The Stability Consequences Promoted by Doping Metallic Atoms on the Degradation of Poly (ε-Caprolactone)
Abstract
:1. Introduction
2. Materials and Methods
3. Results
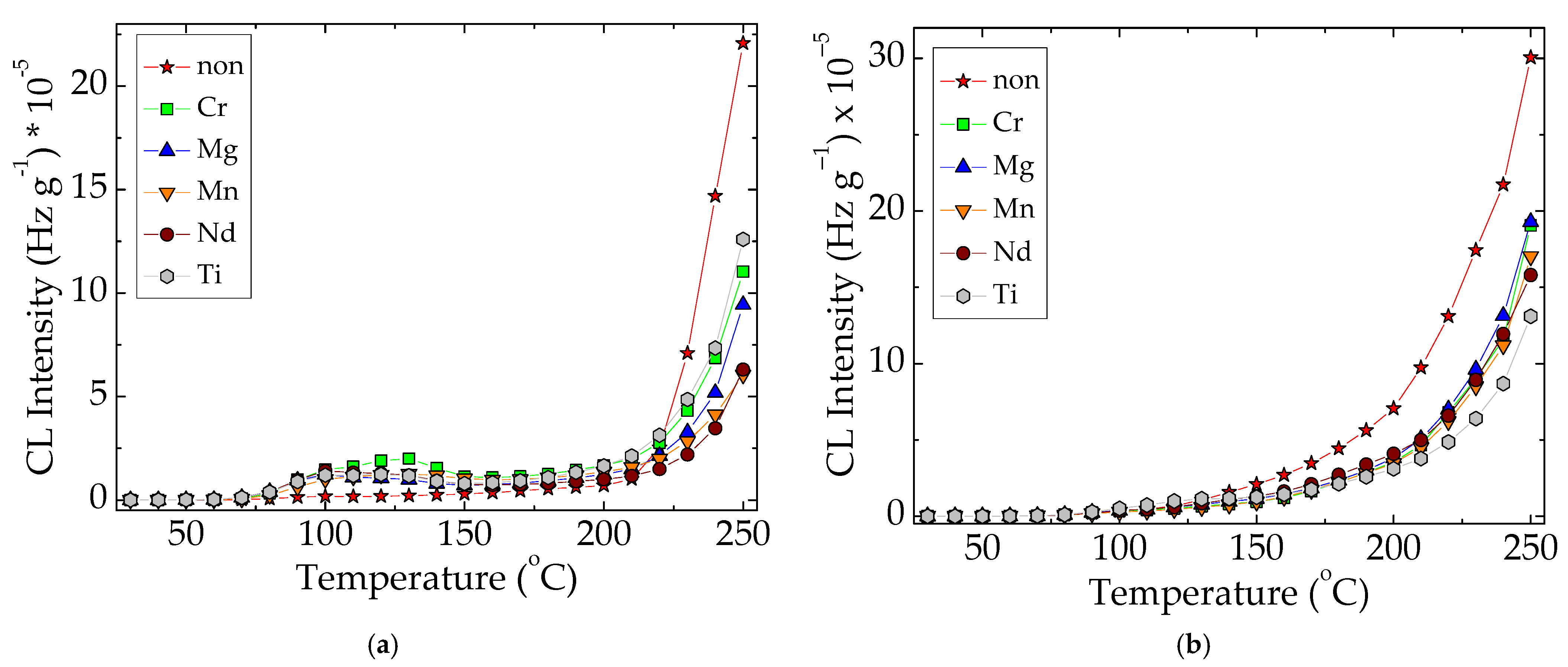
3.1. Isothermal Chemilumienscence Assay
3.2. Nonisothermal Chemiluminescence Assay
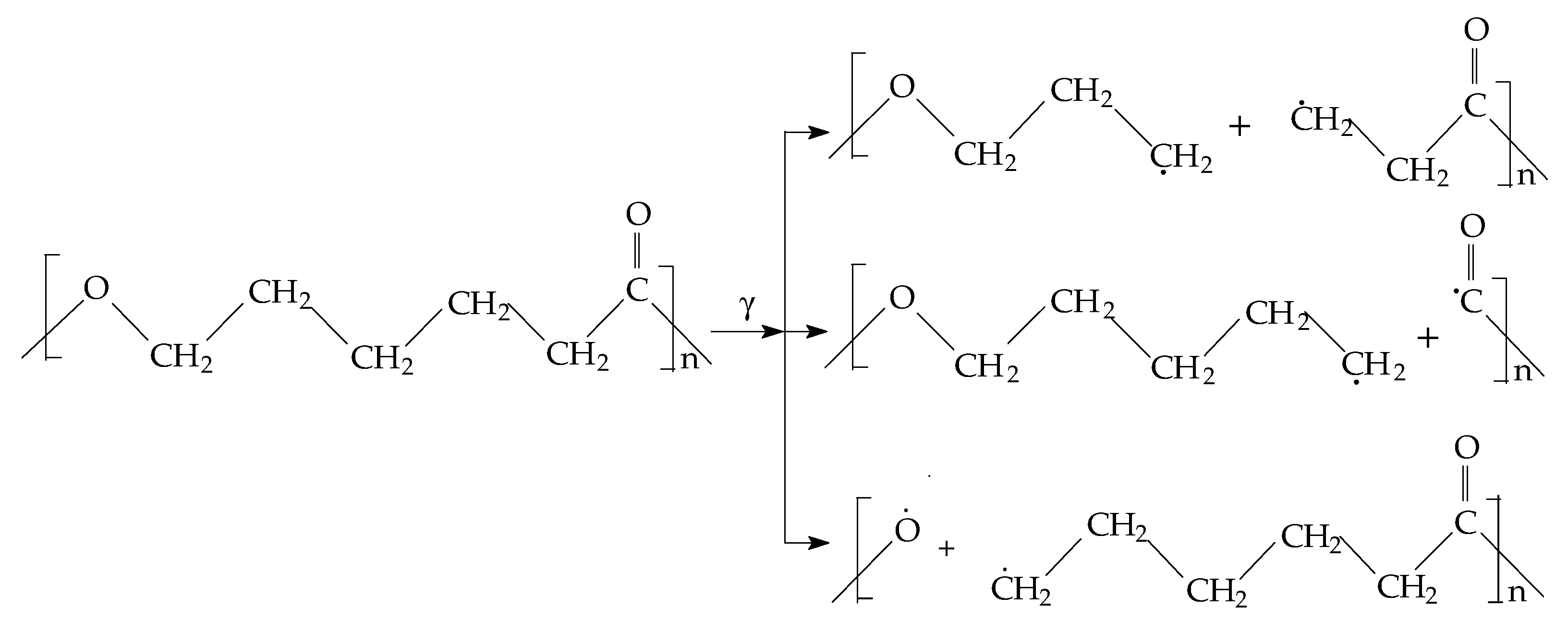
4. Discussion
5. Conclusions
Author Contributions
Funding
Institutional Review Board Statement
Informed Consent Statement
Data Availability Statement
Conflicts of Interest
Abbreviations
| CL | chemiluminescence |
| EPR | electron paramagnetic resonance |
| FTIR | infrared spectroscopy |
| OOT | onset oxidation temperature |
| PCL | poly (ε-caprolactone) |
| PLA | poly (lactic acid) |
| SIS | styrene–isoprene–styrene triblock copolymer |
References
- Osawa, Z. Role of metals and metal-deactivators in polymer degradation. Polym. Degrad. Stab. 1988, 20, 203–236. [Google Scholar] [CrossRef]
- Koutný, M.; Václavková, T.; Matisová-Rychlá, L.; Rychlý, J. Characterization of oxidation progress by chemiluminescence. A study of polypropylene with pro-oxidant additives. Polym. Degrad. Stab. 2008, 93, 1515–1519. [Google Scholar] [CrossRef]
- Corti, A.; Muniyasamy, S.; Vitali, M.; Imam, S.H.; Chiellini, E. Oxidation and biodegradation of polyethylene films containing pro-oxidant additives: Synergistic effects of sunlight exposure, thermal ageing and fungal biodegradation. Polym. Degrad. Stab. 2010, 95, 1106–1114. [Google Scholar] [CrossRef]
- Dintcheva, N.T.; Baiamonte, M.; Spera, M. Assessment of pro-oxidant activity of natural phenolic compounds in bio-polyesters. Polym. Degrad. Stab. 2018, 152, 280–288. [Google Scholar] [CrossRef]
- Pilař, J.; Šlouf, M.; Mihálková, D.; Štoufová, I.; Vaková, T.; Dyball, J. Pro-oxidant activity of a-tocopherol during photooxidative degradation of polyolefins. ESRI and IR microspectroscopy studies. Polym. Degrad. Stab. 2017, 138, 55–71. [Google Scholar] [CrossRef]
- Rojas, A.; Velásquez, E.; Vidal, C.P.; Guarda, A.; Galotto, M.J.; López de Dicastillo, C. Active PLA Packaging Films effects of processing and the addition of natural antimicrobials and antioxidants on physical properties, release kinetics, and compostability. Antioxidants 2021, 10, 1976. [Google Scholar] [CrossRef]
