubMed]
- Ross, N.L.; Zhao, J.; Angel, R.J. High-presure structural behavior of GdAlO3 and GdFeO3 perovskites. J. Sol. Stat. Chem. 2009, 177, 3768–3775. [Google Scholar] [CrossRef]
- Finger, L.W.; Hazen, R.M. Crystal structure and compression of ruby to 46 kbar. J. Appl. Phys. 1978, 49, 5823–5826. [Google Scholar] [CrossRef]
- Kim-Zajonz, J.; Werner, S.; Schulz, H. High pressure single crystal X-ray diffraction study on ruby up to 31 GPa. Z. Krist. 1999, 214, 331–336. [Google Scholar] [CrossRef]
- Lin, J.; Degtyareva, O.; Prewitt, C.T.; Dera, P.; Sata, N.; Gregoryanz, E.; Mao, H.-k.; Hemley, R.J. Crystal structure of a high-pressure/high-temperature phase of alumina by in situ X-ray diffraction. Nat. Mat. 2004, 3, 389–393. [Google Scholar] [CrossRef] [PubMed]
- Kantor, A.; Kantor, I.; Merlini, M.; Glazyrin, K.; Prescher, C.; Hanfland, M.; Dubrovinsky, L. High-pressure structural studies of eskolaite by means of single-crystal X-ray diffraction. Am. Min. 2012, 97, 1764–1770. [Google Scholar] [CrossRef]
- Mao, H.-k.; Shu, J.; Fei, Y.; Hu, J.; Hemley, R.J. The wüstite enigma. Phys. Earth Planet. Int. 1996, 96, 135–145. [Google Scholar] [CrossRef]
- Yamanaka, T.; Kyono, A.; Nakamoto, Y.; Kharlamova, S.; Struzhkin, V.V.; Gramsch, S.A.; Mao, H.-K.; Hemley, R.J. New structure of high-pressure body-centered orthorhombic Fe2SiO4. Am. Min. 2015, 100, 1736–1743. [Google Scholar] [CrossRef]
- Jacobsen, S.D.; Demouchy, S.; Frost, D.J.; Boffa Ballaran, T.; Kung, J. A systematic study of OH in hydrous wadsleyite from polarized FTIR spectroscopy and single-crystal X-ray diffraction: Oxygen sites for hydrogen storage in earths interior. Am. Min. 2005, 90, 61–70. [Google Scholar] [CrossRef]
- Hazen, R.M.; Yang, H.X. Effects of cation substitution and order-disorder on P-V-T equations of state of cubic spinels. Am. Min. 1999, 84, 1956–1960. [Google Scholar] [CrossRef]
- Ma, C.; Tschauner, O.; Beckett, J.R.; Liu, Y.; Rossman, G.R.; Sinogeikin, S.V.; Smith, J.S.; Taylor, L.A. Ahrensite, gamma-Fe2SiO4, a new shock-metamorphic mineral from the tissint meteorite: Im-plications for the tissint shock event on Mars. Geochim. Cosmochim. Acta 2016, 184, 240–256. [Google Scholar] [CrossRef]
- Yamanaka, T.; Komatsu, Y.; Sugahara, M.; Nagai, T. Structure change of MgSiO3, MgGeO3, and MgTiO3 ilmenites under compression. Am. Min. 2005, 90, 1301–1307. [Google Scholar] [CrossRef]
- Ross, N.L.; Zhao, J.; Slebodnick, C.; Spencer, E.C.; Chakoumakos, B.C. Petalite under pressure: Elastic behavior and phase stability. Am. Min. 2015, 100, 714–721. [Google Scholar] [CrossRef]
- Benusa, M.D.; Angel, R.J.; Ross, N.L. Compression of albite, NaAlSi3O8. Am. Min. 2005, 90, 1115–1120. [Google Scholar] [CrossRef]
- Petitgirard, S. Density and structural changes of silicate glasses under high pressure. High Pressure Res. 2017, 37, 200–213. [Google Scholar] [CrossRef]
