Habitat Use of the Hen Harrier (Circus cyaneus) during the Breeding Season in Spain
Abstract
Simple Summary
Abstract
1. Introduction
2. Materials and Methods
2.1. Capture and Tagging
2.2. Habitat Analysis
2.3. Home Range and Statistical Analysis
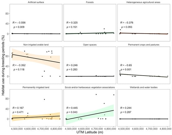
3. Results
4. Discussion
Author Contributions
Funding
Institutional Review Board Statement
Data Availability Statement
Acknowledgments
Conflicts of Interest
References
- Robertson, B.A.; Hutto, R.L. A Framework for Understanding Ecological Traps and an Evaluation of Existing Evidence. Ecology 2006, 87, 1075–1085. [Google Scholar] [CrossRef] [PubMed]
- Sergio, F.; Newton, I.; Marchesi, L. Top Predators and Biodiversity. Nature 2005, 436, 192. [Google Scholar] [CrossRef] [PubMed]
- García-Salgado, G.; Rebollo, S.; Pérez-Camacho, L.; Martínez-Hesterkamp, S.; De la Montaña, E.; Domingo-Muñoz, R.; Madrigal-González, J.; Fernández-Pereira, J.M. Breeding Habitat Preferences and Reproductive Success of Northern Goshawk (Accipiter gentilis) in Exotic Eucalyptus Plantations in Southwestern Europe. For. Ecol. Manag. 2018, 409, 817–825. [Google Scholar] [CrossRef]
- O’Flynn, W.J. Population Changes of the Hen Harrier in Ireland. Ir. Birds 1983, 2, 337–343. [Google Scholar]
- Orians, G.H.; Wittenberger, J.F. Spatial and Temporal Scales in Habitat Selection. Am. Nat. 1991, 137, 29–49. [Google Scholar] [CrossRef]
- Madders, M. Habitat Selection and Foraging Success of Hen Harriers Circus cyaneus in West Scotland. Bird Study 2000, 47, 32–40. [Google Scholar] [CrossRef]
- Tapia, L.; Zuberogoitia, I. Breeding and Nesting Biology in Raptors. In Birds of Prey; Springer International Publishing: Cham, Switzerland, 2018; pp. 63–94. [Google Scholar]
- Krüger, O. Analysis of Nest Occupancy and Nest Reproduction in Two Sympatric Raptors: Common Buzzard Buteo buteo and Goshawk Accipiter gentilis. Ecography 2002, 25, 523–532. [Google Scholar] [CrossRef]
- Ferguson-Lees, J.; Christie, D.A. Raptors of the World, 1st ed.; Editorial Houghton Mifflin Harcourt: Boston, MA, USA, 2001. [Google Scholar]
- Millon, A.; Bourrioux, J.-L.; Riols, C.; Bretagnolle, V. Comparative Breeding Biology of Hen Harrier and Montagu’s Harrier: An 8-year Study in North-eastern France. IBIS 2002, 144, 94–105. [Google Scholar] [CrossRef]
- Irwin, S.; Wilson, M.W.; Kelly, T.C.; O’Mahony, B.; Oliver, G.; Troake, P.; O’Halloran, J. The Breeding Biology of Hen Harriers Circus cyaneus in Ireland over a Five Year Period. Ir. Birds 2011, 9, 165–172. [Google Scholar]
- Del Hoyo, J.; Elliot, A.; Sargatal, J.; Christie, D.A. Handbook of the Birds of the World, 1st ed.; Editorial Lynx Edicions: Barcelona, Spain, 1994. [Google Scholar]