- Maraveas, C.; Bayer, I.S.; Bartzanas, T. Recent advances in antioxidant polymers: From sustainable and natural monomers to synthesis and applications. Polymers 2021, 13, 2465. [Google Scholar] [CrossRef]
- Aleh, M.; Al-Hajri, Z.; Popelka, A.; Zaidi, S.J. Preparation and characterization of alumina HDPE composites. Materials 2020, 13, 250. [Google Scholar]
- Scaffaro, R.; Maio, A. Influence of oxidation level of graphene oxide on the mechanical performances and photo-oxidation resistance of a polyamide 6. Polymers 2019, 11, 857. [Google Scholar] [CrossRef] [Green Version]
- Potaufeux, J.-E.; Rapp, G.; Barraud, S.; Liu, G.; Zhang, C.; Giannelis, E.P.; Notta-Cuvier, D.; Lauro, F.; Raquez, J.M.; Odent, J.; et al. Influence of photooxidation on ionic reversible interaction of ionic poly(ether urethane)/silica hybrids. Polym. Degrad. Stab. 2022, 197, 109872. [Google Scholar] [CrossRef]
- Zaharescu, T.; Dumitru, A.; Marinescu, V.; Velciu, G.; Panaitescu, D.; Sbarcea, G. Radiochemical stability and life time of HDPE-based flexible composite filled with Ce-doped PbZrTiO3. J. Therm. Anal. Calorim. 2019, 138, 2419–2428. [Google Scholar] [CrossRef]
- Bolland, J.L.; Gee, G. Kinetic studies in the chemistry of rubber and related materials. III. Thermochemistry and mechanisms of polyolefin oxidation. Trans. Faraday. Soc. 1946, 42, 236–244. [Google Scholar] [CrossRef]
- Rychlý, J.; Rychlá, L.; Novak, I.; Vanko, V.; Preťo, J.; Janigová, I.; Chodák, I. Thermooxidative stability of hot melt adhesives based on metallocene polyolefins grafted with polar acrylic acid moieties. Polym. Test. 2020, 85, 106422. [Google Scholar]
- Podkścielna, B.; Gargol, M.; Goliszek, M.; Klepka, T.; Sevastyanova, O. Degradation and flammability of bioplastics based on PLA and lignin. Polym. Test. 2022, 111, 107622. [Google Scholar] [CrossRef]
