Peach Gum Polysaccharide as an Additive for Thermoplastic Starch to Produce Water-Soluble Films
Abstract
1. Introduction
2. Materials and Methods
2.1. Materials
2.2. Peach Gum Polysaccharide Extraction
2.3. Film Preparation
2.4. Optical Characterization
2.5. Field Emission Scanning Microscopy (FESEM)
2.6. Mechanical Characterization
2.7. Water Sensitivity
2.8. Moisture Content
2.9. Wettability
2.10. Thermal Characterization
2.11. Attenuated Total Reflectance–Fourier Transform Infrared Spectroscopy (FTIR–ATR)
2.12. Disintegration under Composting Conditions
3. Results and Discussion
3.1. Peach Gum Polysaccharide Extraction
3.2. Optical Characterization of the Films
3.3. Field Emission Scanning Microscopy (FESEM)
3.4. Mechanical Characterization of the Films
3.5. Water Sensitivity, Moisture Content, and Water Contact Angle
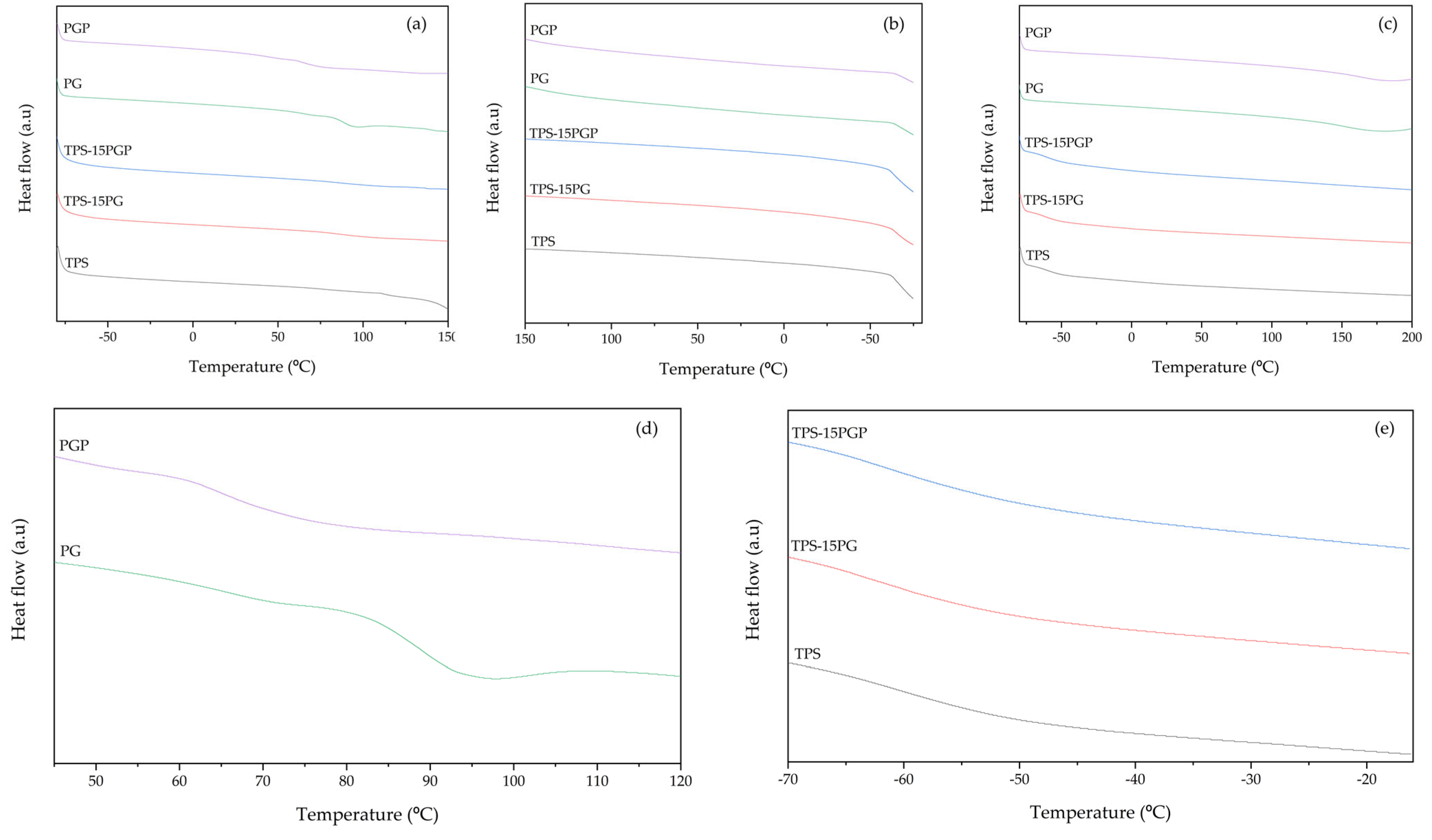
3.6. Thermal Characterization
3.7. Attenuated Total Reflectance–Fourier Transform Infrared Spectroscopy (FTIR–ATR)
3.8. Disintegration under Composting Conditions
4. Conclusions
Author Contributions
Funding
Data Availability Statement
Acknowledgments
Conflicts of Interest
References
- Zia, K.M.; Akram, N.; Tabasum, S.; Noreen, A.; Akbar, M.U. Processing of Bio-Based Polymers for Industrial and Medical Applications. In Processing Technology for Bio-Based Polymers; Elsevier: Amsterdam, The Netherlands, 2021; pp. 191–238. ISBN 978-0-323-85772-7. [Google Scholar]
- Rojas-Lema, S.; Nilsson, K.; Langton, M.; Trifol, J.; Gomez-Caturla, J.; Balart, R.; Garcia-Garcia, D.; Moriana, R. The Effect of Pine Cone Lignin on Mechanical, Thermal and Barrier Properties of Faba Bean Protein Films for Packaging Applications. J. Food Eng. 2023, 339, 111282. [Google Scholar] [CrossRef]
- Rudin, A.; Choi, P. Biopolymers. In The Elements of Polymer Science & Engineering; Elsevier: Amsterdam, The Netherlands, 2013; pp. 521–535. ISBN 9781439844953. [Google Scholar]
- Bertuzzi, M.A.; Armada, M.; Gottifredi, J.C. Physicochemical Characterization of Starch Based Films. J. Food Eng. 2007, 82, 17–25. [Google Scholar] [CrossRef]
- Jiugao, Y.; Ning, W.; Xiaofei, M. The Effects of Citric Acid on the Properties of Thermoplastic Starch Plasticized by Glycerol. Starch-Staerke 2005, 57, 494–504. [Google Scholar] [CrossRef]
- López, O.V.; Castillo, L.A.; García, M.A.; Villar, M.A.; Barbosa, S.E. Food Packaging Bags Based on Thermoplastic Corn Starch Reinforced with Talc Nanoparticles. Food Hydrocoll. 2015, 43, 18–24. [Google Scholar] [CrossRef]
- Basiak, E.; Lenart, A.; Debeaufort, F. Effect of Starch Type on the Physico-Chemical Properties of Edible Films. Int. J. Biol. Macromol. 2017, 98, 348–356. [Google Scholar] [CrossRef]
