Effective Method for Multi-Probe Electrical Measurements of Organic Single Crystals: Four-Terminal Natural Adhesion Contact
Abstract
:1. Introduction
2. Experimental Details
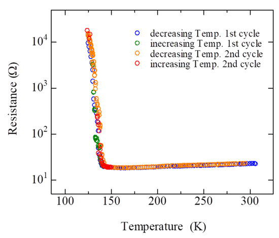
3. Results and Discussion
4. Conclusions
Author Contributions
Funding
Institutional Review Board Statement
Informed Consent Statement
Data Availability Statement
Acknowledgments
Conflicts of Interest
References
- Takeya, J.; Goldmann, C.; Haas, S.; Pernstich, K.P.; Ketterer, B.; Batlogg, B. Field-induced charge transport at the surface of pentacene single crystals: A method to study charge dynamics of two-dimensional electron systems in organic crystals. J. Appl. Phys. 2003, 94, 5800–5804. [Google Scholar] [CrossRef] [Green Version]
- Takeya, J.; Nishikawa, T.; Takenobu, T.; Kobayashi, S.; Iwasa, Y.; Mitani, T.; Goldmann, C.; Krellner, C.; Batlog, B. Effects of polarized organosilane self-assembled monolayers on organic single-crystal field-effect transistors. Appl. Phys. Lett. 2004, 85, 5078–5080. [Google Scholar] [CrossRef] [Green Version]
- Takeya, J.; Tsukagoshi, K.; Aoyagi, Y.; Takenobu, T.; Iwasa, Y. Hall Effect of Quasi-Hole Gas in Organic Single-Crystal Transistors. Jpn. J. Appl. Phys. 2005, 44, L1393. [Google Scholar] [CrossRef] [Green Version]
- Sundar, V.C.; Zaumseil, J.; Podzorov, V.; Menard, E.; Willett, R.L.; Someya, T.; Gershenson, M.E.; Rogers, J.A. Elastomeric Transistor Stamps: Reversible Probing of Charge Transport in Organic Crystals. Science 2004, 303, 1644–1646. [Google Scholar] [CrossRef] [Green Version]
- Takafumi, A.; Emiko, O.; Zh, N.B.; Hayao, K.; Takafumi, M.; Madoka, T. Electrical Properties of an Organic Conductor, β’- (BEDT-TTF)2ICl2 up to 10 GPa. Chem. Lett. 2000, 29, 406–407. [Google Scholar]
- Suda, M.; Kawasugi, Y.; Minari, T.; Tsukagoshi, K.; Kato, R.; Yamamoto, H.M. Strain-Tunable Superconducting Field-Effect Transistor with an Organic Strongly-Correlated Electron System. Adv. Mater. 2014, 26, 3490–3495. [Google Scholar] [CrossRef]
- Suda, M.; Yamamoto, H.M. Field-, strain- and light-induced superconductivity in organic strongly correlated electron systems. Phys. Chem. Chem. Phys. 2018, 20, 1321–1331. [Google Scholar] [CrossRef]
- Yoshimoto, S.; Miyahara, R.; Yoshikura, Y.; Tang, J.; Mukai, K.; Yoshinobu, J. Initial gas exposure effects on monolayer pentacene field-effect transistor studied using four gallium indium probes. Org. Electron. 2018, 54, 34–39. [Google Scholar] [CrossRef]
- Yoshimoto, S.; Takahashi, K.; Suzuki, M.; Yamada, H.; Miyahara, R.; Mukai, K.; Yoshinobu, J. Highly anisotropic mobility in solution processed TIPS-pentacene film studied by independently driven four GaIn probes. Appl. Phys. Lett. 2017, 111, 073301. [Google Scholar] [CrossRef]
- Loo, Y.-L.; Someya, T.; Baldwin, K.W.; Bao, Z.; Ho, P.; Dodabalapur, A.; Katz, H.E.; Rogers, J.A. Soft, conformable electrical contacts for organic semiconductors: High-resolution plastic circuits by lamination. Proc. Natl. Acad. Sci. USA 2002, 99, 10252–10256. [Google Scholar] [CrossRef] [Green Version]
- Yamamura, A.; Fujii, H.; Ogasawara, H.; Nordlund, D.; Takahashi, O.; Kishi, Y.; Ishii, H.; Kobayashi, N.; Niitsu, N.; Blulle, B.; et al. Sub-molecular structural relaxation at a physisorbed interface with monolayer organic single-crystal semiconductors. Commun. Phys. 2020, 3, 1–8. [Google Scholar] [CrossRef] [Green Version]