- Hardey, J.; Crick, H.; Wernham, C.; Riley, H.; Etheridge, B.; Thompson, D. Raptors: A Field Guide to Survey and Monitoring, 1st ed.; The Stationary Office: London, UK, 2006. [Google Scholar]
- Sheridan, K.; Monaghan, J.; Tierney, T.D.; Doyle, S.; Tweney, C.; Redpath, S.M.; McMahon, B.J. The Influence of Habitat Edge on a Ground Nesting Bird Species: Hen Harrier Circus cyaneus. Wildl. Biol. 2020, 2020, 1–10. [Google Scholar] [CrossRef]
- Arroyo, B. Aguilucho Pálido Circus cyaneus. In III Atlas de las Aves en Época de Reproducción en España; Molina, B., Nebreda, A., Muñoz, A.R., Seoane, J., Real, R., Bustamante, J., del Moral, J.C., Eds.; SEO/BirdLife: Madrid, Spain, 2022. [Google Scholar]
- Morollón, S.; García-Macía, J.; Onrubia, A.; Lee, S.; Urios, V. Migration Patterns of Breeding Hen Harriers Circus cyaneus in Spain. Bird Study 2024, 71, 40–47. [Google Scholar] [CrossRef]
- Cramp, S.; Simmons, K.E.L. The Birds of the Western Palearctic; Oxford University Press: Oxford, UK, 1980; Volume II. [Google Scholar]
- García, J.T.; Arroyo, B.E. Effect of Abiotic Factors on Reproduction in the Centre and Periphery of Breeding Ranges: A Comparative Analysis in Sympatric Harriers. Ecography 2001, 24, 393–402. [Google Scholar] [CrossRef]
- Sarà, M. Spatial Analysis of Lanner Falcon Habitat Preferences: Implications for Agro-Ecosystems Management at Landscape Scale and Raptor Conservation. Biol. Conserv. 2014, 178, 173–184. [Google Scholar] [CrossRef]
- López-Jiménez, N.; Arroyo, B. Aguilucho Pálido, Circus cyaneus. In Libro Rojo de las Aves de España; López-Jiménez, N., Ed.; SEO/BirdLife: Madrid, Spain, 2021; pp. 125–136. [Google Scholar]
- Kenward, R.E. A Manual for Wildlife Radio Tagging, 2nd ed.; Academic Press: Cambridge, MA, USA, 2000; p. 324. [Google Scholar]
- Limiñana, R.; Soutullo, A.; Urios, V. Autumn Migration of Montagu’s Harriers Circus pygargus Tracked by Satellite Telemetry. J. Ornithol. 2007, 148, 517–523. [Google Scholar] [CrossRef]
- Zuberogoitia, I.; MartÍnez, J.E.; MartÍnez, J.A.; Zabala, J.; Calvo, J.F.; Azkona, A.; Pagán, I. The Dho-Gaza and Mist Net with Eurasian Eagle-Owl (Bubo bubo) Lure: Effectiveness in Capturing Thirteen Species of European Raptors. J. Raptor Res. 2008, 42, 48–51. [Google Scholar] [CrossRef][Green Version]
- García-Macía, J.; Vidal-Mateo, J.; De la Puente, J.; Bermejo, A.; Urios, V. Spatial Ecology of the Red Kite (Milvus milvus) during the Breeding Period in Spain. Ornis Fenn. 2022, 99, 150–162. [Google Scholar] [CrossRef]
- R Core Team. R: A Language and Environment for Statistical Computing; R Foundation for Statistical Computing: Vienna, Austria, 2022; Available online: https://www.R-project.org (accessed on 6 September 2024).