- Jorda-Reolid, M.; Gomez-Caturla, J.; Ivorra-Martinez, J.; Stefani, P.M.; Rojas-Lema, S.; Quiles-Carrillo, L. Upgrading Argan Shell Wastes in Wood Plastic Composites with Biobased Polyethylene Matrix and Different Compatibilizers. Polymers 2021, 13, 922. [Google Scholar] [CrossRef] [PubMed]
- Passaro, J.; Bifulco, A.; Calabrese, E.; Imparato, C.; Raimondo, M.; Pantani, R.; Aronne, A.; Guadagno, L. Hybrid Hemp Particles as Functional Fillers for the Manufacturing of Hydrophobic and Anti-Icing Epoxy Composite Coatings. ACS Omega 2023, 8, 23596–23606. [Google Scholar] [CrossRef] [PubMed]
- Dintcheva, N.T.; Infurna, G.; Baiamonte, M.; D’Anna, F. Natural Compounds as Sustainable Additives for Biopolymers. Polymers 2020, 12, 732. [Google Scholar] [CrossRef]
- Fortunati, E.; Luzi, F.; Puglia, D.; Petrucci, R.; Kenny, J.M.; Torre, L. Processing of PLA Nanocomposites with Cellulose Nanocrystals Extracted from Posidonia Oceanica Waste: Innovative Reuse of Coastal Plant. Ind. Crops Prod. 2015, 67, 439–447. [Google Scholar] [CrossRef]
- Moro, T.M.A.; Ascheri, J.L.R.; Ortiz, J.A.R.; Carvalho, C.W.P.; Meléndez-Arévalo, A. Bioplastics of Native Starches Reinforced with Passion Fruit Peel. Food Bioprocess Technol. 2017, 10, 1798–1808. [Google Scholar] [CrossRef]
- Pavon, C.; Aldas, M.; López-Martínez, J.; Hernández-Fernández, J.; Patricia Arrieta, M. Films Based on Thermoplastic Starch Blended with Pine Resin Derivatives for Food Packaging. Foods 2021, 10, 1171. [Google Scholar] [CrossRef] [PubMed]
- Huang, J.; Zhou, L. Peach Gum Polysaccharide Polyelectrolyte: Preparation, Properties and Application in Layer-by-Layer Self-Assembly. Carbohydr. Polym. 2014, 113, 373–379. [Google Scholar] [CrossRef] [PubMed]
- Qian, H.F.; Cui, S.W.; Wang, Q.; Wang, C.; Zhou, H.M. Fractionation and Physicochemical Characterization of Peach Gum Polysaccharides. Food Hydrocoll. 2011, 25, 1285–1290. [Google Scholar] [CrossRef]
- Zeng, S.; Long, J.; Sun, J.; Wang, G.; Zhou, L. A Review on Peach Gum Polysaccharide: Hydrolysis, Structure, Properties and Applications. Carbohydr. Polym. 2022, 279, 119015. [Google Scholar] [CrossRef] [PubMed]
- Juan-Polo, A.; Pavon, C.; de la Rosa-Ramírez, H.; López-Martínez, J. Use of Raw Peach Gum as a Sustainable Additive for the Development of Water-Sensitive and Biodegradable Thermoplastic Starch Films. Polymers 2023, 15, 3359. [Google Scholar] [CrossRef] [PubMed]
- Bonaduce, I.; Brecoulaki, H.; Colombini, M.P.; Lluveras, A.; Restivo, V.; Ribechini, E. Gas Chromatographic–Mass Spectrometric Characterisation of Plant Gums in Samples from Painted Works of Art. J. Chromatogr. A 2007, 1175, 275–282. [Google Scholar] [CrossRef] [PubMed]
