Thirty-Year Anniversary of κ-(BEDT-TTF)2Cu2(CN)3: Reconciling the Spin Gap in a Spin-Liquid Candidate
Abstract
:1. Introduction
2. Anatomy of the Magnetic Ground State of -(BEDT-TTF)Cu(CN)
2.1. Absence of Magnetic Order
2.2. Evidence for a Spin Gap below K
2.2.1. Spin Susceptibility
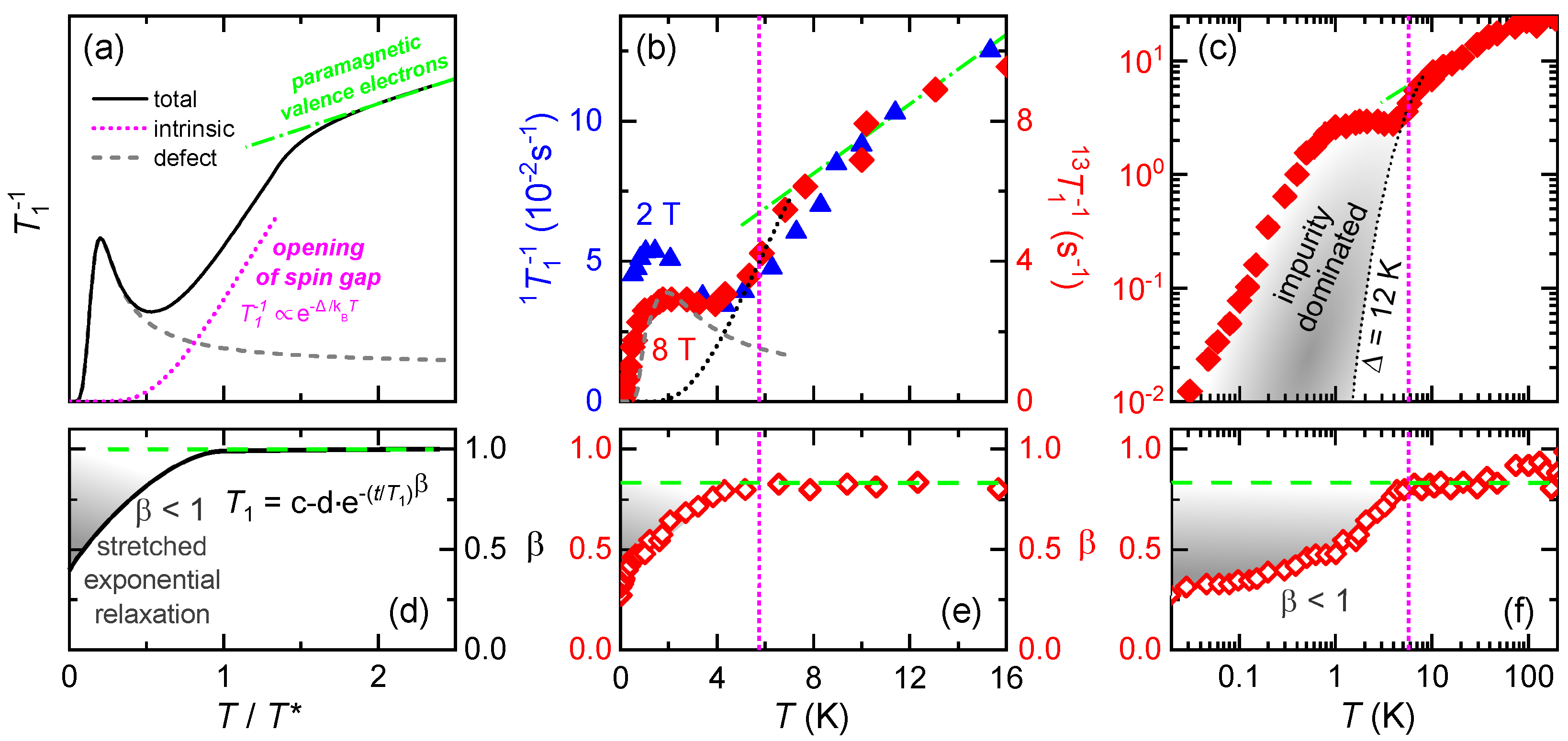
2.2.2. NMR Spin-Lattice Relaxation Rate
2.2.3. Thermal Transport
2.2.4. NMR Knight Shift and -SR
2.3. Structural Distortion at the ‘6K Anomaly’
2.3.1. Thermodynamic Signatures
2.3.2. Vibrational Spectroscopy and NQR
2.4. B–T Phase Diagram of the Spin-Gapped Ground State
3. Conclusions and Outlook
Do Quantum Spin Liquids Exist in Solids?