- Zaumseil, J.; Someya, T.; Bao, Z.; Loo, Y.-L.; Cirelli, R.; Rogers, J.A. Nanoscale organic transistors that use source/drain electrodes supported by high resolution rubber stamps. Appl. Phys. Lett. 2003, 82, 793–795. [Google Scholar] [CrossRef] [Green Version]
- Bernards, D.A.; Biegala, T.; Samuels, Z.A.; Slinker, J.D.; Malliaras, G.G.; Flores-Torres, S.; Abruna, H.D.; Rogers, J.A. Organic light-emitting devices with laminated top contacts. Appl. Phys. Lett. 2004, 84, 3675–3677. [Google Scholar] [CrossRef] [Green Version]
- Kim, J.-H.; Sun, Q.; Seo, S. Pressure dependent current-controllable devices based on organic thin film transistors by soft-contact lamination. Org. Electron. 2010, 11, 964–968. [Google Scholar] [CrossRef]
- Liu, C.; Chen, C.; Li, X.; Hu, S.; Liu, C.; Huang, K.; Dai, F.; Zhang, B.; Liu, X.; Minari, T.; et al. A General Approach to Probe Dynamic Operation and Carrier Mobility in Field-Effect Transistors with Nonuniform Accumulation. Adv. Funct. Mater. 2019, 29, 1901700. [Google Scholar] [CrossRef]
- Li, D.; Li, S.; Lu, W.; Feng, S.; Wei, P.; Hu, Y.; Wang, X.; Lu, G. Rapidly Measuring Charge Carrier Mobility of Organic Semiconductor Films Upon a Point-Contact Four-Probes Method. IEEE J. Electron. Devices Soc. 2019, 7, 303–308. [Google Scholar] [CrossRef]
- Hamai, T.; Arai, S.; Hasegawa, T. Effects of tunneling-based access resistance in layered single-crystalline organic transistors. J. Mater. Res. 2018, 33, 2350–2363. [Google Scholar] [CrossRef]
- Hamai, T.; Arai, S.; Minemawari, H.; Inoue, S.; Kumai, R.; Hasegawa, T. Tunneling and Origin of Large Access Resistance in Layered-Crystal Organic Transistors. Phys. Rev. Appl. 2017, 8, 054011. [Google Scholar] [CrossRef] [Green Version]
- Cho, J.-M.; Mori, T. Low-Temperature Band Transport and Impact of Contact Resistance in Organic Field-Effect Transistors Based on Single-Crystal Films of Ph-BTBT-C10. Phys. Rev. Appl. 2016, 5, 064017. [Google Scholar] [CrossRef]
- Bender, K.; Dietz, K.; Endres, H.; Helberg, H.W.; Hennig, I.; Keller, H.J.; Schafer, H.W.; Schweitzer, D. (BEDT-TTF)2+J3-: A Two-Dimensional Organic Metal. Mol. Cryst. Liqid Cryst. 1984, 107, 45–53. [Google Scholar] [CrossRef] [Green Version]
- Bender, K.; Hennig, I.; Schweitzer, D.; Dietz, K.; Endres, H.; Keller, H.J. Synthesis, Structure and Physical Properties of a Two-Dimensional Organic Metal, Di[bis(ethylenedithiolo)tetrathiofulvalene] triiodide, (BEDT-TTF)2+ I3-. Mol. Cryst. Liqid Cryst. 1984, 108, 359–371. [Google Scholar] [CrossRef] [Green Version]
- Kawakami, Y.; Fukatsu, T.; Sakurai, Y.; Unno, H.; Itoh, H.; Iwai, S.; Sasaki, T.; Yamamoto, K.; Yakushi, K.; Yonemitsu, K. Early-Stage Dynamics of Light-Matter Interaction Leading to the Insulator-to-Metal Transition in a Charge Ordered Organic Crystal. Phys. Rev. Lett. 2010, 105, 246402. [Google Scholar] [CrossRef] [PubMed]
- Seo, H. Broken symmetry states in quasi-one-dimensional molecular conductors - competitions, co-existences, and frustration. Physica B 2010, 405, S126–S130. [Google Scholar] [CrossRef]
- Wojciechowski, R.; Yamamoto, K.; Yakushi, K.; Inokuchi, M.; Kawamoto, A. High-pressure Raman study of the charge ordering in α-(BEDT-TTF)2I3. Phys. Rev. B 2003, 67, 224105. [Google Scholar] [CrossRef]