- Rojas-Lema, S.; Quiles-Carrillo, L.; Garcia-Garcia, D.; Melendez-Rodriguez, B.; Balart, R.; Torres-Giner, S. Tailoring the Properties of Thermo-Compressed Polylactide Films for Food Packaging Applications by Individual and Combined Additions of Lactic Acid Oligomer and Halloysite Nanotubes. Molecules 2020, 25, 1976. [Google Scholar] [CrossRef] [PubMed]
- ISO 527-1:2012; Plastics-Determination of Tensile Properties—Part 1: General Principles. International Standards Organization: Geneva, Switzerland, 2012.
- ISO 20200; Plastics—Determination of the Degree of Disintegration of Plastic Materials under Simulated Composting Conditions in a Laboratory-Scale Test. International Standards Organization: Geneva, Switzerland, 2016.
- Arrieta, M.P.; López, J.; Rayón, E.; Jiménez, A. Disintegrability under Composting Conditions of Plasticized PLA–PHB Blends. Polym. Degrad. Stab. 2014, 108, 307–318. [Google Scholar] [CrossRef]
- Zhou, L.; Huang, J.; He, B.; Zhang, F.; Li, H. Peach Gum for Efficient Removal of Methylene Blue and Methyl Violet Dyes from Aqueous Solution. Carbohydr. Polym. 2014, 101, 574–581. [Google Scholar] [CrossRef] [PubMed]
- Aldas, M.; Ferri, J.M.; Lopez-Martinez, J.; Samper, M.D.; Arrieta, M.P. Effect of Pine Resin Derivatives on the Structural, Thermal, and Mechanical Properties of Mater-Bi Type Bioplastic. J. Appl. Polym. Sci. 2020, 137, 48236. [Google Scholar] [CrossRef]
- Wei, C.; Zhang, Y.; Zhang, H.; Li, J.; Tao, W.; Linhardt, R.J.; Chen, S.; Ye, X. Physicochemical Properties and Conformations of Water-Soluble Peach Gums via Different Preparation Methods. Food Hydrocoll. 2019, 95, 571–579. [Google Scholar] [CrossRef]
- Chandrasekaran, R.; Janaswamy, S. Morphology of Western Larch Arabinogalactan. Carbohydr. Res. 2002, 337, 2211–2222. [Google Scholar] [CrossRef] [PubMed]
- Vogler, E.A. Structure and Reactivity of Water at Biomaterial Surfaces. Adv. Colloid Interface Sci. 1998, 74, 69–117. [Google Scholar] [CrossRef] [PubMed]
- Żołek-Tryznowska, Z.; Kałuża, A. The Influence of Starch Origin on the Properties of Starch Films: Packaging Performance. Materials 2021, 14, 1146. [Google Scholar] [CrossRef]
- Yang, H.; Wang, D.; Deng, J.; Yang, J.; Shi, C.; Zhou, F.; Shi, Z. Activity and Structural Characteristics of Peach Gum Exudates. Int. J. Polym. Sci. 2018, 2018, 4593735. [Google Scholar] [CrossRef]
- Korol, J.; Lenza, J.; Formela, K. Manufacture and Research of TPS/PE Biocomposites Properties. Compos. B Eng. 2015, 68, 310–316. [Google Scholar] [CrossRef]
- Kizil, R.; Irudayaraj, J.; Seetharaman, K. Characterization of Irradiated Starches by Using FT-Raman and FTIR Spectroscopy. J. Agric. Food Chem. 2002, 50, 3912–3918. [Google Scholar] [CrossRef]
