Structural Characteristics and Improved Thermal Stability of HDPE/Calcium Pimelate Nanocomposites
Abstract
1. Introduction
2. Materials and Methods
2.1. Materials and Reagents
2.2. Calcium Pimelate Synthesis
2.3. Preparation of the Nanocomposites
2.4. Characterization Methods
2.4.1. Dynamic Light Scattering (DLS)
2.4.2. Melt Flow Index (MFI)
2.4.3. Scanning Electron Microscopy (SEM)
2.4.4. Fourier Transform Infrared Spectroscopy (FTIR)—Attenuated Total Reflectance (ATR)
2.4.5. Differential Scanning Calorimetry (DSC)
2.4.6. X-ray Diffraction Analysis (XRD)
2.4.7. Polarizing Light Microscopy (PLM)
2.4.8. Tensile Test
2.4.9. Thermogravimetric Analysis (TGA)
3. Results and Discussion
3.1. Synthesis and Structural Characterization of HDPE/CaPim Nanocomposites
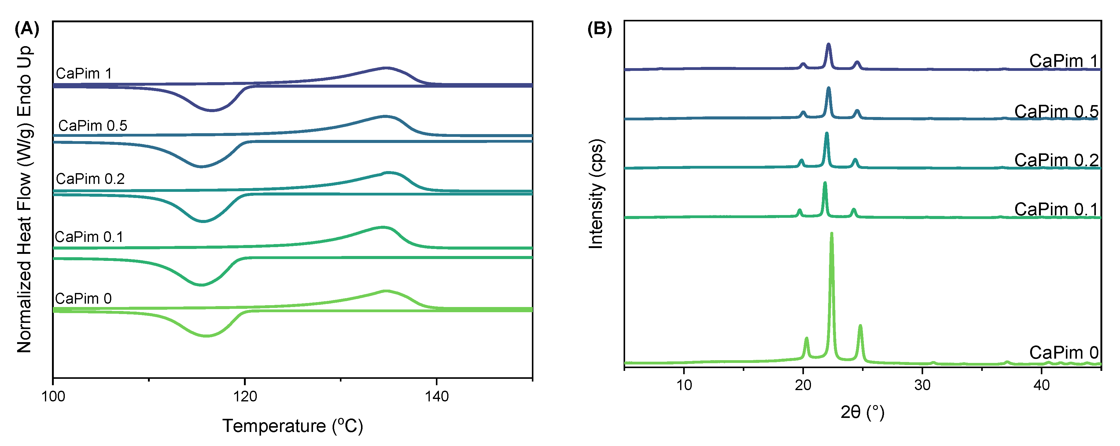
3.2. Thermal Properties and Crystallinity
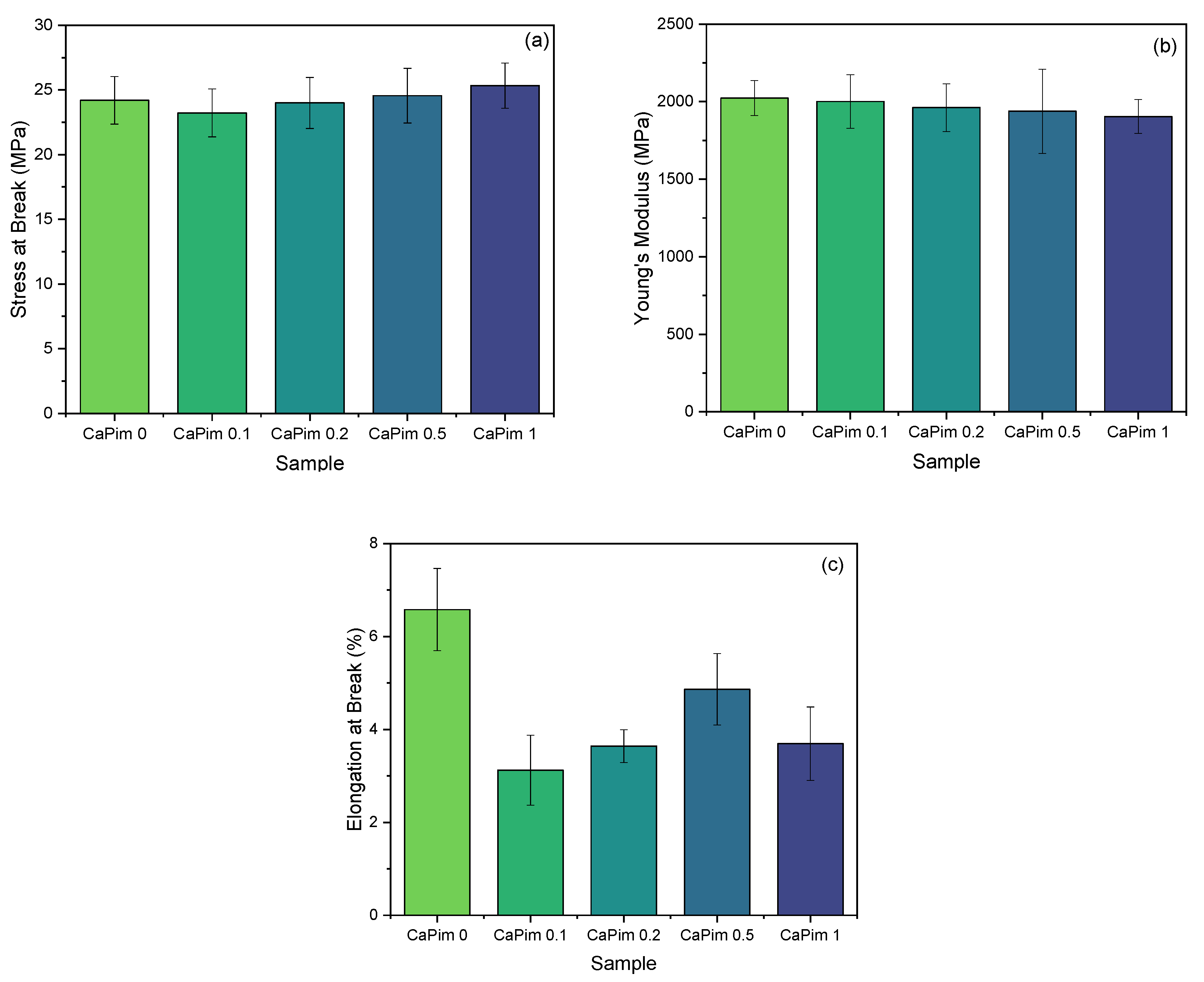
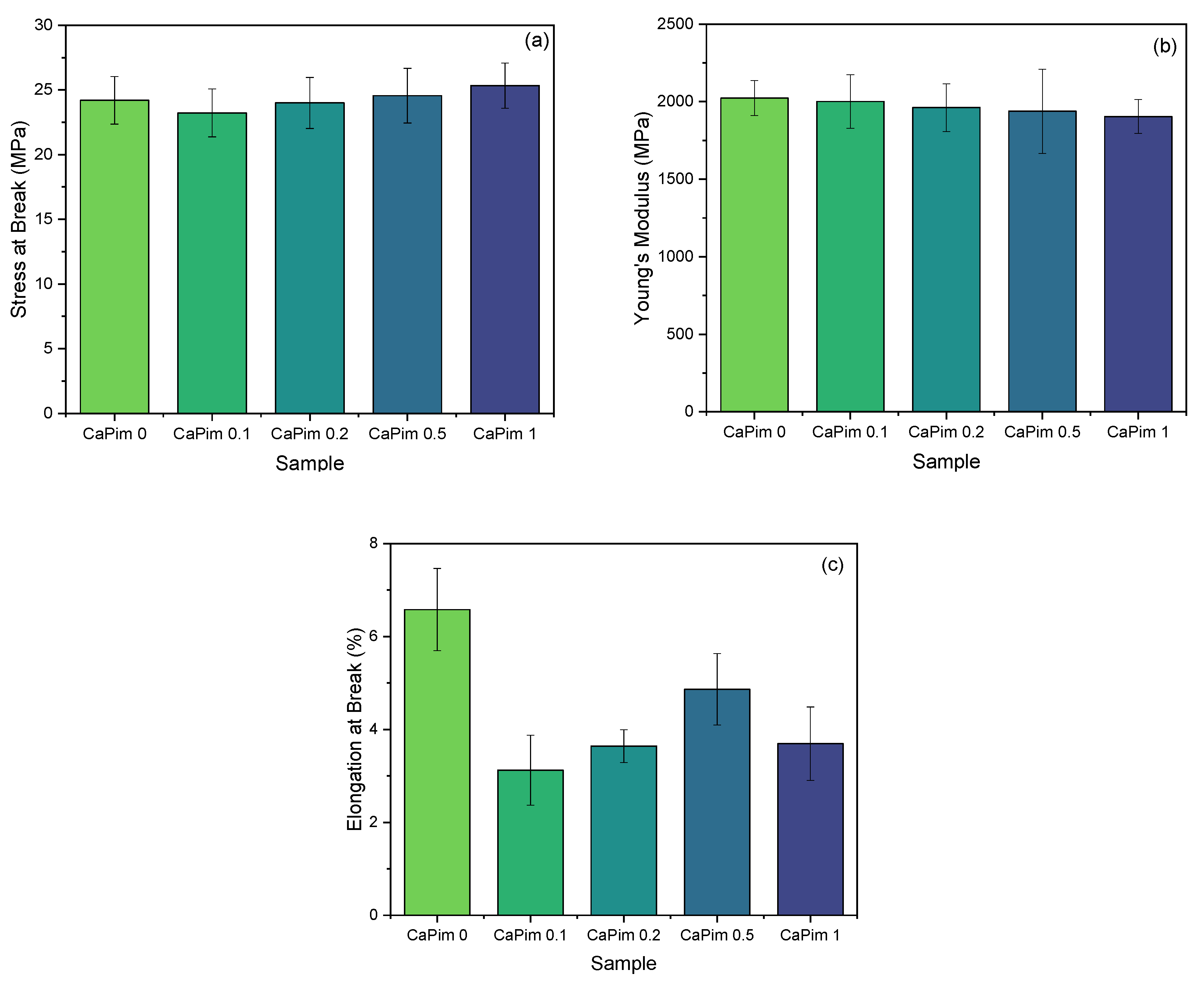
3.3. Mechanical Behavior
3.4. Thermal Stability
4. Conclusions
Author Contributions
Funding
Data Availability Statement
Acknowledgments
Conflicts of Interest
References
- Olesik, P.; Godzierz, M.; Kozioł, M.; Jała, J.; Szeluga, U.; Myalski, J. Structure and Mechanical Properties of High-Density Polyethylene Composites Reinforced with Glassy Carbon. Materials 2021, 14, 4024. [Google Scholar] [CrossRef]
- Awad, A.H.; El Gamasy, R.; El Wahab, A.A.; Abdellatif, M.H. Mechanical and Physical Properties of PP and HDPE. Eng. Sci. 2019, 4, 34–42. [Google Scholar] [CrossRef]
- Arshad, M. Kinetics of Crystallization Mechanisms in High Density Polyethylene and Isotactic Polypropylene. Polym. Sci. Ser. A 2021, 63, S23–S33. [Google Scholar] [CrossRef]
- Chew, S.; Griffiths, J.R.; Stachurski, Z.H. The Crystallization Kinetics of Polyethylene under Isothermal and Non-Isothermal Conditions. Polymer 1989, 30, 874–881. [Google Scholar] [CrossRef]
- Shan, H.; Lickfield, G.C. Crystallization Kinetics Study of Polyethylene. Int. J. Polym. Anal. Charact. 2007, 12, 327–338. [Google Scholar] [CrossRef]