Funding
Institutional Review Board Statement
Informed Consent Statement
Data Availability Statement
Acknowledgments
Conflicts of Interest
References
- Anderson, P.W. Resonating valence bonds: A new kind of insulator? Mater. Res. Bull. 1973, 8, 153–160. [Google Scholar] [CrossRef]
- Balents, L. Spin liquids in frustrated magnets. Nature 2010, 464, 199–208. [Google Scholar] [CrossRef] [PubMed]
- Savary, L.; Balents, L. Quantum spin liquids: A review. Rep. Prog. Phys. 2017, 80, 016502. [Google Scholar] [CrossRef] [PubMed]
- Zhou, Y.; Kanoda, K.; Ng, T.K. Quantum spin liquid states. Rev. Mod. Phys. 2017, 89, 25003. [Google Scholar] [CrossRef]
- Broholm, C.; Cava, R.J.; Kivelson, S.A.; Nocera, D.G.; Norman, M.R.; Senthil, T. Quantum spin liquids. Science 2020, 367, eaay0668. [Google Scholar] [CrossRef] [Green Version]
- Powell, B.J.; McKenzie, R.H. Quantum frustration in organic Mott insulators: From spin liquids to unconventional superconductors. Rep. Prog. Phys. 2011, 74, 56501. [Google Scholar] [CrossRef]
- Kanoda, K.; Kato, R. Mott Physics in Organic Conductors with Triangular Lattices. Annu. Rev. Condens. Matter Phys. 2011, 2, 167–188. [Google Scholar] [CrossRef]
- Shen, Y.; Li, Y.D.; Wo, H.; Li, Y.; Shen, S.; Pan, B.; Wang, Q.; Walker, H.C.; Steffens, P.; Boehm, M.; et al. Evidence for a spinon Fermi surface in a triangular-lattice quantum-spin-liquid candidate. Nature 2016, 540, 559–562. [Google Scholar] [CrossRef] [Green Version]
- Xu, Y.; Zhang, J.; Li, Y.S.; Yu, Y.J.; Hong, X.C.; Zhang, Q.M.; Li, S.Y. Absence of Magnetic Thermal Conductivity in the Quantum Spin-Liquid Candidate YbMgGaO4. Phys. Rev. Lett. 2016, 117, 267202. [Google Scholar] [CrossRef] [Green Version]
- Li, Y.; Adroja, D.; Bewley, R.I.; Voneshen, D.; Tsirlin, A.A.; Gegenwart, P.; Zhang, Q. Crystalline Electric-Field Randomness in the Triangular Lattice Spin-Liquid YbMgGaO4. Phys. Rev. Lett. 2017, 118, 107202. [Google Scholar] [CrossRef] [Green Version]
- Norman, M.R. Colloquium: Herbertsmithite and the search for the quantum spin liquid. Rev. Mod. Phys. 2016, 88, 041002. [Google Scholar] [CrossRef] [Green Version]
- Puphal, P.; Zoch, K.M.; Désor, J.; Bolte, M.; Krellner, C. Kagome quantum spin systems in the atacamite family. Phys. Rev. Mater. 2018, 2, 63402. [Google Scholar] [CrossRef] [Green Version]
- Semeghini, G.; Levine, H.; Keesling, A.; Ebadi, S.; Wang, T.; Bluvstein, D.; Verresen, R.; Pichler, P.; Kalinowski, K.; Samajdar, R.; et al. Probing topological spin liquids on a programmable quantum simulator. Science 2021, 374, 1242–1247. [Google Scholar] [CrossRef]
- Kitaev, A. Anyons in an exactly solved model and beyond. Ann. Phys. 2006, 321, 2–111. [Google Scholar] [CrossRef] [Green Version]
- Singh, Y.; Gegenwart, P. Antiferromagnetic Mott insulating state in single crystals of the honeycomb lattice material Na2IrO3. Phys. Rev. B 2010, 82, 64412. [Google Scholar] [CrossRef]
- Plumb, K.W.; Clancy, J.P.; Sandilands, L.J.; Shankar, V.V.; Hu, Y.F.; Burch, K.S.; Kee, H.Y.; Kim, Y.J. α-RuCl3: A spin-orbit assisted Mott insulator on a honeycomb lattice. Phys. Rev. B 2014, 90, 41112. [Google Scholar] [CrossRef] [Green Version]
- Johnson, R.D.; Williams, S.C.; Haghighirad, A.A.; Singleton, J.; Zapf, V.; Manuel, P.; Mazin, I.I.; Li, Y.; Jeschke, H.O.; Valentí, R.; et al. Monoclinic crystal structure of α-RuCl3 and the zigzag antiferromagnetic ground state. Phys. Rev. B 2015, 92, 235119. [Google Scholar] [CrossRef] [Green Version]
- Banerjee, A.; Bridges, C.A.; Yan, J.Q.; Aczel, A.A.; Li, L.; Stone, M.B.; Granroth, G.E.; Lumsden, M.D.; Yiu, Y.; Knolle, J.; et al. Proximate Kitaev quantum spin liquid behaviour in a honeycomb magnet. Nat. Mater. 2016, 15, 733. [Google Scholar] [CrossRef] [Green Version]
- Banerjee, A.; Yan, J.; Knolle, J.; Bridges, C.A.; Stone, M.B.; Lumsden, M.D.; Mandrus, D.G.; Tennant, D.A.; Moessner, R.; Nagler, S.E. Neutron scattering in the proximate quantum spin liquid α-RuCl3. Science 2017, 356, 1055–1059. [Google Scholar] [CrossRef] [Green Version]
- Takagi, H.; Takayama, T.; Jackeli, G.; Khaliullin, G.; Nagler, S.E. Concept and realization of Kitaev quantum spin liquids. Nat. Rev. Phys. 2019, 1, 264–280. [Google Scholar] [CrossRef]
- Lee, S.S.; Lee, P.A. U(1) Gauge Theory of the Hubbard Model: Spin Liquid States and Possible Application to κ-(BEDT-TTF)2Cu2(CN)3. Phys. Rev. Lett. 2005, 95, 36403. [Google Scholar] [CrossRef] [PubMed] [Green Version]