- Bartnikowski, M.; Dargaville, T.R.; Ivanovski, S.; Hutmache, D.W. Degradation mechanisms of polycaprolactone in the context of chemistry geometry and environment. Prog. Polym. Sci. 2019, 96, 1–20. [Google Scholar] [CrossRef]
- Brinson, H.F.; Brinson, L.C. (Eds.) Characteristics, applications and properties of polymers. In Polymer Engineering Science and Viscoelasticity; Springer: New York, NY, USA, 2008; pp. 55–97. [Google Scholar]
- Gorghiu, L.M.; Jipa, S.; Zaharescu, T.; Stenescu, R.; Mihalcea, I. The effect of metals on thermal degradation of polyethylenes. Polym. Degrad. Stab. 2004, 84, 7–11. [Google Scholar] [CrossRef]
- Zaharescu, T.; Dumitru, A.; Lungulescu, M.E.; Velciu, G. EPDM composite membranes modified with cerium doped zirconate titanate. Radiat. Phys. Chem. 2016, 118, 133–137. [Google Scholar] [CrossRef]
- Roy, P.K.; Surekha, P.; Raman, R.; Rajagopal, C. Investigating the role of metal oxidation state on the degradation behaviour of LDPE. Polym. Degrad. Stab. 2009, 4, 1033–1039. [Google Scholar] [CrossRef]
- Chee, T.-M.; Sin, L.T.; Bee, S.-T.; Kadhum, A.A.H.; Rahmat, A.R. Roles of Calcium, inc, copper and titaanium compounds on the degradation of polymers. Polym. Plast. Technol. Eng. 2015, 54, 441–461. [Google Scholar] [CrossRef]
- Zaharescu, T.; Mateescu, C. Stability efficiencies of POSS and microalgae extracts on the durability of ethylene-propylene-diene based hybrids. Polymers 2022, 14, 187. [Google Scholar] [CrossRef]
- Matisova-Rychla, L.; Rychly, J.; Verdu, J.; Audouin, L.; Csomorova, K. Chemiluminescence and thermogravimetric study of thermal oxidation of polypropylene. Polym. Degrad. Stab. 1995, 49, 51–55. [Google Scholar] [CrossRef]
- Kissinger, H.E. Reaction kinetics in differential thermal analysis. Anal. Chem. 1957, 29, 1702–1706. [Google Scholar] [CrossRef]
- FliczÁr, S.; Minichino, C. Bond energies and bond dissociation energies. J. Phys. Colloq. 1987, 48, C4.367–C4.375. [Google Scholar] [CrossRef]
- Herrera-Kao, W.A.; Loría-Bastarrachea, M.I.; Pérez-Padilla, Y.; Cauich-Rodríguez, J.V.; Vásquez-Torres, H.; Cervantes-Uci, J.M. Thermal degradation of poly(caprolactone), poly(lactic acid) and poly(hydroxybutyrate) studied by TGA/FTIR and other analytical techniques. Polym. Bull. 2018, 75, 4191–4205. [Google Scholar] [CrossRef]