- Worton, B.J. Kernel Methods for Estimating the Utilization Distribution in Home-Range Studies. Ecology 1989, 70, 164–168. [Google Scholar] [CrossRef]
- Samuel, M.D.; Pierce, D.J.; Garton, E.O. Identifying Areas of Concentrated Use within the Home Range. J. Anim. Ecol. 1985, 54, 711. [Google Scholar] [CrossRef]
- Kie, J.G.; Matthiopoulos, J.; Fieberg, J.; Powell, R.A.; Cagnacci, F.; Mitchell, M.S.; Gaillard, J.-M.; Moorcroft, P.R. The Home-Range Concept: Are Traditional Estimators Still Relevant with Modern Telemetry Technology? Philos. Trans. R. Soc. B Biol. Sci. 2010, 365, 2221–2231. [Google Scholar] [CrossRef]
- Arroyo, B.; Molina, B.; Del Moral, J.C. El Aguilucho Cenizo y El Aguilucho Pálido En España. Población Reproductora En 2017 y Método de Censo; SEO/BirdLife: Madrid, Spain, 2019; ISBN 9788494985461. [Google Scholar]
- Etheridge, B.; Summers, R.W. Movements of British Hen Harriers Circus cyaneus Outside the Breeding Season. Ringing Migr. 2006, 23, 6–14. [Google Scholar] [CrossRef][Green Version]
- Mead, C.J. Movements of British Raptors. Bird Study 1973, 20, 259–286. [Google Scholar] [CrossRef]
- O’Donoghue, B.G. The Ecology and Conservation of Hen Harriers (Circus cyaneus) in Ireland; University College Cork: Cork, Irlanda, 2010. [Google Scholar]
- Signer, J.; Fieberg, J.; Avgar, T. Animal Movement Tools (Amt): R Package for Managing Tracking Data and Conducting Habitat Selection Analyses. Ecol. Evol. 2019, 9, 880–890. [Google Scholar] [CrossRef] [PubMed]
- Calenge, C. The Package “Adehabitat” for the R Software: A Tool for the Analysis of Space and Habitat Use by Animals. Ecol. Modell. 2006, 197, 516–519. [Google Scholar] [CrossRef]
- Johnson, D.H. The Comparison of Usage and Availability Measurements for Evaluating Resource Preference. Ecology 1980, 61, 65–71. [Google Scholar] [CrossRef]
- Gotelli, N.J.; Ellison, A.M. A Primer of Ecologicalstatistics; Sinauer Associates: Sunderland, MA, USA, 2004. [Google Scholar]
- Bates, D.; Mächler, M.; Bolker, B.; Walker, S. Fitting Linear Mixed-Effects Models Using Lme4. J. Stat. Softw 2015, 67, 1–48. [Google Scholar] [CrossRef]
- Long, J.A. Jtools: Analysis and Presentation of Social Scientific Data. J. Open Source Softw. 2020, 9, 6610. [Google Scholar] [CrossRef]
- Arroyo, B.; García, J.T. Los Aguiluchos (Circus pygargus) y Pálido (C. cianeus) En Las Áreas Cerealistas Del Jarama Resumen de 8 Años de Estudio. Anu. Ornitológico Madr. 1998, 1998, 14–25. [Google Scholar]
- Amar, A.; Redpath, S.M. Habitat Use by Hen Harriers Circus cyaneus on Orkney: Implications of Land-use Change for This Declining Population. IBIS 2005, 147, 37–47. [Google Scholar] [CrossRef]
- Amar, A.; Arroyo, B.; Meek, E.; Redpath, S.; Riley, H. Influence of Habitat on Breeding Performance of Hen Harriers Circus cyaneus in Orkney. IBIS 2008, 150, 400–404. [Google Scholar] [CrossRef]
- Holt, D.W.; Melvin, S.M. Population Dynamics, Habitat Use, and Management Needs of the Shorteared Owl in Massachusetts: Summary of 1985 Research; Massachusetts Division of Fisheries and Wildlife, Natural Heritage Program: Boston, MA, USA, 1986.
