Neither Scale of Response Nor Threshold in Habitat Availability Is Conserved Across Species of Forest-Dwelling Songbirds Responding to Habitat Loss
Simple Summary
Abstract
1. Introduction
2. Materials and Methods
2.1. Study Area
2.2. Data Collection
2.3. Land Cover Data
2.4. Data Analysis
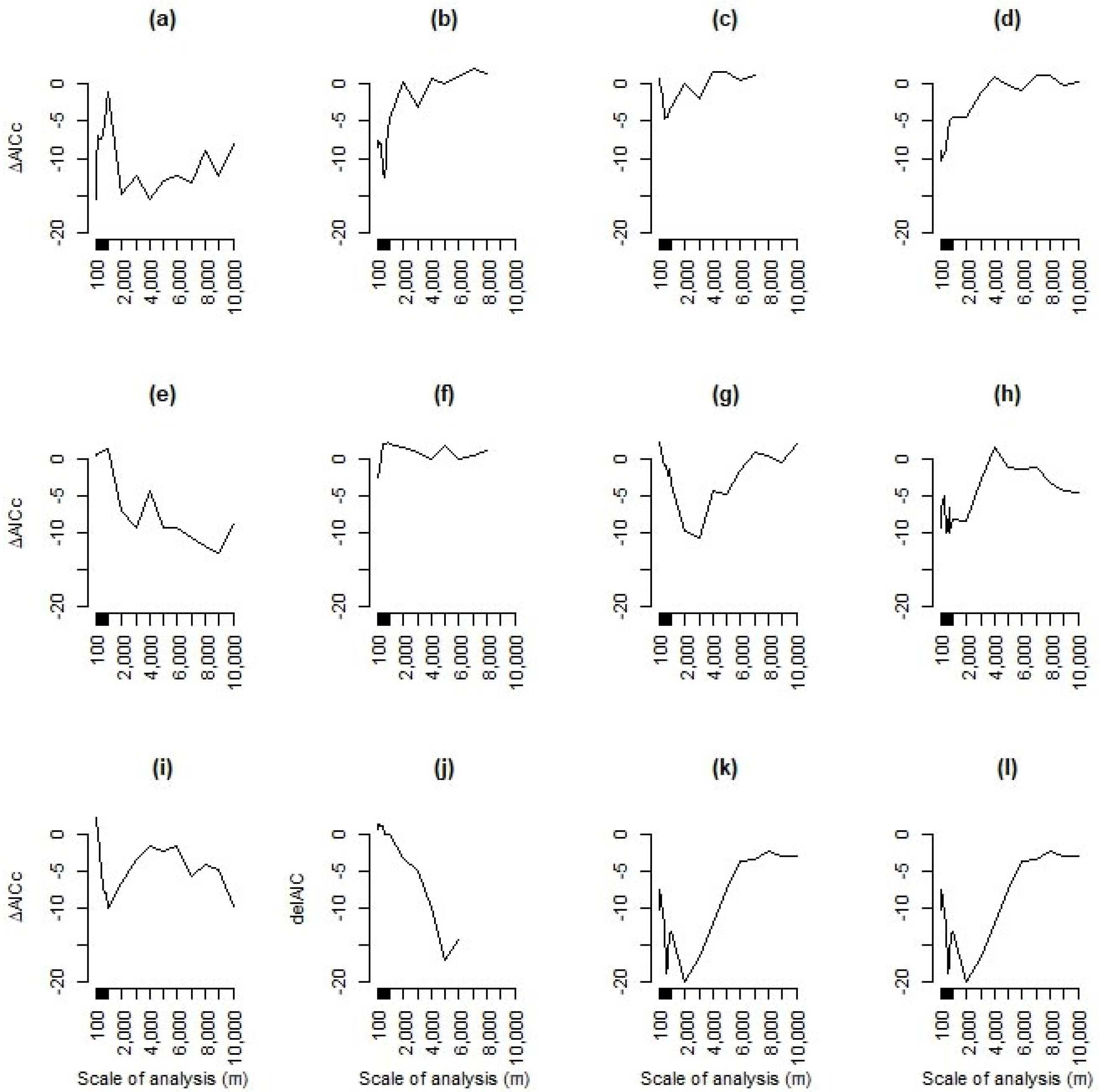
3. Results
4. Discussion
5. Conclusions
Supplementary Materials
Funding
Institutional Review Board Statement
Data Availability Statement
Acknowledgments
Conflicts of Interest
References
- Robbins, C.S.; Dawson, D.K.; Dowell, B.A. Habitat area requirements of breeding forest birds of the middle Atlantic states. Wildl. Monogr. 1989, 103, 3–34. [Google Scholar]
- Villard, M.A.; Merriam, G.; Maurer, B.A. Dynamics in subdivided populations of neotropical migratory birds in a fragmented temperate forest. Ecology 1995, 76, 27–40. [Google Scholar] [CrossRef]
- Martin, T.E. Avian life history evolution in relation to nest sites, nest predation, and food. Ecol. Monogr. 1995, 65, 101–127. [Google Scholar] [CrossRef]
- Knick, S.T.; Rotenberry, J.T. Effects of habitat fragmentation on passerine birds breeding in intermountain shrubsteppe. Stud. Avian Biol. 2002, 25, 130–140. [Google Scholar]
- Desrochers, A.; Renaud, C.; Hochachka, W.M.; Cadman, M. Area-sensitivity by forest songbirds: Theoretical and practical implications of scale-dependency. Ecography 2010, 33, 921–931. [Google Scholar] [CrossRef]
- Haddad, N.M.; Brudvig, L.A.; Clobert, J.; Davies, K.F.; Gonzalez, A.; Holt, R.D.; Lovejoy, T.H.; Sexton, J.O.; Austin, M.P.; Collins, C.D.; et al. Habitat fragmentation and its lasting impact on Earth’s ecosystems. Sci. Adv. 2015, 1, e1500052. [Google Scholar] [CrossRef]
- Betts, M.G.; Forbes, G.J.; Diamond, A.W.; Taylor, P.D. Independent effects of fragmentation on forest songbirds: An organism-based approach. Ecol. Appl. 2006, 16, 1076–1089. [Google Scholar] [CrossRef]
- Jokimäki, J.; Huhta, E.; Mönkkönen, M.; Nikula, A. Temporal variation of bird assemblages in moderately fragmented and less-fragmented boreal forest landscapes: A multi-scale approach. Écoscience 2000, 7, 256–266. [Google Scholar] [CrossRef]
- Jokimäki, J.; Huhta, E. Effects of landscape matrix and habitat structure on a bird community in northern Finland: A multi-scale approach. Ornis Fennica 1996, 73, 97–113. [Google Scholar]
- Guenette, J.S.; Villard, M.A. Thresholds in forest bird response to habitat alteration as quantitative targets for conservation. Conserv. Biol. 2005, 19, 1168–1180. [Google Scholar] [CrossRef]
- Schmiegelow, F.K.; Mönkkönen. Habitat loss and fragmentation in dynamic landscapes: Avian perspectives from the boreal forest. Ecol. Appl. 2002, 12, 375–389. [Google Scholar] [CrossRef]
- Andren, H. Effects of habitat fragmentation on birds and mammals in landscapes with different proportions of suitable habitat: A review. Oikos 1994, 71, 355–366. [Google Scholar] [CrossRef]