- Gatta, G.D.; Angel, R.J.; Zhao, J.; Alvaro, M.; Rotiroti, N.; Carpenter, M.A. Phase stability, elastic behavior, and pressure-induced structural evolution of kalsilite: A ceramic material and high-T/high-P mineral. Am. Min. 2011, 96, 1363–1372. [Google Scholar] [CrossRef]
- Gatta, G.D.; Lotti, P.; Comboni, D.; Merlini, M.; Vignola, P.; Liermann, H.P. High-pressure behavior of (Cs, K) Al4Be5B11O28 (londonite): A single-crystal synchrotron diffraction study up to 26 GPa. J. Am. Ceram. Soc. 2017, 100, 4893–4901. [Google Scholar] [CrossRef]
- Lazarz, J.D.; Dera, P.; Hu, Y.; Meng, Y.; Bina, C.R.; Jacobsen, S.D. High-pressure phase transitions of clinoenstatite. Am. Min. 2019, 104, 897–904. [Google Scholar] [CrossRef]
- Finkelstein, G.J.; Dera, P.K.; Jahn, S.; Oganov, A.R.; Holl, C.M.; Meng, Y.; Duffy, T.S. Phase transitions and equation of state of forsterite to 90 GPa from single-crystal X-ray diffraction and molecular modeling. Am. Min. 2014, 99, 35–43. [Google Scholar] [CrossRef]
- Ross, N.L.; Hazen, R.M. High-pressure crystal chemistry of Mg Si O3 perovskite. Phys. Chem. Min. 1990, 17, 228–237. [Google Scholar] [CrossRef]
- Kudoh, Y.; Ito, E.; Takeda, H. Effect of pressure on the crystal structure of perovskite type Mg Si O3. Phys. Chem. Min. 1987, 14, 350–354. [Google Scholar] [CrossRef]
- Sugahara, M.; Yoshiasa, A.; Komatsu, Y.; Yamanaka, T.; Bolfan Casanova, N.; Nakatsuka, A.; Sasaki, S.; Tanaka, M. Reinvestigation of the MgSiO3 perovskite structure at high pressure. Am. Min. 2006, 91, 533–536. [Google Scholar] [CrossRef]
- Richet, P.; Mao, H.-K.; Bell, P.M. Static compression and equation of state of CaO to 1.35 Mbar. J. Geophys. Res. 1988, 93, 15279–15288. [Google Scholar] [CrossRef]
- Zhao, J.; Ross, N.L.; Wang, D.; Angel, R.J. High-pressure crystal structure of elastically isotropic CaTiO3 perovskite under hydrostatic and non-hydrostatic conditions. J. Phys. Cond. Matt. 2011, 23, 455401. [Google Scholar] [CrossRef] [PubMed]
- Milani, S.; Comboni, D.; Lotti, P.; Fumagalli, P.; Ziberna, L.; Maurice, J.; Hanfland, M.; Merlini, M. Crystal structure evolution of CaSiO3 polymorphs at earth’s mantle pressures. Minerals 2021, 11, 652. [Google Scholar] [CrossRef]
- Xiao, W.; Tan, D.; Zhou, W.; Liu, J.; Xu, J. Cubic perovskite polymorph of strontium metasilicate at high pressures. Am. Min. 2013, 98, 2096–2104. [Google Scholar] [CrossRef]
- Loridant, S.; Lucazeau, G.; Le Bihan, T. A high-pressure Raman and X-ray diffraction study of the perovskite SrCeO3. J. Phys. Chem. Sol. 2002, 63, 1983–1992. [Google Scholar] [CrossRef]
- Knight, K.S.; Marshall, W.G.; Bonanos, N.; Francis, D.J. Pressure dependence of the crystal structure of SrCeO3 perovskite. J. All Comp. 2005, 394, 131–137. [Google Scholar] [CrossRef]
- Errandonea, D.; Kumar, R.S.; Ma, X.; Tu, C. High-pressure X-ray diffraction of SrMoO4 and pressure-induced structural changes. J. Sol. Stat. Chem. 2008, 181, 355–364. [Google Scholar] [CrossRef]
- Crichton, W.; Merlini, M.; Hanfland, M.; Mueller, H. The crystal structure of barite, Ba(SO4), at high pressure. Am. Min. 2011, 96, 364–367. [Google Scholar] [CrossRef]