- Christiansen, D.A., Jr.; Reinert, S.E. Habitat Use of the Northern Harrier in a Coastal Massachusetts Shrubland with Notes on Population Trends in Southeastern New England. J. Raptor Res. 1990, 24, 3. [Google Scholar]
- Preston, C. Distribution of Raptor Foraging in Relation to Prey Biomass and Habitat Structure. Condor 1990, 92, 107–112. [Google Scholar] [CrossRef]
- Redpath, S.; Madders, M.; Donnelly, E.; Anderson, B.; Thirgood, S.; Martin, A.; Mcleod, D. Nest Site Selection by Hen Harriers in Scotland. Bird Study 1998, 45, 51–61. [Google Scholar] [CrossRef]
- Sim, I.M.W.; Gibbons, D.W.; Bainbridge, I.P.; Mattingley, W.A. Status of the Hen Harrier Circus cyaneus in the UK and the Isle of Man in 1998. Bird Study 2001, 48, 341–353. [Google Scholar] [CrossRef]
- Geary, M.; Haworth, P.F.; Fielding, A.H. Hen Harrier Circus cyaneus Nest Sites on the Isle of Mull Are Associated with Habitat Mosaics and Constrained by Topography. Bird Study 2018, 65, 62–71. [Google Scholar] [CrossRef]
- Wilson, M.W.; O’Donoghue, B.; O’Mahony, B.; Cullen, C.; O’Donoghue, T.; Oliver, G.; Ryan, B.; Troake, P.; Irwin, S.; Kelly, T.C.; et al. Mismatches between Breeding Success and Habitat Preferences in Hen Harriers Circus cyaneus Breeding in Forested Landscapes. IBIS 2012, 154, 578–589. [Google Scholar] [CrossRef]
- Caravaggi, A.; Irwin, S.; Lusby, J.; Ruddock, M.; O’Toole, L.; Mee, A.; Nagle, T.; O’Neill, S.; Tierney, D.; McCarthy, A.; et al. Factors Influencing Hen Harrier Circus cyaneus Territory Site Selection and Breeding Success. Bird Study 2019, 66, 366–377. [Google Scholar] [CrossRef]
- Cormier, J.-P.; Fustec, J.; Pithon, J.; Choisy, P. Selection of Nesting Habitat by Montagu’s Harriers Circus pygargus and Hen Harriers Circus cyaneus in Managed Heaths. Bird Study 2008, 55, 86–93. [Google Scholar] [CrossRef]
- Watson, D. The Hen Harrier; A&C Black, Bloomsbury Natural History: London, UK, 2013. [Google Scholar]
- Tapia, L.; Dominguez, J.; Rodriguez, L. Modeling Habitat Use and Distribution of Hen Harriers (Circus cyaneus) and Mon-Tagu’s Harrier (Circus pygargus) in a Mountainous Area in Galicia, Northwestern Spain. J. Raptor Res. 2004, 38, 4. [Google Scholar]
- Instituto Geográfico de España. Atlas Nacional de España Biogeografia. Available online: https://atlasnacional.ign.es/wane/Biogeograf%C3%ADa (accessed on 6 September 2024).
- Arroyo, B.; Amar, A.; Leckie, F.; Buchanan, G.M.; Wilson, J.D.; Redpath, S. Hunting Habitat Selection by Hen Harriers on Moorland: Implications for Conservation Management. Biol. Conserv. 2009, 142, 586–596. [Google Scholar] [CrossRef]
- Higueras Herrero, M. Preferencias de Hábitat En Rapaces Forestales Diurnas Durante El Periodo Reproductor En Plantaciones Exóticas de Eucalipto. Master’s Thesis, Universidad de Alcalá, Alcalá de Henares, Spain, 2020. [Google Scholar]
- Alves, M.; Ferreira, J.P.; Torres, I.; Fonseca, C.; Matos, M. Habitat Use and Selection of the Marsh Harrier Circus aeruginosus in an Agricultural-Wetland Mosaic. Ardeola 2014, 61, 351–366. [Google Scholar] [CrossRef]