- Fahrig, L. Effects of habitat fragmentation on biodiversity. Annu. Rev. Ecol. Evol. Syst. 2003, 34, 487–515. [Google Scholar] [CrossRef]
- Radford, J.Q.; Bennett, A.F.; Cheers, G.J. Landscape-level thresholds of habitat cover for woodland-dependent birds. Biol. Conserv. 2005, 124, 317–337. [Google Scholar] [CrossRef]
- Betts, M.G.; Forbes, G.J.; Diamond, A.W. Thresholds in songbird occurrence in relation to landscape structure. Conserv. Biol. 2007, 21, 1046–1058. [Google Scholar] [CrossRef]
- Huggett, A.J. The concept and utility of ‘ecological thresholds’ in biodiversity conservation. Biol. Conserv. 2005, 124, 301–310. [Google Scholar] [CrossRef]
- Thompson, B.A. Planning for implementation: Landscape-level restoration planning in an agricultural setting. Restor. Ecol. 2011, 19, 5–13. [Google Scholar] [CrossRef]
- Valente, J.J.; Gannon, D.G.; Hightower, J.; Kim, H.; Leimberger, K.G.; Macedo, R.; Rousseau, J.S.; Weldy, W.J.; Zitomer, R.A.; Fahrig, L.; et al. Toward conciliation in the habitat fragmentation and biodiversity debate. Landsc. Ecol. 2023, 38, 2717–2730. [Google Scholar] [CrossRef]
- Lindenmayer, D.B.; Blanchard, W.; Crane, M.; Michael, D.; Florance, D. Size or quality. What matters in vegetation restoration for bird biodiversity in endangered temperate woodlands? Austral Ecol. 2018, 43, 798–806. [Google Scholar] [CrossRef]
- Trzcinski, M.K.; Fahrig, L.; Merriam, G. Independent effects of forest cover and fragmentation on the distribution of forest breeding birds. Ecol. Appl. 1999, 9, 586–593. [Google Scholar] [CrossRef]
- Smith, A.C.; Fahrig, L.; Francis, C.M. Landscape size affects the relative importance of habitat amount, habitat fragmentation, and matrix quality on forest birds. Ecography 2011, 34, 103–113. [Google Scholar] [CrossRef]
- Lindenmayer, D.B.; Hobbs, R.J.; Montague-Drake, R.; Alexandra, J.; Bennett, A.; Burgman, M.; Cale, P.; Calhoun, A.; Cramer, V.; Cullen, P.; et al. A checklist for ecological management of landscapes for conservation. Ecol. Lett. 2008, 11, 78–91. [Google Scholar] [CrossRef]
- Arroyo-Rodriguez, V.; Fahrig, L.; Tabarelli, M.; Watling, J.I.; Tischendorf, L.; Benchimol, M.; Cazetta, E.; Faria, D.; Leal, I.R.; Melo, F.P.L.; et al. Designing optimal human-modified landscapes for forest biodiversity conservation. Ecol. Lett. 2020, 23, 1404–1420. [Google Scholar] [CrossRef] [PubMed]
- Zuckerberg, B.; Porter, W.F. Thresholds in the long-term responses of breeding birds to forest cover and fragmentation. Biol. Conserv. 2010, 143, 952–962. [Google Scholar] [CrossRef]
- Van der Hoek, Y.; Renfrew, R.; Manne, L.L. Assessing regional and interspecific variation in threshold responses of forest breeding birds through broad scale analyses. PLoS ONE 2013, 8, e55996. [Google Scholar] [CrossRef] [PubMed][Green Version]