- Yue, Y.; Yamamoto, K.; Uruichi, M.; Nakano, C.; Yakushi, K.; Yamada, S.; Hiejima, T.; Kawamoto, A. Nonuniform site-charge distribution and fluctuations of charge order in the metallic state of α-(BEDT-TTF)2I3. Phys. Rev. B 2010, 82, 075134. [Google Scholar] [CrossRef] [Green Version]
- Ivek, T.; Korin-Hamzic, B.; Milat, O.; Tomic, S.; Clauss, C.; Drichko, N.; Schweitzer, D.; Dressel, M. Electrodynamic response of the charge ordering phase: Dielectric and optical studies of α-(BEDT-TTF)2I3. Phys. Rev. B 2011, 83, 165128. [Google Scholar] [CrossRef] [Green Version]
- Tajima, N.; Sugawara, S.; Tamura, M.; Nishio, Y.; Kajita, K. Electronic Phases in an Organic Conductor α-(BEDT-TTF)2I3: Ultra Narrow Gap Semiconductor, Superconductor, Metal, and Charge-Ordered Insulator. J. Phys. Soc. Jpn. 2006, 75, 051010. [Google Scholar] [CrossRef] [Green Version]
- Kodama, K.; Kimata, M.; Takahide, Y.; Kurita, N.; Harada, A.; Satsukawa, H.; Terashima, T.; Uji, S.; Yamamoto, K.; Yakushi, K. Charge Transport in Charge-Ordered States of Two-Dimensional Organic Conductors, α-(BEDT-TTF)2I3 and α’-(BEDT-TTF)2IBr2. J. Phys. Soc. Jpn. 2012, 81, 044703. [Google Scholar] [CrossRef]
- Ivek, T.; Culo, M.; Kuvezdic, M.; Tutis, E.; Basletic, M.; Mihaljevic, B.; Tafra, E.; Tomic, S.; Lohle, A.; Dressel, M.; et al. Semimetallic and charge-ordered α-(BEDT-TTF)2I3: On the role of disorder in dc transport and dielectric properties. Phys. Rev. B 2017, 96, 075141. [Google Scholar] [CrossRef] [Green Version]
- Ishikawa, K.; Hirata, M.; Liu, D.; Miyagawa, K.; Tamura, M.; Kanoda, K. Spin excitations in the quasi-two-dimensional charge-ordered insulator α-(BEDT-TTF)2I3 probed via 13C NMR. Phys. Rev. B 2016, 94, 085154. [Google Scholar] [CrossRef] [Green Version]




Publisher’s Note: MDPI stays neutral with regard to jurisdictional claims in published maps and institutional affiliations. |
© 2022 by the authors. Licensee MDPI, Basel, Switzerland. This article is an open access article distributed under the terms and conditions of the Creative Commons Attribution (CC BY) license (https://creativecommons.org/licenses/by/4.0/).
Share and Cite
Watanabe, H.; Ushikubo, S.; Sakai, M.; Kudo, K.; Masu, H. Effective Method for Multi-Probe Electrical Measurements of Organic Single Crystals: Four-Terminal Natural Adhesion Contact. Solids 2022, 3, 311-318. https://doi.org/10.3390/solids3020022
Watanabe H, Ushikubo S, Sakai M, Kudo K, Masu H. Effective Method for Multi-Probe Electrical Measurements of Organic Single Crystals: Four-Terminal Natural Adhesion Contact. Solids. 2022; 3(2):311-318. https://doi.org/10.3390/solids3020022
Chicago/Turabian StyleWatanabe, Hiroki, Sakyo Ushikubo, Masatoshi Sakai, Kazuhiro Kudo, and Hyuma Masu. 2022. "Effective Method for Multi-Probe Electrical Measurements of Organic Single Crystals: Four-Terminal Natural Adhesion Contact" Solids 3, no. 2: 311-318. https://doi.org/10.3390/solids3020022
APA StyleWatanabe, H., Ushikubo, S., Sakai, M., Kudo, K., & Masu, H. (2022). Effective Method for Multi-Probe Electrical Measurements of Organic Single Crystals: Four-Terminal Natural Adhesion Contact. Solids, 3(2), 311-318. https://doi.org/10.3390/solids3020022