- Booth, A. Calculation of electron trap depths from thermoluminescence maxima. Can. J. Chem. 2011, 32, 214–215. [Google Scholar] [CrossRef]
- Rychlý, J.; Rychlá, L.; Stloukal, P.; Koutný, M.; Pekarová, S.; Václavková, T.; Verney, V.; Fiedlerová, A. UV initiated oxidation and chemiluminescence from aromatic-aliphatic co-polyesters and polylactic acid. Polym. Degrad. Stab. 2013, 98, 2556–2563. [Google Scholar] [CrossRef]
- Zaharescu, T. Stabilization effects of doped inorganic filler on EPDM for space and terrestrial applications. Mater. Chem. Phys. 2019, 234, 102–109. [Google Scholar] [CrossRef]
- Malinowski, R. Some effects of radiation treatment of biodegradable PCL/PLA blends. J. Polym. Eng. 2018, 38, 635–640. [Google Scholar] [CrossRef]
- Lim, Y.-M.; Gwon, H.-J.; Shin, J.; Jeun, J.P.; Nho, Y.-C. Preparation of porous poly(ε-caprolactone) scaffolds by gas foaming process and in vitro/in vivo degradation behavior using γ-ray irradiation. J. Ind. Eng. Chem. 2008, 14, 436–441. [Google Scholar] [CrossRef]
- Silivalingam, G.; Giridhar Madras. Thermal degradation of poly(ε-caprolactone). Polym. Degrad. Stab. 2003, 80, 11–16. [Google Scholar] [CrossRef]
- Navarro, R.; Burillo, G.; Adem, E.; Mzrcos-Fernández, A. Effect of ionizing radiation on the chemical structure and the physic-chemical properties of polycaprolactone of different molecular weights. Polymers 2018, 10, 397. [Google Scholar] [CrossRef] [PubMed] [Green Version]
- Walo, M.; Przbytniak, G.; Nowicki, A.; Świeszkowski, W. Radiation-induced effects in gamma-irradiated PLLA and PCL at ambient and dry ice temperatures. J. Appl. Polym. Sci. 2011, 122, 375–383. [Google Scholar] [CrossRef]
- Narkis, M.; Sibony-Chaouat, S.; Siegmann, A.; Shkolnikt, S.; Bell, J.P. Irradiation effects on polycaprolactone. Polymer 1985, 26, 50–54. [Google Scholar] [CrossRef]









| Bond | Energy (kJ mol−1) |
|---|---|
| C–H | 413 |
| C–C | 348 |
| C–O | 358 |
| C=O | 799 |
| Doping Atoms | OOT (°C) | Correlation Factor | Activation Energy (kJ mol−1) | ||||