- Santamaria-Perez, D.; Chulia-Jordan, R. Compression of mineral barite, BaSO4: A structural study. High. Pressure Res. 2012, 32, 81–88. [Google Scholar] [CrossRef]
- Errandonea, D.; Pellicer-Porres, J.; Manjón, F.J.; Segura, A.; Ferrer-Roca, C.; Kumar, R.S.; Tschauner, O.; López-Solano, J.; Rodríguez-Hernández, P.; Radescu, S.; et al. Determination of the high-presure crystal structure of BaWO4 and PbWO4. Phys. Rev. B Cond. Matt. Mat. Phys. 2006, 73, 224103. [Google Scholar] [CrossRef]
- Yusa, H.; Sata, N.; Ohishi, Y. Rhombohedral(9R) and hexagonal(6H) perovskites in barium silicates under high pressure. Am. Min. 2007, 92, 648–654. [Google Scholar] [CrossRef]
- Friedrich, A.; Kunz, M.; Miletich, R.; Pattison, P. High-pressure behavior of Ba(OH)2: Phase transitions and bulk modulus. Phys. Rev. B Cond. Matt. Mat. Phys. 2002, 66, 214103. [Google Scholar] [CrossRef]
- Hayward, S.A.; Redfern, S.A.T.; Stone, H.J.; Tucker, M.G.; Whittle, K.R.; Marshall, W.G. Phase transitions in BaTiO3: A high-pressure neutron diffraction study. Z. Krist. 2005, 220, 735–739. [Google Scholar] [CrossRef]
- Hazen, R.M.; Finger, L.W.; Hemley, R.J.; Mao, H.K. High-pressure crystal chemistry and amorphization of alpha quartz. Solid State Commun. 1989, 72, 507–511. [Google Scholar] [CrossRef]
- Levien, L.; Prewitt, C.T.; Weidner, D.J. Structure and elastic properties of quartz at pressure. Am. Min. 1980, 65, 920–930. [Google Scholar]
- Angel, R.J.; Shaw, C.S.J.; Gibbs, G.V. Compression mechanisms of coesite. Phys. Chem. Min. 2003, 30, 167–176. [Google Scholar] [CrossRef]
- Kudoh, Y.; Takeda, H. Single crystal X-ray diffraction study on the bond compressibility of fayalite, Fe2SiO4 and rutile, TiO2 under high pressure. Phys. B + C Phys. Cond. Matt. 1986, 139, 333–336. [Google Scholar] [CrossRef]
- Andrault, D.; Angel, R.J.; Mosenfelder, J.L.; Le Bihan, T. Equation of state of stishovite to lower mantle pressures. Am. Min. 2003, 88, 301–307. [Google Scholar] [CrossRef]
- Zhang, L.; Popov, D.; Meng, Y.; Wang, J.; Ji, C.; Li, B.; Mao, H.K. In-situ crystal structure determination of seifertite SiO2 at 129 GPa: Studying a minor phase near Earth’s core-mantle boundary. Am. Min. 2016, 101, 231–234. [Google Scholar] [CrossRef][Green Version]
- Ross, N.L.; Shu, J.-F.; Hazen, R.M.; Gasparik, T. High-pressure crystal chemistry of stishovite. Am. Min. 1990, 75, 739–747. [Google Scholar]
- Yamanaka, T.; Fukuda, T.; Tsuchiya, J. Bonding character of SiO2 stishovite under high pressures up to 30 GPa. Phys. Chem. Min. 2002, 29, 633–641. [Google Scholar] [CrossRef]
- Sugiyama, M.; Endo, S.; Koto, K. The crystal structure of stishovite under pressure up to 6 GPa. Miner. J. 1987, 13, 455–466. [Google Scholar] [CrossRef][Green Version]
- Tschauner, O.; Huang, S.; Yang, S.; Humayun, M.; Liu, W.; Gilbert Corder, S.N.; Bechtel, H.A.; Tischler, J.; Rossman, G.R. Discovery of davemaoite, CaSiO3-perovskite, as a mineral from the lower mantle. Science 2021, 374, 891–894. [Google Scholar] [CrossRef][Green Version]