- Seven, K.M.; Cogen, J.M.; Gilchrist, J.F. Nucleating agents for high-density polyethylene—A review. Polym. Eng. Sci. 2016, 56, 541–554. [Google Scholar] [CrossRef]
- Lin, Y.; Bilotti, E.; Bastiaansen, C.W.M.; Peijs, T. Transparent Semi-Crystalline Polymeric Materials and Their Nanocomposites: A Review. Polym. Eng. Sci. 2020, 60, 2351–2376. [Google Scholar] [CrossRef]
- Paszkiewicz, S.; Pypeć, K.; Irska, I.; Piesowicz, E. Functional Polymer Hybrid Nanocomposites Based on Polyolefins: A Review. Processes 2020, 8, 1475. [Google Scholar] [CrossRef]
- Zare, Y. Recent progress on preparation and properties of nanocomposites from recycled polymers: A review. Waste Manag. 2013, 33, 598–604. [Google Scholar] [CrossRef]
- Kane, S.; Van Roijen, E.; Ryan, C.; Miller, S. Reducing the Environmental Impacts of Plastics While Increasing Strength: Biochar Fillers in Biodegradable, Recycled, and Fossil-Fuel Derived Plastics. Compos. Part C Open Access 2022, 8, 100253. [Google Scholar] [CrossRef]
- Sathishkumar, T.P.; Navaneethakrishnan, P.; Shankar, S.; Rajasekar, R.; Rajini, N. Characterization of Natural Fiber and Composites—A Review. J. Reinf. Plast. Compos. 2013, 32, 1457–1476. [Google Scholar] [CrossRef]
- Dunlop, M.J.; Bissessur, R. Nanocomposites based on graphene analogous materials and conducting polymers: A review. J. Mater. Sci. 2020, 55, 6721–6753. [Google Scholar] [CrossRef]
- Paul, D.R.; Robeson, L.M. Polymer nanotechnology: Nanocomposites. Polymer 2008, 49, 3187–3204. [Google Scholar] [CrossRef]
- Pleşa, I.; Noţingher, P.V.; Stancu, C.; Wiesbrock, F.; Schlögl, S. Polyethylene Nanocomposites for Power Cable Insulations. Polymers 2018, 11, 24. [Google Scholar] [CrossRef]
- Wang, S.; Zhang, J. Non-isothermal crystallization kinetics of high density polyethylene/titanium dioxide composites via melt blending. J. Therm. Anal. Calorim. 2014, 115, 63–71. [Google Scholar] [CrossRef]
- Miao, W.; Zhu, H.; Duan, T.; Chen, H.; Wu, F.; Jiang, L.; Wang, Z. High-density polyethylene crystals with double melting peaks induced by ultra-high-molecular-weight polyethylene fibre. R. Soc. Open Sci. 2018, 5, 180394. [Google Scholar] [CrossRef]