- Bobola, E.; Goutner, V.; Liordos, V. Foraging Habitat Selection and Differentiation among Coexisting Raptors across an Estuarine Landscape (Evros Delta, Northern Greece). Estuar. Coast. Shelf Sci. 2018, 213, 108–114. [Google Scholar] [CrossRef]
- Literák, I.; Sidiropoulos, L.; Škrábal, J.; Valkenburg, T.; Krejčí, Š.; Dostál, M.; Navarrete, E.; Vasilakis, D. Ranging Behaviour and Habitat Selection of Sedentary Western Marsh Harriers (Circus aeruginosus) in the Mediterranean Estuarine Landscape. Waterbirds 2023, 46, 13–23. [Google Scholar] [CrossRef]




| ID | Sex | Province | Season | No. of Used Habitats | Nest Site Surface | Habitat Use | AUI | Home Range (km2) |
|---|---|---|---|---|---|---|---|---|
| 1B8D731E | F | Orense | 2020 | 4 | Forestry | Forestry and scrub surface | 0 | 264.75 |
| 5C90B91E | M | Álava | 2021 | 6 | Agricultural | Agricultural systems | 3.45 | 30.66 |
| 5690B91E | F | Álava | 2020 | 4 | Agricultural | Agricultural systems | 4998 | 1.25 |
| 2021 | 3 | Agricultural | Agricultural systems | 554.55 | 1.09 | |||
| 180225 | F | León | 2022 | 6 | Forestry | Forestry and scrub surface | 0.24 | 97.33 |
| 190217 | F | Palencia | 2021 | 3 | Agricultural | Agricultural systems | 45.08 | 12.96 |
| 200424 | F | Madrid | 2021 | 7 | Agricultural | Agricultural systems | 171.23 | 55.09 |
| 2022 | 7 | Agricultural | Agricultural systems | 327.13 | 44.56 | |||
| 200425 | M | Toledo | 2021 | 6 | Agricultural | Agricultural systems | 47.15 | 51.52 |
| 200426 | F | Salamanca | 2021 | 4 | Agricultural | Agricultural systems | 1999 | 6.79 |
| 200428 | M | Segovia | 2021 | 6 | Agricultural | Agricultural systems | 15.02 | 41.89 |
| 200434 | F | Madrid | 2021 | 4 | Agricultural | Agricultural systems | 1 * | 0.74 |
| 2022 | 6 | Agricultural | Agricultural systems | 4969 | 1.54 | |||
| 200435 | F | Valladolid | 2021 | 4 | Agricultural | Agricultural systems | 2499 | 13.50 |
| 200438 | F | Asturias | 2021 | 6 | Forestry | Forestry and scrub surface | 0.01 | 34.09 |
| 200445 | M | Álava | 2021 | 7 | Agricultural | Agricultural systems | 40.76 | 80.52 |
| 200447 | F | La Rioja | 2022 | 7 | Agricultural | Agricultural systems | 150.29 | 159.14 |
| 200449 | F | Valladolid | 2021 | 2 | Agricultural | Agricultural systems | 9999 | 10.82 |
| 200452 | F | Toledo | 2021 | 6 | Agricultural | Agricultural systems | 145.90 | 33.87 |
| 2022 | 6 | Agricultural | Agricultural systems | 713.21 | 169.91 | |||
| 211270 | F | Álava | 2022 | 3 | Agricultural | Agricultural systems | 86.72 | 15.32 |
| ID | Season | Artificial Surface (%) | Non-Irrigated Arable Land (%) | Permanently Irrigated Land (%) | Permanent Crops and Pastures (%) | Heterogeneous Agricultural Areas (%) | Forests (%) | Scrub and/or Herbaceous Vegetation Associations (%) | Open Spaces (%) | Wetlands and Water Bodies (%) |
|---|---|---|---|---|---|---|---|---|---|---|
| 1B8D731E | 2020 | 0 | 0 | 0 | 0 | 0 | 0.06 | 96.90 | 2.98 | 0.6 |
| 5C90B91E | 2021 | 0.02 | 76.40 | 0.15 | 0.98 | 0 | 6.11 | 16.34 | 0 | 0 |
| 5690B91E | 2020 | 0.02 | 99.94 | 0.02 | 0 | 0 | 0 | 0.02 | 0 | 0 |
| 5690B91E | 2021 | 0 | 99.79 | 0.03 | 0 | 0 | 0.18 | 0 | 0 | 0 |
| 180225 | 2022 | 0 | 1.12 | 17.45 | 0.20 | 0.37 | 19.56 | 61.30 | 0 | 0 |