- Rahm, M.; Zeng, T.; Hoffmann, R. Electronegativity Seen as the Ground-State Average Valence Electron Binding Energy. J. Am. Chem. Soc. 2019, 141, 342–351. [Google Scholar] [CrossRef] [PubMed]
- Pauling, L. The theoretical prediction of the physical properties of many-electron atoms and ions. Proc. Roy. Acad. Ser. A 1927, 114, 181–211. [Google Scholar]
- Slater, J.C. Atomic Shielding Constants. Phys. Rev. 1930, 36, 57–64. [Google Scholar] [CrossRef]
- Clementi, E.; Raimondi, D.L. Atomic Screening Constants from SCF Functions. J. Chem. Phys. 1963, 38, 2686–2689. [Google Scholar] [CrossRef]
- Gillet, P.; Fiquet, G.; Daniel, I.; Reynard, B.; Hanfland, M. Equations of state of 12C and 13C diamond. Phys. Rev. B 1999, 60, 14660–14664. [Google Scholar] [CrossRef]
- Crowhurst, J.C.; Goncharov, A.F.; Sadigh, B.; Evans, C.L.; Morrall, P.G.; Ferreira, J.L.; Nelson, A.J. Synthesis and characterization of the nitrides of platinum and iridium. Science 2006, 311, 1275–1278. [Google Scholar] [CrossRef]
- Haines, J.; Leger, J. Phase-transitions in ruthenium dioxide up to 40 GPa—Mechanism for the rutile-to-fluorite phase-transformatin and a model for the high-pressure behavior of stishoivte SiO2. Phys. Rev. B 1993, 48, 13344–13350. [Google Scholar] [CrossRef]
- Tschauner, O.; Kiefer, B.; Tetard, F.; Tait, K.; Bourguille, J.; Zerr, A.; Dera, P.; McDowell, A.; Knight, J.; Clark, C. Elastic moduli and hardness of highly incompressible platinum perpnictide PtAs2. Appl. Phys. Lett. 2013, 103, 101901. [Google Scholar] [CrossRef]
- Rahm, M.; Cammi, R.; Ashcroft, N.W.; Hoffmann, R. Squeezing All Elements in the Periodic Table: Electron Configuration and Electronegativity of the Atoms under Compression. J. Am. Chem. Soc. 2019, 141, 10253–10271. [Google Scholar] [CrossRef]






Disclaimer/Publisher’s Note: The statements, opinions and data contained in all publications are solely those of the individual author(s) and contributor(s) and not of MDPI and/or the editor(s). MDPI and/or the editor(s) disclaim responsibility for any injury to people or property resulting from any ideas, methods, instructions or products referred to in the content. |
© 2023 by the author. Licensee MDPI, Basel, Switzerland. This article is an open access article distributed under the terms and conditions of the Creative Commons Attribution (CC BY) license (https://creativecommons.org/licenses/by/4.0/).
Share and Cite
Tschauner, O. Pressure-Dependent Crystal Radii. Solids 2023, 4, 235-253. https://doi.org/10.3390/solids4030015
Tschauner O. Pressure-Dependent Crystal Radii. Solids. 2023; 4(3):235-253. https://doi.org/10.3390/solids4030015
Chicago/Turabian StyleTschauner, Oliver. 2023. "Pressure-Dependent Crystal Radii" Solids 4, no. 3: 235-253. https://doi.org/10.3390/solids4030015
APA StyleTschauner, O. (2023). Pressure-Dependent Crystal Radii. Solids, 4(3), 235-253. https://doi.org/10.3390/solids4030015