- Papageorgiou, D.G.; Chrissafis, K.; Bikiaris, D.N. β-Nucleated Polypropylene: Processing, Properties and Nanocomposites. Polym. Rev. 2015, 55, 596–629. [Google Scholar] [CrossRef]
- Yue, Y.; Hu, D.; Zhang, Q.; Lin, J.; Feng, J. The effect of structure evolution upon heat treatment on the beta-nucleating ability of calcium pimelate in isotactic polypropylene. Polymer 2018, 149, 55–64. [Google Scholar] [CrossRef]
- Papageorgiou, D.G.; Vourlias, G.; Bikiaris, D.N.; Chrissafis, K. Synergistic Effect of Functionalized Silica Nanoparticles and a β-Nucleating Agent for the Improvement of the Mechanical Properties of a Propylene/Ethylene Random Copolymer. Macromol. Mater. Eng. 2014, 299, 707–721. [Google Scholar] [CrossRef]
- Zhang, Y.F.; Lin, X.F.; Chen, S. Preparation and nucleation effect of a novel compound nucleating agent carboxylated graphene/calcium pimelate for isotactic polypropylene. J. Therm. Anal. Calorim. 2019, 136, 2363–2371. [Google Scholar] [CrossRef]
- González, A.; Pérez, E.; Almendarez, A.; Villegas, A.; Vallejo-Montesinos, J. Calcium pimelate supported on TiO2 nanoparticles as isotactic polypropylene prodegradant. Polym. Bull. 2016, 73, 39–51. [Google Scholar] [CrossRef]
- Tanniru, M.; Misra, R.D.K.; Berbrand, K.; Murphy, D. The determining role of calcium carbonate on surface deformation during scratching of calcium carbonate-reinforced polyethylene composites. Mater. Sci. Eng. A 2005, 404, 208–220. [Google Scholar] [CrossRef]
- Awan, M.O.; Shakoor, A.; Rehan, M.S.; Gill, Y.Q. Development of HDPE composites with improved mechanical properties using calcium carbonate and NanoClay. Phys. B Condens. Matter 2021, 606, 412568. [Google Scholar] [CrossRef]
- Sepet, H.; Aydemir, B.; Tarakcioglu, N. Evaluation of mechanical and thermal properties and creep behavior of micro- and nano-CaCO3 particle-filled HDPE nano- and microcomposites produced in large scale. Polym. Bull. 2020, 77, 3677–3695. [Google Scholar] [CrossRef]