- Thompson, B.A. Landscape-level occurrence thresholds in forest-dwelling birds vary with abundance and habitat availability. Biodiv Conserv. 2024. submitted. [Google Scholar]
- Richmond, S.; Jenkins, E.; Couturier, A.; Cadman, M. Thresholds in forest bird richness in response to three types of forest cover in Ontario, Canada. Landsc. Ecol. 2015, 30, 1273–1290. [Google Scholar] [CrossRef]
- Holland, J.D.; Bert, D.G.; Fahrig, L. Determining the spatial scale of species’ response to habitat. BioScience 2004, 54, 227–233. [Google Scholar] [CrossRef]
- Bergman, K.-O.; Jansson, N.; Claesson, K.; Palmer, M.W.; Millberg, P. How much and at what scale? Multiscale analyses as decision support for conservation of saproxylic oak beetles. For. Ecol. Manag. 2012, 265, 133–141. [Google Scholar] [CrossRef]
- Guttery, M.R.; Ribic, C.A.; Sample, D.W.; Paulios, A.; Trosen, C.; Dadisman, J.; Schneider, D.; Horton, J.A. Scale-specific habitat relationships influence patch occupancy: Defining neighbourhoods to optimize the effectiveness of landscape-scale grassland bird conservation. Landsc. Ecol. 2017, 32, 515–529. [Google Scholar] [CrossRef]
- Beck, G.G.; Couturier, A.R.; Francis, C.M.; Leckie, S. North American Ornithological Atlas Committee Handbook: A Guide for Managers on the Planning and Implementation of a Breeding Bird Atlas Project; Bird Studies Canada: Port Rowan, ON, Canada, 2018. [Google Scholar]
- Jackson, H.B.; Fahrig, L. What size is a biologically relevant landscape? Landsc. Ecol. 2012, 27, 929–941. [Google Scholar] [CrossRef]
- Burnham, K.P.; Anderson, D.R. Model Selection and Multi-Model Inference: A Practical Information-Theoretic Approach; Springer: New York, NY, USA, 2002. [Google Scholar]
- Martin, A.E.; Fahrig, L. Reconciling contradictory relationships between mobility and extinction risk in human altered landscapes. Funct. Ecol. 2016, 30, 1558–1567. [Google Scholar] [CrossRef]
- Martin, A.E.; Desroches, A.; Fahrig, L. Homogenization of dispersal ability across bird species in response to landscape change. Oikos 2016, 126, 996–1003. [Google Scholar] [CrossRef]
- Thornton, D.H.; Fletcher, R.J. Body size and spatial scales in avian response to landscapes: A meta-analysis. Ecography 2014, 37, 454–463. [Google Scholar] [CrossRef]
- Vance, M.D.; Fahrig, L.; Flather, C.H. Effect of reproductive rate on minimum habitat requirements of forest-breeding birds. Ecology 2003, 84, 2643–2653. [Google Scholar] [CrossRef][Green Version]
- Quesnelle, P.E.; Lindsay, K.E.; Fahrig, L. Low reproductive rate predicts species sensitivity to habitat loss: A meta-analysis of wetland vertebrates. PLoS ONE 2014, 9, e90926. [Google Scholar] [CrossRef] [PubMed]
- Swift, T.L.; Hannon, S.J. Critical thresholds associated with habitat loss: A review of the concepts, evidence and applications. Biol. Rev. 2010, 85, 35–53. [Google Scholar] [CrossRef] [PubMed]
