Novel Tetrazolium-Based Colorimetric Assay for Helicase nsp13 in SARS-CoV-2 †
Abstract
1. Introduction
2. Materials and Methods
2.1. Chemicals and Reagents
2.2. Cloning
2.3. Expression and Purification of Recombinant SC2Hel
2.4. Expression and Purification of Recombinant TlGlcK
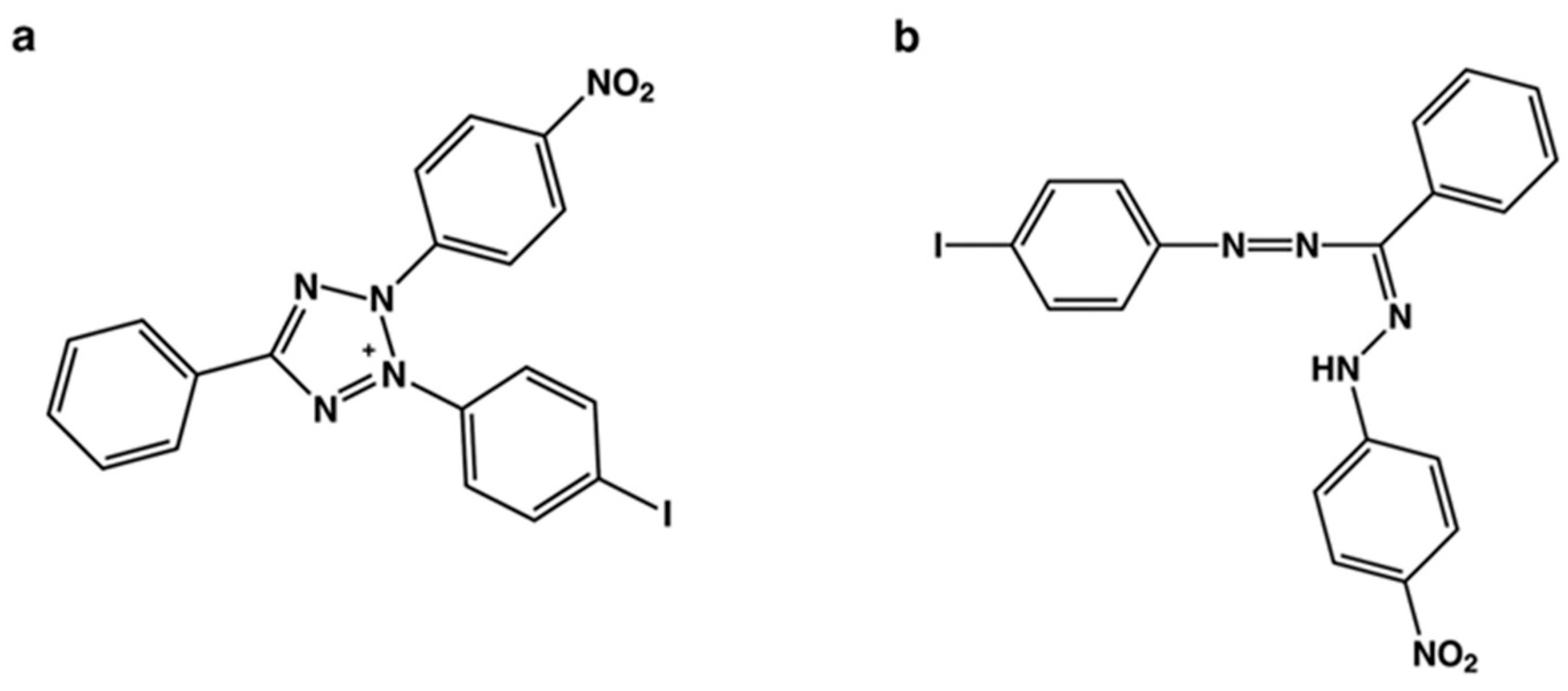
2.5. Colorimetric-Based Nucleic Acid Unwinding Assay Using SC2Hel and INT
2.6. Colorimetric-Based ATPase Assay Using SC2Hel and INT
2.7. Optimization of the Incubation Time and Quantity of SC2Hel for the Assay
2.8. Z’ Factor Determination
3. Results and Discussion
3.1. Determination of the Optimal Incubation Time and Quantity of SC2Hel for the Assay
3.2. Enzyme Activity of SC2Hel
3.3. SC2Hel Assay Validation Parameters and the Suitability for HTS Experimentation
4. Conclusions
Author Contributions
Funding
Data Availability Statement
Acknowledgments
Conflicts of Interest
Abbreviations
References
- World Health Organization. Coronavirus Disease Homepage. Updated 10 May 2022. Available online: https://www.who.int/emergencies/diseases/novel-coronavirus-2019/ (accessed on 1 December 2022).
- Centers for Disease Control and Prevention. COVID-19 Homepage. Updated 29 December 2022. Available online: https://www.cdc.gov/coronavirus/2019-ncov/ (accessed on 1 December 2022).