- Ng, T.K.; Lee, P.A. Power-Law Conductivity inside the Mott Gap: Application to κ-(BEDT-TTF)2Cu2(CN)3. Phys. Rev. Lett. 2007, 99, 156402. [Google Scholar] [CrossRef] [Green Version]
- Fu, M.; Imai, T.; Han, T.H.; Lee, Y.S. Evidence for a gapped spin-liquid ground state in a kagome Heisenberg antiferromagnet. Science 2015, 350, 655–658. [Google Scholar] [CrossRef] [PubMed] [Green Version]
- Khuntia, P.; Velazquez, M.; Barthélemy, Q.; Bert, F.; Kermarrec, E.; Legros, A.; Bernu, B.; Messio, L.; Zorko, A.; Mendels, P. Gapless ground state in the archetypal quantum kagome antiferromagnet ZnCu3(OH)6Cl2. Nat. Phys. 2020, 16, 469–474. [Google Scholar] [CrossRef]
- Wang, J.; Yuan, W.; Singer, P.M.; Smaha, R.W.; He, W.; Wen, J.; Lee, Y.S.; Imai, T. Emergence of spin singlets with inhomogeneous gaps in the kagome lattice Heisenberg antiferromagnets Zn-barlowite and herbertsmithite. Nat. Phys. 2021, 17, 1109–1113. [Google Scholar] [CrossRef]
- Yamashita, S.; Nakazawa, Y.; Oguni, M.; Oshima, Y.; Nojiri, H.; Shimizu, Y.; Miyagawa, K.; Kanoda, K. Thermodynamic properties of a spin-1/2 spin-liquid state in a [kappa]-type organic salt. Nat. Phys. 2008, 4, 459–462. [Google Scholar] [CrossRef] [Green Version]
- Miksch, B.; Pustogow, A.; Javaheri Rahim, M.; Bardin, A.A.; Kanoda, K.; Schlueter, J.A.; Hübner, R.; Scheffler, M.; Dressel, M. Gapped magnetic ground state in quantum spin liquid candidate κ-(BEDT-TTF)2Cu2(CN)3. Science 2021, 372, 276–279. [Google Scholar] [CrossRef]
- Dressel, M.; Tomić, S. Molecular quantum materials: Electronic phases and charge dynamics in two-dimensional organic solids. Adv. Phys. 2020, 69, 1–120. [Google Scholar] [CrossRef]
- Geiser, U.; Wang, H.H.; Carlson, K.D.; Williams, J.M.; Charlier, H.A.; Heindl, J.E.; Yaconi, G.A.; Love, B.J.; Lathrop, M.W.; Schirber, J.E.; et al. Superconductivity at 2.8 K and 1.5 kbar in κ-(BEDT-TTF)2Cu2(CN)3: The first organic superconductor containing a polymeric copper cyanide anion. Inorg. Chem. 1991, 30, 2586–2588. [Google Scholar] [CrossRef]
- Komatsu, T.; Matsukawa, N.; Inoue, T.; Saito, G. Realization of Superconductivity at Ambient Pressure by Band-Filling Control in κ-(BEDT-TTF)2Cu2(CN)3. J. Phys. Soc. Jpn. 1996, 65, 1340–1354. [Google Scholar] [CrossRef]
- Kurosaki, Y.; Shimizu, Y.; Miyagawa, K.; Kanoda, K.; Saito, G. Mott Transition from a Spin Liquid to a Fermi Liquid in the Spin-Frustrated Organic Conductor κ-(ET)2Cu2(CN)3. Phys. Rev. Lett. 2005, 95, 177001. [Google Scholar] [CrossRef] [PubMed] [Green Version]
- Shimizu, Y.; Kasahara, H.; Furuta, T.; Miyagawa, K.; Kanoda, K.; Maesato, M.; Saito, G. Pressure-induced superconductivity and Mott transition in spin-liquid κ-(ET)2Cu2(CN)3 probed by 13C NMR. Phys. Rev. B 2010, 81, 224508. [Google Scholar] [CrossRef]
- Shimizu, Y.; Maesato, M.; Saito, G. Uniaxial Strain Effects on Mott and Superconducting Transitions in κ-(ET)2Cu2(CN)3. J. Phys. Soc. Jpn. 2011, 80, 74702. [Google Scholar] [CrossRef]
- Shimizu, Y.; Miyagawa, K.; Kanoda, K.; Maesato, M.; Saito, G. Spin Liquid State in an Organic Mott Insulator with a Triangular Lattice. Phys. Rev. Lett. 2003, 91, 107001. [Google Scholar] [CrossRef] [PubMed] [Green Version]
- Kandpal, H.C.; Opahle, I.; Zhang, Y.Z.; Jeschke, H.O.; Valentí, R. Revision of Model Parameters for κ-Type Charge Transfer Salts: An Ab Initio Study. Phys. Rev. Lett. 2009, 103, 67004. [Google Scholar] [CrossRef] [Green Version]
- Itou, T.; Oyamada, A.; Maegawa, S.; Tamura, M.; Kato, R. Quantum spin liquid in the spin-1/2 triangular antiferromagnet EtMe3Sb[Pd(dmit)2]2. Phys. Rev. B 2008, 77, 104413. [Google Scholar] [CrossRef]
- Itou, T.; Oyamada, A.; Maegawa, S.; Kato, R. Instability of a quantum spin liquid in an organic triangular-lattice antiferromagnet. Nat. Phys. 2010, 6, 673–676. [Google Scholar] [CrossRef]
- Yamashita, S.; Yamamoto, T.; Nakazawa, Y.; Tamura, M.; Kato, R. Gapless spin liquid of an organic triangular compound evidenced by thermodynamic measurements. Nat. Commun. 2011, 2, 275. [Google Scholar] [CrossRef]
- Shimizu, Y.; Hiramatsu, T.; Maesato, M.; Otsuka, A.; Yamochi, H.; Ono, A.; Itoh, M.; Yoshida, M.; Takigawa, M.; Yoshida, Y.; et al. Pressure-Tuned Exchange Coupling of a Quantum Spin Liquid in the Molecular Triangular Lattice κ-(ET)2Ag2(CN)3. Phys. Rev. Lett. 2016, 117, 107203. [Google Scholar] [CrossRef] [Green Version]