- Miguet, P.; Jackson, H.B.; Jackson, N.D.; Martin, A.E.; Fahrig, L. What determines the spatial extent of landscape effects on species? Landsc. Ecol. 2016, 31, 1177–1194. [Google Scholar] [CrossRef]
- Environment Canada. Bird Conservation Strategy for Bird Conservation Region 13 in Ontario Region: Lower Great Lakes/St. Lawrence Plain; Government of Canada: Ottawa, ON, Canada, 2014; pp. 1–14. [Google Scholar]
- Cadman, M.D.; Sutherland, D.A.; Beck, G.G.; LePage, D.; Couturier, A.R. (Eds.) Atlas of the Breeding Birds of Ontario, 2001–2005; Bird Studies Canada, Environment Canada, Ontario Field Ornithologists, Ontario Ministry of Natural Resources, and Ontario Nature: Toronto, ON, Canada, 2007. [Google Scholar]
- R Core Team. R: A Language and Environment for Statistical Computing; R Foundation for Statistical Computing: Vienna, Austria, 2024. [Google Scholar]
- Ontario Ministry of Natural Resources. Ontario Land Cover Compilation v 2.0. 2014. Available online: http://www.ontario.ca/lio (accessed on 30 October 2017).
- Villard, M.A. Designing studies to develop conservation targets: A review of the challenges. In Setting Conservation Targets for Managed Forest Landscapes; Villard, M.A., Jonsson, B.G., Eds.; Cambridge University Press: New York, NY, USA, 2009; pp. 30–49. [Google Scholar]
- Jiménez-Valverde, A.; Lobo, J.M. Threshold criteria for conversion of probability of species presence to either-or presence-absence. Acta Oecol. 2007, 31, 361–369. [Google Scholar] [CrossRef]
- Zweig, M.H.; Campbell, G. Receiver-operating characteristic (ROC) plots: A fundamental evaluation tool in clinical medicine. Clin. Chem. 1993, 39, 561–577. [Google Scholar] [CrossRef] [PubMed]
- Nahm, F.S. Receiver operating characteristic curve: Overview and practical use for clinicians. Korean J. Anesthesiol. 2022, 75, 25–36. [Google Scholar] [CrossRef] [PubMed]
- Guenette, J.S.; Villard, M.A. Do empirical thresholds truly reflect species tolerance to habitat alteration? Ecol. Bull. 2004, 51, 163–171. [Google Scholar]
- Manel, S.; Williams, H.C.; Ormerod, S.J. Evaluating presence-absence models in ecology: The need to account for prevalence. J. Appl. Ecol. 2001, 38, 921–931. [Google Scholar] [CrossRef]
- Heikkinen, R.K.; Luoto, M.; Araújo, M.B.; Virkkala, R.; Thuiller, W.; Sykes, M.T. Methods and uncertainties in bioclimatic envelope modelling under climate change. Prog. Phys. Geogr. 2006, 30, 751–777. [Google Scholar] [CrossRef]
- Hansen, G.J.A.; Read, J.S.; Hansen, J.F.; Winslow, L.A. Projected shifts in fish species dominance in Wisconsin lakes under climate change. Glob. Chang. Biol. 2017, 23, 1463–1476. [Google Scholar] [CrossRef]
- Rodewald, P. (Ed.) The Birds of North America. 2015. Available online: https://birdsna.org (accessed on 10 October 2024).