|---|---|---|---|---|---|---|---|
| 5 °C min−1 | 10 °C min−1 | 15 °C min−1 | 20 °C min−1 | ||||
| Dose 0 kGy | |||||||
| none | 201 | 212 | 225 | 230 | 0.98832 | 82 | |
| Cr | 195 | 208 | 220 | 232 | 0.98423 | 65 | |
| Nd | 194 | 203 | 215 | 231 | 0.98423 | 62 | |
| Mg | 192 | 199 | 210 | 224 | 0.95331 | 70 | |
| Mn | 198 | 210 | 226 | 235 | 0.98115 | 63 | |
| Ti | 195 | 209 | 222 | 229 | 0.99539 | 70 | |
| Dose 100 kGy | |||||||
| none | 190 | 210 | 215 | 223 | 0.98591 | 72 | |
| Cr | 190 | 202 | 215 | 229 | 0.97172 | 60 | |
| Nd | 183 | 190 | 208 | 220 | 0.93735 | 56 | |
| Mg | 186 | 210 | 218 | 225 | 0.98663 | 58 | |
| Mn | 183 | 190 | 205 | 220 | 0.92973 | 57 | |
| Ti | 180 | 195 | 210 | 218 | 0.99339 | 58 | |
Publisher’s Note: MDPI stays neutral with regard to jurisdictional claims in published maps and institutional affiliations. |
© 2022 by the authors. Licensee MDPI, Basel, Switzerland. This article is an open access article distributed under the terms and conditions of the Creative Commons Attribution (CC BY) license (https://creativecommons.org/licenses/by/4.0/).
Share and Cite
Zaharescu, T.; Borbath, T.; Mariș, M.; Borbath, I.; Mariș, M. The Stability Consequences Promoted by Doping Metallic Atoms on the Degradation of Poly (ε-Caprolactone). Macromol 2022, 2, 391-402. https://doi.org/10.3390/macromol2030025
Zaharescu T, Borbath T, Mariș M, Borbath I, Mariș M. The Stability Consequences Promoted by Doping Metallic Atoms on the Degradation of Poly (ε-Caprolactone). Macromol. 2022; 2(3):391-402. https://doi.org/10.3390/macromol2030025
Chicago/Turabian StyleZaharescu, Traian, Tunde Borbath, Marius Mariș, Istvan Borbath, and Mihaela Mariș. 2022. "The Stability Consequences Promoted by Doping Metallic Atoms on the Degradation of Poly (ε-Caprolactone)" Macromol 2, no. 3: 391-402. https://doi.org/10.3390/macromol2030025
APA StyleZaharescu, T., Borbath, T., Mariș, M., Borbath, I., & Mariș, M. (2022). The Stability Consequences Promoted by Doping Metallic Atoms on the Degradation of Poly (ε-Caprolactone). Macromol, 2(3), 391-402. https://doi.org/10.3390/macromol2030025