- Mercaldi, G.F.; Bezerra, E.H.S.; Batista, F.A.H.; Tonoli, C.C.C.; Soprano, A.S.; Shimizu, J.F.; Nagai, A.; da Silva, J.C.; Filho, H.V.R.; do Nascimento Faria, J.; et al. Discovery and structural characterization of chicoric acid as a SARS-CoV-2 nucleocapsid protein ligand and RNA binding disruptor. Sci. Rep. 2022, 12, 18500. [Google Scholar] [CrossRef] [PubMed]
- Owen, D.R.; Allerton, C.M.N.; Anderson, A.S.; Aschenbrenner, L.; Avery, M.; Berritt, S.; Boras, B.; Cardin, R.D.; Carlo, A.; Coffman, K.J.; et al. An oral SARS-CoV-2 Mpro inhibitor clinical candidate for the treatment of COVID-19. Science 2021, 374, 1586–1593. [Google Scholar] [CrossRef] [PubMed]
- Beigel, J.H.; Tomashek, K.M.; Dodd, L.E.; Mehta, A.K.; Zingman, B.S.; Kalil, A.C.; Hohmann, E.; Chu, H.Y.; Luetkemeyer, A.; Kline, S.; et al. Remdesivir for the treatment of COVID-19—Final report. N. Engl. J. Med. 2020, 383, 1813–1826. [Google Scholar] [CrossRef]
- Jayk Bernal, A.; Gomes da Silva, M.M.; Musungaie, D.B.; Kovalchuk, E.; Gonzalez, A.; Delos Reyes, V.; Martín-Quirós, A.; Caraco, Y.; Williams-Diaz, A.; Brown, M.L.; et al. Molnupiravir for oral treatment of Covid-19 in nonhospitalized patients. N. Engl. J. Med. 2021, 386, 509–520. [Google Scholar] [CrossRef]
- Yoshimoto, F.K. The proteins of Severe Acute Respiratory Syndrome Coronavirus-2 (SARS CoV-2 or n-COV19), the cause of COVID-19. Protein J. 2020, 39, 198–216. [Google Scholar] [CrossRef] [PubMed]
- Zeng, J.; Weissmann, F.; Bertolin, A.P.; Posse, V.; Canal, B.; Ulferts, R.; Wu, M.; Harvey, R.; Hussain, S.; Milligan, J.C.; et al. Identifying SARS-CoV-2 antiviral compounds by screening for small molecule inhibitors of nsp13 helicase. Biochem. J. 2021, 478, 2405–2423. [Google Scholar] [CrossRef]
- White, M.A.; Lin, W.; Cheng, X. Discovery of COVID-19 inhibitors targeting the SARS-CoV-2 nsp13 helicase. J. Phys. Chem. Lett. 2020, 11, 9144–9151. [Google Scholar] [CrossRef]
- Newman, J.A.; Douangamath, A.; Yadzani, S.; Yosaatmadja, Y.; Aimon, A.; Brandão-Neto, J.; Dunnett, L.; Gorrie-Stone, T.; Skyner, R.; Fearon, D.; et al. Structure, mechanism and crystallographic fragment screening of the SARS-CoV-2 NSP13 helicase. Nat. Commun. 2021, 12, 4848. [Google Scholar] [CrossRef]
- Adedeji, A.O.; Marchand, B.; te Velthuis, A.J.W.; Snijder, E.J.; Weiss, S.; Eoff, R.L.; Singh, K.; Sarafianos, S.G. Mechanism of nucleic acid unwinding by SARS-CoV helicase. PLoS ONE 2012, 7, e36521. [Google Scholar] [CrossRef]
- Adedeji, A.O.; Singh, K.; Calcaterra, N.E.; DeDiego, M.L.; Enjuanes, L.; Weiss, S.; Sarafianos, S.G. Severe acute respiratory syndrome coronavirus replication inhibitor that interferes with the nucleic acid unwinding of the viral helicase. Antimicrob. Agents Chemother. 2012, 56, 4718–4728. [Google Scholar] [CrossRef]
- Tanner, J.A.; Watt, R.M.; Chai, Y.; Lu, L.; Lin, M.C.; Peiris, J.S.M.; Poon, L.L.M.; Kung, H.; Huang, J. The severe acute respiratory syndrome (SARS) coronavirus NTPase/helicase belongs to a distinct class of 5′ to 3′ viral helicases. J. Biol. Chem. 2003, 278, 39578–39582. [Google Scholar] [CrossRef]
- Jia, Z.; Yan, L.; Ren, Z.; Wu, L.; Wang, J.; Guo, J.; Zheng, L.; Ming, Z.; Zhang, L.; Lou, Z.; et al. Delicate structural coordination of the Severe Acute Respiratory Syndrome coronavirus nsp13 upon ATP hydrolysis. Nucleic Acids Res. 2019, 47, 6538–6550. [Google Scholar] [CrossRef] [PubMed]
- Lohman, T.M.; Tomko, E.J.; Wu, C.G. Non-hexameric DNA helicases and translocases: Mechanisms and regulation. Nat. Rev. Mol. Cell Biol. 2008, 9, 391–401. [Google Scholar] [CrossRef]
- Mickolajczyk, K.J.; Shelton, P.M.M.; Grasso, M.; Cao, X.; Warrington, S.E.; Aher, A.; Liu, S.; Kapoor, T.M. Force-dependent stimulation of RNA unwinding by SARS-CoV-2 nsp13 helicase. Biophys. J. 2021, 120, 1020–1030. [Google Scholar] [CrossRef] [PubMed]