- Martin, N.D. An analysis of bird populations in relation to forest succession in Algonquin Provincial Park, Ontario. Ecology 1960, 41, 126–140. [Google Scholar] [CrossRef]
- Schlossberg, S. Site fidelity of shrubland and forest birds. Condor 2009, 111, 238–246. [Google Scholar] [CrossRef]
- Lamont, B.B.; Williams, M.R.; He, T. Relative growth rate (RGR) and other confounded variables: Mathematical problems and biological solutions. Ann. Bot. 2023, 131, 555–567. [Google Scholar] [CrossRef] [PubMed]
- Carstensen, B.; Plummer, M.; Laara, E.; Hills, M. Epi: A Package for Statistical Analysis in Epidemiology; R Package Version 2.40. 2019. Available online: https://CRAN.R-project.org/package=Epi (accessed on 30 November 2019).
- Ricklefs, R.E. Patterns of growth in birds. II. Growth rate and mode of development. Ibis 1973, 115, 177–201. [Google Scholar] [CrossRef]
- Ricklefs, R.E. The optimization of growth rate in altricial birds. Ecology 1984, 65, 1602–1616. [Google Scholar] [CrossRef]
- Weathers, W.W.; Sullivan, K.A. Juvenile foraging proficiency, parental effort, and avian reproductive success. Ecol. Monogr. 1989, 59, 223–246. [Google Scholar] [CrossRef]
- Boag, P.T. Effects of nestling diet on growth and adult size of zebra finches (Poephila guttata). Auk 1987, 104, 155–166. [Google Scholar] [CrossRef]
- Lindholme, A.; Gauthier, G.; Descrochers, A. Effects of hatch date and food supply on gosling growth in arctic-nesting greater snow geese. Condor 1994, 96, 898–908. [Google Scholar] [CrossRef]
- Remes, V.; Martin, T.E. Environmental influences on the evolution of growth and development rates in passerines. Evolution 2002, 56, 2505–2518. [Google Scholar] [CrossRef] [PubMed]
- Faaborg, J.; Holmes, R.T.; Anders, A.D.; Bildstein, K.L.; Dugger, K.M.; Gauthreaux, S.A.; Heglund, P.; Hobson, K.A.; Jahn, A.E.; Johnson, D.H.; et al. Conserving migratory land birds in the New World: Do we know enough? Ecol. Appl. 2010, 20, 398–418. [Google Scholar] [CrossRef]
- Picman, J.; Schriml, L.M. A camera study of temporal patterns of nest predation in different habitats. Wilson Bull 1994, 106, 456–465. [Google Scholar]
- Pedlar, J.H.; Fahrig, L.; Merriam, H.G. Raccoon habitat use at 2 spatial scales. J. Wildl. Manag. 1997, 61, 102–112. [Google Scholar] [CrossRef]
- Swihart, R.K.; Gehring, T.M.; Kolozsvary, M.B. Responses of ‘resistant’ vertebrates to habitat loss and fragmentation: The importance of niche breadth and range boundaries. Divers. Distrib. 2003, 9, 1–18. [Google Scholar] [CrossRef]
- Jonnson, B.G.; Villard, M.A. Setting conservation targets: Past and present approaches. In Setting Conservation Targets for Managed Forest Landscapes; Villard, M.A., Jonsson, B.G., Eds.; Cambridge University Press: New York, NY, USA, 2009; pp. 9–29. [Google Scholar]
- Boulinier, T.; Nichols, J.D.; Hines, J.E.; Sauer, J.R.; Flather, C.H.; Pollock, K.H. Higher temporal variability of forest breeding bird communities in fragmented landscapes. Proc. Natl. Acad. Sci. USA 1998, 95, 7497–7501. [Google Scholar] [CrossRef] [PubMed]