- Hiramatsu, T.; Yoshida, Y.; Saito, G.; Otsuka, A.; Yamochi, H.; Maesato, M.; Shimizu, Y.; Ito, H.; Nakamura, Y.; Kishida, H.; et al. Design and Preparation of a Quantum Spin Liquid Candidate κ-(ET)2Ag2(CN)3 Having a Nearby Superconductivity. Bull. Chem. Soc. Jpn. 2017, 90, 1073–1082. [Google Scholar] [CrossRef]
- Isono, T.; Kamo, H.; Ueda, A.; Takahashi, K.; Kimata, M.; Tajima, H.; Tsuchiya, S.; Terashima, T.; Uji, S.; Mori, H. Gapless Quantum Spin Liquid in an Organic Spin-1/2 Triangular-Lattice κ-H3(Cat-EDT-TTF)2. Phys. Rev. Lett. 2014, 112, 177201. [Google Scholar] [CrossRef] [PubMed]
- Yamashita, S.; Nakazawa, Y.; Ueda, A.; Mori, H. Thermodynamics of the quantum spin liquid state of the single-component dimer Mott system κ-H3(Cat-EDT-TTF)2. Phys. Rev. B 2017, 95, 184425. [Google Scholar] [CrossRef] [Green Version]
- Furukawa, T.; Miyagawa, K.; Taniguchi, H.; Kato, R.; Kanoda, K. Quantum criticality of Mott transition in organic materials. Nat. Phys. 2015, 11, 221–224. [Google Scholar] [CrossRef] [Green Version]
- Pustogow, A.; Rösslhuber, R.; Tan, Y.; Uykur, E.; Böhme, A.; Wenzel, M.; Saito, Y.; Löhle, A.; Hübner, R.; Schlueter, J.A.; et al. Low-temperature dielectric anomaly arising from electronic phase separation at the Mott insulator-metal transition. NPJ Quantum Mater. 2021, 6, 9. [Google Scholar] [CrossRef]
- Pustogow, A.; Bories, M.; Löhle, A.; Rösslhuber, R.; Zhukova, E.; Gorshunov, B.; Tomić, S.; Schlueter, J.A.; Hübner, R.; Hiramatsu, T.; et al. Quantum spin liquids unveil the genuine Mott state. Nat. Mater. 2018, 17, 773–777. [Google Scholar] [CrossRef]
- Pustogow, A.; Saito, Y.; Löhle, A.; Sanz Alonso, M.; Kawamoto, A.; Dobrosavljević, V.; Dressel, M.; Fratini, S. Rise and fall of Landau’s quasiparticles while approaching the Mott transition. Nat. Commun. 2021, 12, 1571. [Google Scholar] [CrossRef]
- Keimer, B.; Kivelson, S.A.; Norman, M.R.; Uchida, S.; Zaanen, J. From quantum matter to high-temperature superconductivity in copper oxides. Nature 2015, 518, 179–186. [Google Scholar] [CrossRef]
- Hansmann, P.; Toschi, A.; Sangiovanni, G.; Saha-Dasgupta, T.; Lupi, S.; Marsi, M.; Held, K. Mott–Hubbard transition in V2O3 revisited. Phys. Status Solidi B 2013, 250, 1251–1264. [Google Scholar] [CrossRef] [Green Version]
- Georges, A.; Kotliar, G.; Krauth, W.; Rozenberg, M.J. Dynamical mean-field theory of strongly correlated fermion systems and the limit of infinite dimensions. Rev. Mod. Phys. 1996, 68, 13–125. [Google Scholar] [CrossRef] [Green Version]
- Vollhardt, D. Dynamical mean-field theory for correlated electrons. Ann. Phys. (Berl.) 2012, 524, 1–19. [Google Scholar] [CrossRef]
- Limelette, P.; Georges, A.; Jérome, D.; Wzietek, P.; Metcalf, P.; Honig, J.M. Universality and Critical Behavior at the Mott Transition. Science 2003, 302, 89–92. [Google Scholar] [CrossRef] [Green Version]
- Limelette, P.; Wzietek, P.; Florens, S.; Georges, A.; Costi, T.A.; Pasquier, C.; Jérome, D.; Mézière, C.; Batail, P. Mott Transition and Transport Crossovers in the Organic Compound κ-(BEDT-TTF)2Cu[N(CN)2]Cl. Phys. Rev. Lett. 2003, 91, 16401. [Google Scholar] [CrossRef] [PubMed] [Green Version]
- McLeod, A.S.; van Heumen, E.; Ramirez, J.G.; Wang, S.; Saerbeck, T.; Guenon, S.; Goldflam, M.; Anderegg, L.; Kelly, P.; Mueller, A.; et al. Nanotextured phase coexistence in the correlated insulator V2O3. Nat. Phys. 2016, 13, 80–86. [Google Scholar] [CrossRef] [Green Version]
- Terletska, H.; Vučičević, J.; Tanasković, D.; Dobrosavljević, V. Quantum Critical Transport near the Mott Transition. Phys. Rev. Lett. 2011, 107, 26401. [Google Scholar] [CrossRef] [PubMed]
- Vučičević, J.; Terletska, H.; Tanasković, D.; Dobrosavljević, V. Finite-temperature crossover and the quantum Widom line near the Mott transition. Phys. Rev. B 2013, 88, 75143. [Google Scholar] [CrossRef] [Green Version]
- Pinterić, M.; Čulo, M.; Milat, O.; Basletić, M.; Korin-Hamzić, B.; Tafra, E.; Hamzić, A.; Ivek, T.; Peterseim, T.; Miyagawa, K.; et al. Anisotropic charge dynamics in the quantum spin-liquid candidate κ-(BEDT-TTF)2Cu2(CN)3. Phys. Rev. B 2014, 90, 195139. [Google Scholar] [CrossRef] [Green Version]