- McFarlane, C.R.; Murray, J.W. A sensitive coupled enzyme assay for measuring kinase and ATPase kinetics using ADP-specific hexokinase. Bio-Protocol 2020, 10, e3599. [Google Scholar] [CrossRef] [PubMed]
- Gill, S.C.; von Hippel, P.H. Calculation of protein extinction coefficients from amino acid sequence data. Anal. Biochem. 1989, 182, 319–326. [Google Scholar] [CrossRef] [PubMed]
- Zhang, J.H.; Chung, T.D.Y.; Oldenburg, K.R. A simple statistical parameter for use in evaluation and validation of high throughput screening assays. J. Biomol. Screen. 1999, 4, 67–73. [Google Scholar] [CrossRef] [PubMed]
- Iversen, P.W.; Eastwood, B.J.; Sittampalam, G.S.; Cox, K.L. A comparison of assay performance measures in screening assays: Signal window, Z’ factor, and assay variability ratio. J. Biomol. Screen. 2006, 11, 247–252. [Google Scholar] [CrossRef]
- Mercaldi, G.F.; D’Antonio, E.L.; Aguessi, A.; Rodriguez, A.; Cordeiro, A.T. Discovery of antichagasic inhibitors by high-throughput screening with Trypanosoma cruzi glucokinase. Bioorg. Med. Chem. Lett. 2019, 29, 1948–1953. [Google Scholar] [CrossRef]
- Mercaldi, G.F.; Ranzani, A.T.; Cordeiro, A.T. Discovery of new uncompetitive inhibitors of glucose-6-phosphate dehydrogenase. J. Biomol. Screen. 2014, 19, 1362–1371. [Google Scholar] [CrossRef]
- Mota, S.G.R.; Mercaldi, G.F.; Pereira, J.G.C.; Oliveira, P.S.L.; Rodriguez, A.; Cordeiro, A.T. First nonphosphorylated inhibitors of phosphoglucose isomerase identified by chemical library screening. SLAS Discov. 2018, 23, 1051–1059. [Google Scholar] [CrossRef] [PubMed]
- Ranzani, A.T.; Nowicki, C.; Wilkinson, S.R.; Cordeiro, A.T. Identification of specific inhibitors of Trypanosoma cruzi malic enzyme isoforms by target-based HTS. SLAS Discov. 2017, 22, 1150–1161. [Google Scholar] [CrossRef] [PubMed]
- Imamura, R.M.; Kumagai, K.; Nakano, H.; Okabe, T.; Nagano, T.; Kojima, H. Inexpensive high-throughput screening of kinase inhibitors using one-step enzyme-coupled fluorescence assay for ADP detection. SLAS Discov. 2019, 24, 284–294. [Google Scholar] [CrossRef] [PubMed]




Disclaimer/Publisher’s Note: The statements, opinions and data contained in all publications are solely those of the individual author(s) and contributor(s) and not of MDPI and/or the editor(s). MDPI and/or the editor(s) disclaim responsibility for any injury to people or property resulting from any ideas, methods, instructions or products referred to in the content. |
© 2024 by the authors. Licensee MDPI, Basel, Switzerland. This article is an open access article distributed under the terms and conditions of the Creative Commons Attribution (CC BY) license (https://creativecommons.org/licenses/by/4.0/).
Share and Cite
Pham, T.M.; Howard, M.G.; Carey, S.M.; Baker, L.R.; D’Antonio, E.L. Novel Tetrazolium-Based Colorimetric Assay for Helicase nsp13 in SARS-CoV-2. BioChem 2024, 4, 115-125. https://doi.org/10.3390/biochem4020006
Pham TM, Howard MG, Carey SM, Baker LR, D’Antonio EL. Novel Tetrazolium-Based Colorimetric Assay for Helicase nsp13 in SARS-CoV-2. BioChem. 2024; 4(2):115-125. https://doi.org/10.3390/biochem4020006
Chicago/Turabian StylePham, Triet M., Morgan G. Howard, Shane M. Carey, Lindsey R. Baker, and Edward L. D’Antonio. 2024. "Novel Tetrazolium-Based Colorimetric Assay for Helicase nsp13 in SARS-CoV-2" BioChem 4, no. 2: 115-125. https://doi.org/10.3390/biochem4020006
APA StylePham, T. M., Howard, M. G., Carey, S. M., Baker, L. R., & D’Antonio, E. L. (2024). Novel Tetrazolium-Based Colorimetric Assay for Helicase nsp13 in SARS-CoV-2. BioChem, 4(2), 115-125. https://doi.org/10.3390/biochem4020006