- Boulinier, T.; Nichols, J.D.; Hines, J.E.; Sauer, J.R.; Flather, C.H.; Pollock, K.H. Forest fragmentation and bird community dynamics: Inference at regional scales. Ecology 2001, 82, 1159–1169. [Google Scholar] [CrossRef]


| Species | English Name | Optimal Scale of Analysis (m) | AUC | Threshold (Percent Forest) | Relative Growth Rate | Body Mass (g) | Territory Size (ha) | Clutch Size | Site Fidelity |
|---|---|---|---|---|---|---|---|---|---|
| Catharus fuscescens | Veery | 4000 | 0.813 | 27.0 | 32.4 | 0.25 | 3.3 | ||
| Contopus virens | Eastern Wood Pewee | 600 | 0.828 | 40.8 | 14.1 | 7.7 | 3 | 0.31 | |
| Cyanocitta cristata | Blue Jay | 500 | 0.837 | 28.1 | 7.01 | 92.4 | 6 | ||
| Hylocichla mustelina | Wood Thrush | 200 | 0.887 | 30.0 | 19.13 | 48.6 | 4 | 3 | 0.41 |
| Mniotilta varia | Black-and-white Warbler | 9000 | 0.914 | 23.4 | 15.2 | 3.7 | 5 | ||
| Myiarchus crinitus | Great Crested Flycatcher | 3000 | 0.749 | 33.4 | 15.00 | 33.5 | 3.2 | 5 | 0.18 |
| Pheucticus ludovicianus | Rose-breasted Grosbeak | 500 | 0.802 | 17.1 | 6.81 | 45.7 | 1.3 | 4 | 0.09 |
| Piranga olivacea | Scarlet Tanager | 1000 | 0.891 | 51.0 | 7.41 | 25.0 | 2.4 | 3.4 | 0.59 |
| Poecile atricapillus | Black-capped Chickadee | 5000 | 0.892 | 11.2 | 35.93 | 10.6 | 1.8 | 7 | |
| Seiurus aurocapilla | Ovenbird | 2000 | 0.892 | 30.4 | 6.55 | 22.5 | 0.827 | 4 | 0.32 |
| Vireo olivaceus | Red-eyed Vireo | 500 | 0.833 | 46.7 | 7.19 | 21.7 | 0.69 | 3.3 | 0.38 |
Disclaimer/Publisher’s Note: The statements, opinions and data contained in all publications are solely those of the individual author(s) and contributor(s) and not of MDPI and/or the editor(s). MDPI and/or the editor(s) disclaim responsibility for any injury to people or property resulting from any ideas, methods, instructions or products referred to in the content. |
© 2025 by the author. Licensee MDPI, Basel, Switzerland. This article is an open access article distributed under the terms and conditions of the Creative Commons Attribution (CC BY) license (https://creativecommons.org/licenses/by/4.0/).
Share and Cite
Thompson, B.A. Neither Scale of Response Nor Threshold in Habitat Availability Is Conserved Across Species of Forest-Dwelling Songbirds Responding to Habitat Loss. Birds 2025, 6, 9. https://doi.org/10.3390/birds6010009
Thompson BA. Neither Scale of Response Nor Threshold in Habitat Availability Is Conserved Across Species of Forest-Dwelling Songbirds Responding to Habitat Loss. Birds. 2025; 6(1):9. https://doi.org/10.3390/birds6010009
Chicago/Turabian StyleThompson, Bill A. 2025. "Neither Scale of Response Nor Threshold in Habitat Availability Is Conserved Across Species of Forest-Dwelling Songbirds Responding to Habitat Loss" Birds 6, no. 1: 9. https://doi.org/10.3390/birds6010009
APA StyleThompson, B. A. (2025). Neither Scale of Response Nor Threshold in Habitat Availability Is Conserved Across Species of Forest-Dwelling Songbirds Responding to Habitat Loss. Birds, 6(1), 9. https://doi.org/10.3390/birds6010009