- Dressel, M.; Lazić, P.; Pustogow, A.; Zhukova, E.; Gorshunov, B.; Schlueter, J.A.; Milat, O.; Gumhalter, B.; Tomić, S. Lattice vibrations of the charge-transfer salt κ-(BEDT-TTF)2Cu2(CN)3: Comprehensive explanation of the electrodynamic response in a spin-liquid compound. Phys. Rev. B 2016, 93, 081201. [Google Scholar] [CrossRef] [Green Version]
- Padmalekha, K.G.; Blankenhorn, M.; Ivek, T.; Bogani, L.; Schlueter, J.A.; Dressel, M. ESR studies on the spin-liquid candidate κ-(BEDT-TTF)2Cu2(CN)3: Anomalous response below T = 8 K. Phys. B Condens. Matter 2015, 460, 211–213. [Google Scholar] [CrossRef] [Green Version]
- Abdel-Jawad, M.; Terasaki, I.; Sasaki, T.; Yoneyama, N.; Kobayashi, N.; Uesu, Y.; Hotta, C. Anomalous dielectric response in the dimer Mott insulator κ-(BEDT-TTF)2Cu2(CN)3. Phys. Rev. B 2010, 82, 125119. [Google Scholar] [CrossRef] [Green Version]
- Hotta, C. Quantum electric dipoles in spin-liquid dimer Mott insulator κ-ET2Cu2(CN)3. Phys. Rev. B 2010, 82, 241104. [Google Scholar] [CrossRef] [Green Version]
- Lunkenheimer, P.; Müller, J.; Krohns, S.; Schrettle, F.; Loidl, A.; Hartmann, B.; Rommel, R.; de Souza, M.; Hotta, C.; Schlueter, J.A.; et al. Multiferroicity in an organic charge-transfer salt that is suggestive of electric-dipole-driven magnetism. Nat. Mater. 2012, 11, 755. [Google Scholar] [CrossRef] [PubMed]
- Gati, E.; Winter, S.M.; Schlueter, J.A.; Schubert, H.; Müller, J.; Lang, M. Insights from experiment and ab initio calculations into the glasslike transition in the molecular conductor κ-(BEDT–TTF)2Hg(SCN)2Cl. Phys. Rev. B 2018, 97, 75115. [Google Scholar] [CrossRef] [Green Version]
- Fukuyama, H.; Kishine, J.I.; Ogata, M. Energy Landscape of Charge Excitations in the Boundary Region between Dimer–Mott and Charge Ordered States in Molecular Solids. J. Phys. Soc. Jpn. 2017, 86, 123706. [Google Scholar] [CrossRef]
- Furukawa, T.; Kobashi, K.; Kurosaki, Y.; Miyagawa, K.; Kanoda, K. Quasi-continuous transition from a Fermi liquid to a spin liquid in κ-(ET)2Cu2(CN)3. Nat. Commun. 2018, 9, 307. [Google Scholar] [CrossRef] [Green Version]
- Miyagawa, K.; Kawamoto, A.; Nakazawa, Y.; Kanoda, K. Antiferromagnetic Ordering and Spin Structure in the Organic Conductor, κ–(BEDT-TTF)2Cu[N(CN)2]Cl. Phys. Rev. Lett. 1995, 75, 1174–1177. [Google Scholar] [CrossRef]
- Lefebvre, S.; Wzietek, P.; Brown, S.; Bourbonnais, C.; Jérome, D.; Mézière, C.; Fourmigué, M.; Batail, P. Mott transition, antiferromagnetism, and unconventional superconductivity in layered organic superconductors. Phys. Rev. Lett. 2000, 85, 5420–5423. [Google Scholar] [CrossRef] [Green Version]
- Shimizu, Y.; Miyagawa, K.; Kanoda, K.; Maesato, M.; Saito, G. Emergence of inhomogeneous moments from spin liquid in the triangular-lattice Mott insulator κ-(ET)2Cu2(CN)3. Phys. Rev. B 2006, 73, 140407. [Google Scholar] [CrossRef] [Green Version]
- Tamura, M.; Nakao, A.; Kato, R. Frustration-Induced Valence-Bond Ordering in a New Quantum Triangular Antiferromagnet Based on [Pd(dmit)2]. J. Phys. Soc. Jpn. 2006, 75, 93701. [Google Scholar] [CrossRef] [Green Version]
- Shimizu, Y.; Akimoto, H.; Tsujii, H.; Tajima, A.; Kato, R. Mott Transition in a Valence-Bond Solid Insulator with a Triangular Lattice. Phys. Rev. Lett. 2007, 99, 256403. [Google Scholar] [CrossRef] [Green Version]
- Itou, T.; Oyamada, A.; Maegawa, S.; Kubo, K.; Yamamoto, H.M.; Kato, R. Superconductivity on the border of a spin-gapped Mott insulator: NMR studies of the quasi-two-dimensional organic system EtMe3P[Pd(dmit)2]2. Phys. Rev. B 2009, 79, 174517. [Google Scholar] [CrossRef]
- Manna, R.S.; de Souza, M.; Kato, R.; Lang, M. Lattice effects in the quasi-two-dimensional valence-bond-solid Mott insulator EtMe3P[Pd(dmit)2]2. Phys. Rev. B 2014, 89, 45113. [Google Scholar] [CrossRef] [Green Version]
- Yoshida, Y.; Ito, H.; Maesato, M.; Shimizu, Y.; Hayama, H.; Hiramatsu, T.; Nakamura, Y.; Kishida, H.; Koretsune, T.; Hotta, C.; et al. Spin-disordered quantum phases in a quasi-one-dimensional triangular lattice. Nat. Phys. 2015, 11, 679–683. [Google Scholar] [CrossRef]
- Shimizu, Y.; Maesato, M.; Yoshida, M.; Takigawa, M.; Itoh, M.; Otsuka, A.; Yamochi, H.; Yoshida, Y.; Kawaguchi, G.; Graf, D.; et al. Magnetic field driven transition between valence bond solid and antiferromagnetic order in a distorted triangular lattice. Phys. Rev. Res. 2021, 3, 23145. [Google Scholar] [CrossRef]
- Richardson, R.C. The Pomeranchuk effect. Rev. Mod. Phys. 1997, 69, 683–690. [Google Scholar] [CrossRef]