- ASTM D1238-10; Standard Test Method for Melt Flow Rates of Thermoplastics by Extrusion Plastometer. ASTM International: West Conshohocken, PA, USA, 2010.
- ISO 1133-1:2022; Plastics Determination of the Melt Mass-Flow Rate (MFR) and Melt Volume-Flow Rate (MVR) of Thermoplastics. ISO (The International Organization for Standardization): Geneva, Switzerland, 2022.
- Awad, A.H.; El-Wahab, A.A.A.; El-Gamsy, R.; Abdel-latif, M.H. A study of some thermal and mechanical properties of HDPE blend with marble and granite dust. Ain Shams Eng. J. 2019, 10, 353–358. [Google Scholar] [CrossRef]
- Lu, X.F.; Hay, J.N. Isothermal crystallization kinetics and melting behaviour of poly(ethylene terephthalate). Polymer 2001, 42, 9423–9431. [Google Scholar] [CrossRef]
- ASTM D882-18; Standard Test Method for Tensile Properties of Thin Plastic Sheeting. ASTM International: West Conshohocken, PA, USA, 2018.
- Vyazovkin, S.; Burnham, A.K.; Criado, J.M.; Pérez-Maqueda, L.A.; Popescu, C.; Sbirrazzuoli, N. ICTAC Kinetics Committee recommendations for performing kinetic computations on thermal analysis data. Thermochim. Acta 2011, 520, 1–19. [Google Scholar] [CrossRef]
- Kinetics Neo. Available online: https://kinetics.netzsch.com/ (accessed on 20 December 2023).
- Friedman, H.L. Kinetics of thermal degradation of char-forming plastics from thermogravimetry. Application to a phenolic plastic. J. Polym. Sci. Part C Polym. Symp. 1964, 6, 183–195. [Google Scholar] [CrossRef]
- Vyazovkin, S. Evaluation of Activation Energy of Thermally Stimulated Solid-State Reactions under Arbitrary Variation of Temperature. J. Comput. Chem. 1997, 18, 393–402. [Google Scholar] [CrossRef]
- Ozawa, T. Kinetics of non-isothermal crystallization. Polymer 1971, 12, 150–158. [Google Scholar] [CrossRef]
- Li, X.; Hu, K.; Ji, M.; Huang, Y.; Zhou, G. Calcium dicarboxylates nucleation of β-polypropylene. J. Appl. Polym. Sci. 2002, 86, 633–638. [Google Scholar] [CrossRef]
- Meng, M.R.; Dou, Q. Effect of Filler Treatment on Crystallization, Morphology and Mechanical Properties of Polypropylene/Calcium Carbonate Composites. J. Macromol. Sci. 2009, 48, 213–225. [Google Scholar] [CrossRef]