- Dang, K.M.; Yoksan, R. Development of Thermoplastic Starch Blown Film by Incorporating Plasticized Chitosan. Carbohydr. Polym. 2015, 115, 575–581. [Google Scholar] [CrossRef]
- Mendes, J.F.; Paschoalin, R.T.; Carmona, V.B.; Sena Neto, A.R.; Marques, A.C.P.; Marconcini, J.M.; Mattoso, L.H.C.; Medeiros, E.S.; Oliveira, J.E. Biodegradable Polymer Blends Based on Corn Starch and Thermoplastic Chitosan Processed by Extrusion. Carbohydr. Polym. 2016, 137, 452–458. [Google Scholar] [CrossRef]
- Musaev, M.; Yoo, M.; Kang, T.; Kolawole, E.; Ishiaku, U.; Yakubu, M.; Whang, D. Characterization and Thermomechanical Properties of Thermoplastis Potato Starch. Res. Rev. J. Eng. Technol. 2013, 2, 9–16. [Google Scholar]
- Marchessault, R.H.; Liang, C.Y. The Infrared Spectra of Crystalline Polysaccharides. VIII. Xylans. J. Polym. Sci. 1962, 59, 357–378. [Google Scholar] [CrossRef]
- Fortunati, E.; Armentano, I.; Iannoni, A.; Barbale, M.; Zaccheo, S.; Scavone, M.; Visai, L.; Kenny, J.M. New Multifunctional Poly(Lactide Acid) Composites: Mechanical, Antibacterial, and Degradation Properties. J. Appl. Polym. Sci. 2012, 124, 87–98. [Google Scholar] [CrossRef]







| Material | Rice Starch (g) | Glycerol (g) | Content PG\PGP (phr) | PG\PGP Content (g) |
|---|---|---|---|---|
| TPS | 3 | 0.9 | 0 | 0 |
| TPS-5PG | 3 | 0.9 | 5 | 0.15 |
| TPS-10PG | 3 | 0.9 | 10 | 0.30 |
| TPS-15PG | 3 | 0.9 | 15 | 0.45 |
| TPS-5PGP | 3 | 0.9 | 5 | 0.15 |
| TPS-10PGP | 3 | 0.9 | 10 | 0.30 |
| TPS-15PGP | 3 | 0.9 | 15 | 0.45 |
| Film | ||||
|---|---|---|---|---|
| TPS | 32.70 ± 0.14 a,b | −0.08 ± 0.01 a | −0.29 ± 0.07 a | - |
| TPS-5PG | 33.81 ± 0.52 c | −0.11 ± 0.01 a,b | 1.25 ± 0.11 b | 1.94 ± 0.33 a,c |
| TPS-10PG | 33.03 ± 0.38 a,c | −0.13 ± 0.01 b | 1.46 ± 0.14 c | 1.81 ± 0.12 a |
| TPS-15PG | 32.24 ± 0.17 b | −0.03 ± 0.01 c | 1.66 ± 0.09 d | 2.01 ± 0.07 a,c |
| TPS-5PGP | 33.04 ± 0.22 a,c | −0.11 ± 0.01 a,b | −0.21 ± 0.02 a | 0.40 ± 0.15 b |
| TPS-10PGP | 32.31 ± 0.66 b | −0.10 ± 0.02 a,b | 0.31 ± 0.03 e | 0.85 ± 0.43 b |
| TPS-15PGP | 34.48 ± 0.31 d | −0.00 ± 0.04 c | 1.21 ± 0.14 d | 2.33 ± 0.32 c |
| Film | Thickness (mm) | σy (MPa) | εb (%) | Et (MPa) |
|---|---|---|---|---|
| TPS | 0.192 ± 0.005 | 1.28 ± 0.23 a,b | 24.11 ± 3.45 a | 11.67 ± 2.89 a |
| TPS-5PG | 0.223 ± 0.006 | 0.92 ± 0.19 a | 25.03 ± 1.79 a | 8.06 ± 1.63 a,c |
| TPS-10PG | 0.226 ± 0.002 | 1.34 ± 0.21 a,b | 34.79 ± 0.58 b,c | 10.62 ± 1.97 a,c |
| TPS-15PG | 0.225 ± 0.003 | 1.72 ± 0.20 b | 34.53 ± 2.20 b | 27.42 ± 4.46 b |
| TPS-5PGP | 0.182 ± 0.002 | 0.86 ± 0.19 a | 35.77 ± 2.17 a | 5.43 ± 0.56 c |
| TPS-10PGP | 0.222 ± 0.003 | 0.89 ± 0.02 a | 40.68 ± 3.09 b,c | 4.97 ± 0.82 c |