- Rozen, A.; Park, J.M.; Zondiner, U.; Cao, Y.; Rodan-Legrain, D.; Taniguchi, T.; Watanabe, K.; Oreg, Y.; Stern, A.; Berg, E.; et al. Entropic evidence for a Pomeranchuk effect in magic-angle graphene. Nature 2021, 592, 214–219. [Google Scholar] [CrossRef]
- Nakazawa, Y.; Yamashita, S. Thermodynamics of a Liquid-like Spin State in Molecule-based Magnets with Geometric Frustrations. Chem. Lett. 2013, 42, 1446–1454. [Google Scholar] [CrossRef]
- Mizukoshi, K.; Nakamura, Y.; Yoshida, Y.; Saito, G.; Kishida, H. Optical Evaluation of Electronic Anisotropy in a Triangular Lattice System κ-(BEDT-TTF)2B(CN)4. J. Phys. Soc. Jpn. 2018, 87, 104708. [Google Scholar] [CrossRef]
- Dumm, M.; Loidl, A.; Alavi, B.; Starkey, K.P.; Montgomery, L.K.; Dressel, M. Comprehensive ESR study of the antiferromagnetic ground states in the one-dimensional spin systems (TMTSF)2PF6,(TMTSF)2AsF6, and (TMTTF)2Br. Phys. Rev. B 2000, 62, 6512–6520. [Google Scholar] [CrossRef]
- Hase, M.; Terasaki, I.; Uchinokura, K. Observation of the spin-Peierls transition in linear Cu2+ (spin-1/2) chains in an inorganic compound CuGeO3. Phys. Rev. Lett. 1993, 70, 3651–3654. [Google Scholar] [CrossRef]
- Isobe, M.; Ueda, Y. Magnetic Susceptibility of Quasi-One-Dimensional Compound α’- NaV2O5 –Possible Spin-Peierls Compound with High Critical Temperature of 34 K–. J. Phys. Soc. Jpn. 1996, 65, 1178–1181. [Google Scholar] [CrossRef]
- Manna, R.S.; de Souza, M.; Brühl, A.; Schlueter, J.A.; Lang, M. Lattice Effects and Entropy Release at the Low-Temperature Phase Transition in the Spin-Liquid Candidate κ-(BEDT-TTF)2Cu2(CN)3. Phys. Rev. Lett. 2010, 104, 16403. [Google Scholar] [CrossRef] [PubMed]
- Pustogow, A.; Le, T.; Wang, H.H.; Luo, Y.; Gati, E.; Schubert, H.; Lang, M.; Brown, S.E. Impurity moments conceal low-energy relaxation of quantum spin liquids. Phys. Rev. B 2020, 101, 140401. [Google Scholar] [CrossRef] [Green Version]
- Saito, Y.; Minamidate, T.; Kawamoto, A.; Matsunaga, N.; Nomura, K. Site-specific 13C NMR study on the locally distorted triangular lattice of the organic conductor κ-(BEDT-TTF)2Cu2(CN)3. Phys. Rev. B 2018, 98, 205141. [Google Scholar] [CrossRef] [Green Version]
- Olariu, A.; Mendels, P.; Bert, F.; Duc, F.; Trombe, J.C.; de Vries, M.A.; Harrison, A. 17O NMR Study of the Intrinsic Magnetic Susceptibility and Spin Dynamics of the Quantum Kagome Antiferromagnet ZnCu3(OH)6Cl2. Phys. Rev. Lett. 2008, 100, 87202. [Google Scholar] [CrossRef] [PubMed] [Green Version]
- Freedman, D.E.; Han, T.H.; Prodi, A.; Müller, P.; Huang, Q.Z.; Chen, Y.S.; Webb, S.M.; Lee, Y.S.; McQueen, T.M.; Nocera, D.G. Site Specific X-ray Anomalous Dispersion of the Geometrically Frustrated Kagomé Magnet, Herbertsmithite, ZnCu3(OH)6Cl2. J. Am. Chem. Soc. 2010, 132, 16185–16190. [Google Scholar] [CrossRef]
- Zhu, Z.; Maksimov, P.A.; White, S.R.; Chernyshev, A.L. Disorder-Induced Mimicry of a Spin Liquid in YbMgGaO4. Phys. Rev. Lett. 2017, 119, 157201. [Google Scholar] [CrossRef] [Green Version]
- Kimchi, I.; Nahum, A.; Senthil, T. Valence Bonds in Random Quantum Magnets: Theory and Application to YbMgGaO4. Phys. Rev. X 2018, 8, 31028. [Google Scholar] [CrossRef] [Green Version]
- Itou, T.; Watanabe, E.; Maegawa, S.; Tajima, A.; Tajima, N.; Kubo, K.; Kato, R.; Kanoda, K. Slow dynamics of electrons at a metal-Mott insulator boundary in an organic system with disorder. Sci. Adv. 2017, 3, e1601594. [Google Scholar] [CrossRef] [Green Version]
- Riedl, K.; Valentí, R.; Winter, S.M. Critical spin liquid versus valence-bond glass in a triangular-lattice organic antiferromagnet. Nat. Commun. 2019, 10, 2561. [Google Scholar] [CrossRef] [Green Version]
- Isono, T.; Terashima, T.; Miyagawa, K.; Kanoda, K.; Uji, S. Quantum criticality in an organic spin-liquid insulator κ-(BEDT-TTF)2Cu2(CN)3. Nat. Commun. 2016, 7, 13494. [Google Scholar] [CrossRef] [Green Version]
- Abragam, A. Principles of Nuclear Magnetism; Oxford University Press: Hong Kong, China, 1983. [Google Scholar]
- Pratt, F.L.; Baker, P.J.; Blundell, S.J.; Lancaster, T.; Ohira-Kawamura, S.; Baines, C.; Shimizu, Y.; Kanoda, K.; Watanabe, I.; Saito, G. Magnetic and non-magnetic phases of a quantum spin liquid. Nature 2011, 471, 612. [Google Scholar] [CrossRef] [PubMed]