- Fávaro, S.L.; Rubira, A.F.; Muniz, E.C.; Radovanovic, E. Surface modification of HDPE, PP, and PET films with KMnO4/HCl solutions. Polym. Degrad. Stab. 2007, 92, 1219–1226. [Google Scholar] [CrossRef]
- Jung, M.R.; Horgen, F.D.; Orski, S.V.; Rodriguez C., V.; Beers, K.L.; Balazs, G.H.; Jones, T.T.; Work, T.M.; Brignac, K.C.; Royer, S.-J.; et al. Validation of ATR FT-IR to identify polymers of plastic marine debris, including those ingested by marine organisms. Mar. Pollut. Bull. 2018, 127, 704–716. [Google Scholar] [CrossRef]
- Sutar, H.; Murmu, R.; Dutta, C.; Ozcan, M.; Mishra, S.C. High Density Polyethylene (HDPE) and Polypropylene (PP) Polyblend: An Experimental Approach. In New Advances in Materials Science and Engineering; Goel, A.K., Ed.; Book Publisher International: West Bengal, India, 2019; p. 1. ISBN 978-9-3892-4626-1. [Google Scholar]
- Shafiei, M.; Ghasemi, I.; Gomari, S.; Abedini, A.; Jamjah, R. Positive Temperature Coefficient and Electrical Conductivity Investigation of Hybrid Nanocomposites Based on High-Density Polyethylene/Graphene Nanoplatelets/Carbon Black. Phys. Status Solidi 2021, 218, 2100361. [Google Scholar] [CrossRef]
- Tarani, E.; Arvanitidis, I.; Christofilos, D.; Bikiaris, D.N.; Chrissafis, K.; Vourlias, G. Calculation of the degree of crystallinity of HDPE/GNPs nanocomposites by using various experimental techniques: A comparative study. J. Mater. Sci. 2023, 58, 1621–1639. [Google Scholar] [CrossRef]
- Sahoo, P.C.; Murmu, R.; Patra, S.C.; Dutta, C.; Sutar, H. Electrical Behaviour and Spherulites Morphology of HDPE/PP Polyblends with HDPE as Base Material. Mater. Sci. Appl. 2018, 9, 837–843. [Google Scholar] [CrossRef][Green Version]
- Fu, Q.; Men, Y.; Strobl, G. Understanding of the tensile deformation in HDPE/LDPE blends based on their crystal structure and phase morphology. Polymer 2003, 44, 1927–1933. [Google Scholar] [CrossRef]