| TPS-15PGP | 0.187 ± 0.005 | 0.97 ± 0.10 a | 41.33 ± 2.51 c | 5.06 ± 0.21 c |
| Material | Water Sensitivity (%) | WCA (°) | Moisture Content (%) |
|---|---|---|---|
| PG | 28.1 ± 0.2 a | - | 7.85 |
| PGP | 100.0 ± 0.0 b | - | - |
| TPS | 38.3 ± 1.5 c | 44.62 ± 1.64 a | 9.65 ± 0.10 a |
| TPS-5PG | 46.8 ± 1.5 d | 43.52 ± 1.14 a | 9.93 ± 0.19 a |
| TPS-10PG | 66.9 ± 1.4 e | 40.41 ± 0.85 b | 10.60 ± 0.08 b |
| TPS-15PG | 75.4 ± 1.2 f | 38.91 ± 1.42 c | 11.02 ± 0.08 c |
| TPS-5PGP | 72.8 ± 1.0 f | 36.83 ± 0.75 c | 11.08 ± 0.04 c |
| TPS-10PGP | 81.7 ± 1.7 g | 34.32 ± 1.21 d | 11.37 ± 0.05 d |
| TPS-15PGP | 100.0 ± 0.0 b | 31.67 ± 0.82 e | 11.86 ± 0.11 e |
| TGA | DSC | ||||
|---|---|---|---|---|---|
| Material | T5% (°C) | Tmax1 (°C) | Tmax2 (°C) | Residual Mass (%) | Tg (°C) |
| PG | 94.78 | 242.33 | 286.33 | 4.77 | 89.48 |
| PGP | 92.21 | 266.83 | 272.83 | 3.56 | 67.15 |
| TPS | 74.31 | 201.34 | 291.81 | 5.01 | −59.30 |
| TPS-15PG | 109.06 | 203.56 | 289.56 | 6.89 | −58.59 |
| TPS-15PGP | 92.07 | 217.50 | 289.00 | 2.79 | −58.14 |
Disclaimer/Publisher’s Note: The statements, opinions and data contained in all publications are solely those of the individual author(s) and contributor(s) and not of MDPI and/or the editor(s). MDPI and/or the editor(s) disclaim responsibility for any injury to people or property resulting from any ideas, methods, instructions or products referred to in the content. |
© 2024 by the authors. Licensee MDPI, Basel, Switzerland. This article is an open access article distributed under the terms and conditions of the Creative Commons Attribution (CC BY) license (https://creativecommons.org/licenses/by/4.0/).
Share and Cite
Miguel Guillem, J.V.; Juan-Polo, A.; Pavon, C.; López-Martínez, J. Peach Gum Polysaccharide as an Additive for Thermoplastic Starch to Produce Water-Soluble Films. Macromol 2024, 4, 475-489. https://doi.org/10.3390/macromol4030028
Miguel Guillem JV, Juan-Polo A, Pavon C, López-Martínez J. Peach Gum Polysaccharide as an Additive for Thermoplastic Starch to Produce Water-Soluble Films. Macromol. 2024; 4(3):475-489. https://doi.org/10.3390/macromol4030028
Chicago/Turabian StyleMiguel Guillem, Juan Vicente, Andrea Juan-Polo, Cristina Pavon, and Juan López-Martínez. 2024. "Peach Gum Polysaccharide as an Additive for Thermoplastic Starch to Produce Water-Soluble Films" Macromol 4, no. 3: 475-489. https://doi.org/10.3390/macromol4030028
APA StyleMiguel Guillem, J. V., Juan-Polo, A., Pavon, C., & López-Martínez, J. (2024). Peach Gum Polysaccharide as an Additive for Thermoplastic Starch to Produce Water-Soluble Films. Macromol, 4(3), 475-489. https://doi.org/10.3390/macromol4030028