- Yamashita, M.; Nakata, N.; Kasahara, Y.; Sasaki, T.; Yoneyama, N.; Kobayashi, N.; Fujimoto, S.; Shibauchi, T.; Matsuda, Y. Thermal-transport measurements in a quantum spin-liquid state of the frustrated triangular magnet nphys1134-m6gif1601313-(BEDT-TTF)2Cu2(CN)3. Nat. Phys. 2009, 5, 44–47. [Google Scholar] [CrossRef] [Green Version]
- Yamashita, M.; Nakata, N.; Senshu, Y.; Nagata, M.; Yamamoto, H.M.; Kato, R.; Shibauchi, T.; Matsuda, Y. Highly Mobile Gapless Excitations in a Two-Dimensional Candidate Quantum Spin Liquid. Science 2010, 328, 1246–1248. [Google Scholar] [CrossRef] [PubMed]
- Bourgeois-Hope, P.; Laliberté, F.; Lefrançois, E.; Grissonnanche, G.; de Cotret, S.R.; Gordon, R.; Kitou, S.; Sawa, H.; Cui, H.; Kato, R.; et al. Thermal Conductivity of the Quantum Spin Liquid Candidate EtMe3Sb[Pd(dmit)2]2: No Evidence of Mobile Gapless Excitations. Phys. Rev. X 2019, 9, 41051. [Google Scholar] [CrossRef] [Green Version]
- Ni, J.M.; Pan, B.L.; Song, B.Q.; Huang, Y.Y.; Zeng, J.Y.; Yu, Y.J.; Cheng, E.J.; Wang, L.S.; Dai, D.Z.; Kato, R.; et al. Absence of Magnetic Thermal Conductivity in the Quantum Spin Liquid Candidate EtMe3Sb[Pd(dmit)2]2. Phys. Rev. Lett. 2019, 123, 247204. [Google Scholar] [CrossRef] [Green Version]
- Yamashita, M.; Sato, Y.; Tominaga, T.; Kasahara, Y.; Kasahara, S.; Cui, H.; Kato, R.; Shibauchi, T.; Matsuda, Y. Presence and absence of itinerant gapless excitations in the quantum spin liquid candidate EtMe3Sb[Pd( dmit )2]2. Phys. Rev. B 2020, 101, 140407. [Google Scholar] [CrossRef] [Green Version]
- Kato, R.; Uebe, M.; Fujiyama, S.; Hengbo, C. A Discrepancy in thermal conductivity measurement data of quantum spin liquid β′-EtMe3Sb[Pd(dmit)2]2 (dmit = 1,3-dithiol-2-thione-4,5-dithiolate). Crystals 2022, 12, 102. [Google Scholar] [CrossRef]
- Ando, Y.; Takeya, J.; Sisson, D.L.; Doettinger, S.G.; Tanaka, I.; Feigelson, R.S.; Kapitulnik, A. Thermal conductivity of the spin-Peierls compound CuGeO3. Phys. Rev. B 1998, 58, R2913–R2916. [Google Scholar] [CrossRef] [Green Version]
- Vasil’ev, A.N.; Pryadun, V.V.; Khomskii, D.I.; Dhalenne, G.; Revcolevschi, A.; Isobe, M.; Ueda, Y. Anomalous Thermal Conductivity of NaV2O5 as Compared to Conventional Spin-Peierls System CuGeO3. Phys. Rev. Lett. 1998, 81, 1949–1952. [Google Scholar] [CrossRef] [Green Version]
- Gregor, K.; Motrunich, O.I. Nonmagnetic impurities in a S = 12 frustrated triangular antiferromagnet: Broadening of 13C NMR lines in κ-(ET)2Cu2(CN)3. Phys. Rev. B 2009, 79, 24421. [Google Scholar] [CrossRef] [Green Version]
- Itoh, K.; Itoh, H.; Naka, M.; Saito, S.; Hosako, I.; Yoneyama, N.; Ishihara, S.; Sasaki, T.; Iwai, S. Collective Excitation of an Electric Dipole on a Molecular Dimer in an Organic Dimer-Mott Insulator. Phys. Rev. Lett. 2013, 110, 106401. [Google Scholar] [CrossRef] [PubMed] [Green Version]
- Kobayashi, T.; Ding, Q.P.; Taniguchi, H.; Satoh, K.; Kawamoto, A.; Furukawa, Y. Charge disproportionation in the spin-liquid candidate κ-(ET)2Cu2(CN)3 at 6 K revealed by 63Cu NQR measurements. Phys. Rev. Res. 2020, 2, 42023. [Google Scholar] [CrossRef]
- de Souza, M.; Brühl, A.; Müller, J.; Foury-Leylekian, P.; Moradpour, A.; Pouget, J.P.; Lang, M. Thermodynamic studies at the charge-ordering and spin-Peierls transitions in (TMTTF)2X. Phys. B Condens. Matter 2009, 404, 494–498. [Google Scholar] [CrossRef]
- Winkelmann, H.; Gamper, E.; Büchner, B.; Braden, M.; Revcolevschi, A.; Dhalenne, G. Giant anomalies of the thermal expansion at the spin-Peierls transition in CuGeO3. Phys. Rev. B 1995, 51, 12884–12887. [Google Scholar] [CrossRef]
- Ramirez, A.P. A flood or a trickle? Nat. Phys. 2008, 4, 442–443. [Google Scholar] [CrossRef]
- Sedlmeier, K.; Elsässer, S.; Neubauer, D.; Beyer, R.; Wu, D.; Ivek, T.; Tomić, S.; Schlueter, J.A.; Dressel, M. Absence of charge order in the dimerized κ-phase BEDT-TTF salts. Phys. Rev. B 2012, 86, 245103. [Google Scholar] [CrossRef] [Green Version]
- Yakushi, K.; Yamamoto, K.; Yamamoto, T.; Saito, Y.; Kawamoto, A. Raman Spectroscopy Study of Charge Fluctuation in the Spin-Liquid Candidate κ-(BEDT-TTF)2Cu2(CN)3. J. Phys. Soc. Jpn. 2015, 84, 84711. [Google Scholar] [CrossRef]
- Drichko, N.; Beyer, R.; Rose, E.; Dressel, M.; Schlueter, J.A.; Turunova, S.A.; Zhilyaeva, E.I.; Lyubovskaya, R.N. Metallic state and charge-order metal-insulator transition in the quasi-two-dimensional conductor κ-(BEDT-TTF)2Hg(SCN)2Cl. Phys. Rev. B 2014, 89, 75133. [Google Scholar] [CrossRef]