- Huang, J.W.; Wen, Y.L.; Kang, C.C.; Tseng, W.J.; Yen, M.Y. Nonisothermal crystallization of high density polyethylene and nanoscale calcium carbonate composites. Polym. Eng. Sci. 2008, 48, 1268–1278. [Google Scholar] [CrossRef]
- Tarani, E.; Chrysafi, I.; Kállay-Menyhárd, A.; Pavlidou, E.; Kehagias, T.; Bikiaris, D.N.; Vourlias, G.; Chrissafis, K. Influence of Graphene Platelet Aspect Ratio on the Mechanical Properties of HDPE Nanocomposites: Microscopic Observation and Micromechanical Modeling. Polymer 2020, 12, 1719. [Google Scholar] [CrossRef] [PubMed]
- Zhang, Y.F.; Lin, X.F.; Hu, H. Combined effect of chemically compound graphene oxide-calcium pimelate on crystallization behavior, morphology and mechanical properties of isotactic polypropylene. Polym. Adv. Technol. 2020, 31, 2301–2311. [Google Scholar] [CrossRef]
- Budrugeac, P.; Segal, E.; Pérez-Maqueda, L.A.; Criado, J.M. The use of the IKP method for evaluating the kinetic parameters and the conversion function of the thermal dehydrochlorination of PVC from non-isothermal data. Polym. Degrad. Stab. 2004, 84, 311–320. [Google Scholar] [CrossRef]
- Tarani, E.; Terzopoulou, Z.; Bikiaris, D.N.; Kyratsi, T.; Chrissafis, K.; Vourlias, G. Thermal conductivity and degradation behavior of HDPE/graphene nanocomposites: Pyrolysis, kinetics and mechanism. J. Therm. Anal. Calorim. 2017, 129, 1715–1726. [Google Scholar] [CrossRef]









| Sample | HDPE % (w/w) | CaPim % (w/w) | MFI (g/10 min) |
|---|---|---|---|
| CaPim 0 | 100 | 0 | 6.3 |
| CaPim 0.1 | 99.9 | 0.1 | 15.5 |
| CaPim 0.2 | 99.8 | 0.2 | 19.3 |
| CaPim 0.5 | 99.5 | 0.5 | 19.8 |
| CaPim 1 | 99 | 1 | 29.4 |
| Sample | Tm (°C) | Tc (°C) | ΔH (J/g) | Xc (%) DSC | Xc (%) XRD |
|---|---|---|---|---|---|
| CaPim 0 | 135.0 | 116.0 | 215.5 | 74 | 76 |
| CaPim 0.1 | 134.4 | 115.5 | 188.9 | 65 | 79 |
| CaPim 0.2 | 135.0 | 115.7 | 171.3 | 59 | 78 |
| CaPim 0.5 | 134.7 | 115.5 | 186.0 | 64 | 77 |
| CaPim 1 | 134.7 | 116.6 | 161.6 | 56 | 78 |
| Sample | T2.5 (°C) | T5 (°C) | Td,max (°C) |
|---|---|---|---|
| CaPim 0 | 438.5 | 456.2 | 499.4 |
| CaPim 0.5 | 439.1 | 457.4 | 501.6 |
| CaPim 1 | 440.0 | 457.9 | 503.1 |
| Sample | Model | Eα /kJmol−1 | logA1/s−1 | n | Log Kcat | Contribution | R2 |
|---|---|---|---|---|---|---|---|
| CaPim 0.5 | Fn | 204.1 | 10.183 | 0.168 | - | 0.258 | 0.99982 |
| Cn | 223.7 | 11.738 | 0.778 | 1.065 | 0.742 | ||
| CaPim 1 | Fn | 210.5 | 10.934 | 0.231 | - | 0.299 | 0.99980 |
| Cn | 236.6 | 11.956 | 0.781 | 1.073 | 0.701 |
Disclaimer/Publisher’s Note: The statements, opinions and data contained in all publications are solely those of the individual author(s) and contributor(s) and not of MDPI and/or the editor(s). MDPI and/or the editor(s) disclaim responsibility for any injury to people or property resulting from any ideas, methods, instructions or products referred to in the content. |
© 2024 by the authors. Licensee MDPI, Basel, Switzerland. This article is an open access article distributed under the terms and conditions of the Creative Commons Attribution (CC BY) license (https://creativecommons.org/licenses/by/4.0/).
Share and Cite
Samiotaki, C.; Tarani, E.; Karavasili, D.; Zamboulis, A.; Chrissafis, K.; Bikiaris, D.N. Structural Characteristics and Improved Thermal Stability of HDPE/Calcium Pimelate Nanocomposites. Macromol 2024, 4, 42-57. https://doi.org/10.3390/macromol4010003
Samiotaki C, Tarani E, Karavasili D, Zamboulis A, Chrissafis K, Bikiaris DN. Structural Characteristics and Improved Thermal Stability of HDPE/Calcium Pimelate Nanocomposites. Macromol. 2024; 4(1):42-57. https://doi.org/10.3390/macromol4010003
Chicago/Turabian StyleSamiotaki, Christina, Evangelia Tarani, Dimitra Karavasili, Alexandra Zamboulis, Konstantinos Chrissafis, and Dimitrios N. Bikiaris. 2024. "Structural Characteristics and Improved Thermal Stability of HDPE/Calcium Pimelate Nanocomposites" Macromol 4, no. 1: 42-57. https://doi.org/10.3390/macromol4010003
APA StyleSamiotaki, C., Tarani, E., Karavasili, D., Zamboulis, A., Chrissafis, K., & Bikiaris, D. N. (2024). Structural Characteristics and Improved Thermal Stability of HDPE/Calcium Pimelate Nanocomposites. Macromol, 4(1), 42-57. https://doi.org/10.3390/macromol4010003