- Jeschke, H.O.; de Souza, M.; Valentí, R.; Manna, R.S.; Lang, M.; Schlueter, J.A. Temperature dependence of structural and electronic properties of the spin-liquid candidate κ-(BEDT-TTF)2Cu2(CN)3. Phys. Rev. B 2012, 85, 35125. [Google Scholar] [CrossRef] [Green Version]
- Manna, R.S.; Hartmann, S.; Gati, E.; Schlueter, J.A.; De Souza, M.; Lang, M. Low-Temperature Lattice Effects in the Spin-Liquid Candidate κ-(BEDT-TTF)2Cu2(CN)3. Crystals 2018, 8, 87. [Google Scholar] [CrossRef] [Green Version]
- Poirier, M.; de Lafontaine, M.; Miyagawa, K.; Kanoda, K.; Shimizu, Y. Ultrasonic investigation of the transition at 6 K in the spin-liquid candidate κ-(BEDT-TTF)2Cu2(CN)3. Phys. Rev. B 2014, 89, 45138. [Google Scholar] [CrossRef]
- Poirier, M.; Parent, S.; Côté, A.; Miyagawa, K.; Kanoda, K.; Shimizu, Y. Magnetodielectric effects and spin-charge coupling in the spin-liquid candidate κ-(BEDT-TTF)2Cu2(CN)3. Phys. Rev. B 2012, 85, 134444. [Google Scholar] [CrossRef]
- Cross, M.C.; Fisher, D.S. A new theory of the spin-Peierls transition with special relevance to the experiments on TTFCuBDT. Phys. Rev. B 1979, 19, 402–419. [Google Scholar] [CrossRef] [Green Version]
- Cross, M.C. Effect of magnetic fields on a spin-Peierls transition. Phys. Rev. B 1979, 20, 4606–4611. [Google Scholar] [CrossRef] [Green Version]
- Zeman, J.; Martinez, G.; van Loosdrecht, P.H.M.; Dhalenne, G.; Revcolevschi, A. Scaling of the H- T Phase Diagram of CuGeO3. Phys. Rev. Lett. 1999, 83, 2648–2651. [Google Scholar] [CrossRef] [Green Version]
- Langlois, A.; Poirier, M.; Bourbonnais, C.; Foury-Leylekian, P.; Moradpour, A.; Pouget, J.P. Microwave dielectric study of spin-Peierls and charge-ordering transitions in (TMTTF)2PF6 salts. Phys. Rev. B 2010, 81, 125101. [Google Scholar] [CrossRef] [Green Version]
- Hassan, N.; Cunningham, S.; Mourigal, M.; Zhilyaeva, E.I.; Torunova, S.A.; Lyubovskaya, R.N.; Schlueter, J.A.; Drichko, N. Evidence for a quantum dipole liquid state in an organic quasi–two-dimensional material. Science 2018, 360, 1101–1104. [Google Scholar] [CrossRef] [Green Version]
- Hartmann, S.; Gati, E.; Yoshida, Y.; Saito, G.; Lang, M. Thermal Expansion Studies on the Spin-Liquid-Candidate System κ-(BEDT-TTF)2Ag2(CN)3. Phys. Status Solidi B 2019, 256, 1800640. [Google Scholar] [CrossRef]
- Poirier, M.; Proulx, M.O.; Kato, R. Ultrasonic investigation of the organic spin-liquid compound EtMe3Sb[Pd(dmit)2]2. Phys. Rev. B 2014, 90, 45147. [Google Scholar] [CrossRef]
- Huang, Y.Y.; Xu, Y.; Wang, L.; Zhao, C.C.; Tu, C.P.; Ni, J.M.; Wang, L.S.; Pan, B.L.; Fu, Y.; Hao, Z.; et al. Heat Transport in Herbertsmithite: Can a Quantum Spin Liquid Survive Disorder? Phys. Rev. Lett. 2021, 127, 267202. [Google Scholar] [CrossRef]
- Sushkov, A.B.; Jenkins, G.S.; Han, T.H.; Lee, Y.S.; Drew, D.H. Infrared phonons as a probe of spin-liquid states in herbertsmithite ZnCu3(OH)6Cl2. J. Phys. Condens. Matter 2017, 29, 95802. [Google Scholar] [CrossRef] [PubMed] [Green Version]
- Li, Y.; Pustogow, A.; Bories, M.; Puphal, P.; Krellner, C.; Dressel, M.; Valentí, R. Lattice dynamics in the spin-12 frustrated kagome compound herbertsmithite. Phys. Rev. B 2020, 101, 161115. [Google Scholar] [CrossRef] [Green Version]







Publisher’s Note: MDPI stays neutral with regard to jurisdictional claims in published maps and institutional affiliations. |
© 2022 by the author. Licensee MDPI, Basel, Switzerland. This article is an open access article distributed under the terms and conditions of the Creative Commons Attribution (CC BY) license (https://creativecommons.org/licenses/by/4.0/).
Share and Cite
Pustogow, A. Thirty-Year Anniversary of κ-(BEDT-TTF)2Cu2(CN)3: Reconciling the Spin Gap in a Spin-Liquid Candidate. Solids 2022, 3, 93-110. https://doi.org/10.3390/solids3010007
Pustogow A. Thirty-Year Anniversary of κ-(BEDT-TTF)2Cu2(CN)3: Reconciling the Spin Gap in a Spin-Liquid Candidate. Solids. 2022; 3(1):93-110. https://doi.org/10.3390/solids3010007
Chicago/Turabian StylePustogow, Andrej. 2022. "Thirty-Year Anniversary of κ-(BEDT-TTF)2Cu2(CN)3: Reconciling the Spin Gap in a Spin-Liquid Candidate" Solids 3, no. 1: 93-110. https://doi.org/10.3390/solids3010007
APA StylePustogow, A. (2022). Thirty-Year Anniversary of κ-(BEDT-TTF)2Cu2(CN)3: Reconciling the Spin Gap in a Spin-Liquid Candidate. Solids, 3(1), 93-110. https://doi.org/10.3390/solids3010007