| 190217 | 2021 | 0 | 20.52 | 77.31 | 0 | 0 | 0 | 2.17 | 0 | 0 |
| 200424 | 2021 | 1.83 | 82.72 | 1.04 | 13.39 | 0.45 | 0.27 | 0.30 | 0 | 0 |
| 200424 | 2022 | 1.56 | 74.58 | 1.98 | 21.27 | 0.31 | 0.06 | 0.24 | 0 | 0 |
| 200425 | 2021 | 0.82 | 85.75 | 0 | 6.64 | 4.73 | 0.3 | 1.76 | 0 | 0 |
| 200426 | 2021 | 0 | 99.67 | 0.25 | 0.03 | 0 | 0 | 0.05 | 0 | 0 |
| 200428 | 2021 | 0.01 | 86.99 | 6.74 | 0.02 | 0 | 5.56 | 0.68 | 0 | 0 |
| 200434 | 2021 | 0.27 | 91.50 | 0.10 | 8.13 | 0 | 0 | 0 | 0 | 0 |
| 200434 | 2022 | 0.60 | 78.15 | 0.08 | 21.13 | 0.02 | 0 | 0.02 | 0 | 0 |
| 200435 | 2021 | 0 | 77.49 | 22.44 | 0 | 0.03 | 0.04 | 0 | 0 | 0 |
| 200438 | 2021 | 0 | 0.05 | 0 | 0.81 | 0.35 | 2.18 | 95.47 | 1.14 | 0 |
| 200445 | 2021 | 0.15 | 92.07 | 5.31 | 0.04 | 0 | 1.91 | 0.48 | 0 | 0.04 |
| 200447 | 2022 | 0.1 | 96.84 | 1.33 | 1.02 | 0 | 0.25 | 0.41 | 0.05 | 0 |
| 200449 | 2021 | 0 | 87.67 | 12.33 | 0 | 0 | 0 | 0 | 0 | 0 |
| 200452 | 2021 | 0.11 | 92.82 | 0 | 3.72 | 2.67 | 0.07 | 0.61 | 0 | 0 |
| 200452 | 2022 | 0.01 | 80.74 | 0.21 | 2.87 | 16.03 | 0 | 0.14 | 0 | 0 |
| 211270 | 2022 | 0 | 98.86 | 0 | 0 | 0 | 0.52 | 0.62 | 0 | 0 |
| Habitat Type | Estimate | SE | Statistic | Lower CI | Upper CI | p-Value |
|---|---|---|---|---|---|---|
| (Intercept) | −1.659 | 1.860 | −0.892 | −5.305 | 1.987 | 0.374 |
| Forests | −3.702 | 2.631 | −1.407 | −8.859 | 1.454 | 0.161 |
| Heterogeneous agricultural areas | −0.414 | 2.631 | −0.157 | −5.571 | 4.743 | 0.875 |
| Non-irrigated arable land | 12.140 | 2.631 | 4.614 | 6.984 | 17.297 | <0.001 |
| Open spaces | 0.667 | 2.631 | 0.254 | −4.490 | 5.824 | 0.800 |
| Permanent crops and pastures | −1.807 | 2.631 | −0.687 | −6.964 | 3.350 | 0.483 |
| Permanently irrigated land | 1.029 | 2.631 | 0.391 | −4.128 | 6.185 | 0.696 |
| Scrub and/or herbaceous vegetation associations | 5.440 | 2.631 | 2.068 | 0.284 | 10.597 | 0.040 |
| Water bodies | 1.573 | 2.631 | 0.598 | −3.583 | 6.730 | 0.551 |
Disclaimer/Publisher’s Note: The statements, opinions and data contained in all publications are solely those of the individual author(s) and contributor(s) and not of MDPI and/or the editor(s). MDPI and/or the editor(s) disclaim responsibility for any injury to people or property resulting from any ideas, methods, instructions or products referred to in the content. |
© 2024 by the authors. Licensee MDPI, Basel, Switzerland. This article is an open access article distributed under the terms and conditions of the Creative Commons Attribution (CC BY) license (https://creativecommons.org/licenses/by/4.0/).
Share and Cite
Maeso, S.; Morollón, S.; García-Macía, J.; Lee, S.; Urios, V. Habitat Use of the Hen Harrier (Circus cyaneus) during the Breeding Season in Spain. Birds 2024, 5, 558-570. https://doi.org/10.3390/birds5030037
Maeso S, Morollón S, García-Macía J, Lee S, Urios V. Habitat Use of the Hen Harrier (Circus cyaneus) during the Breeding Season in Spain. Birds. 2024; 5(3):558-570. https://doi.org/10.3390/birds5030037
Chicago/Turabian StyleMaeso, Sara, Sara Morollón, Jorge García-Macía, Simon Lee, and Vicente Urios. 2024. "Habitat Use of the Hen Harrier (Circus cyaneus) during the Breeding Season in Spain" Birds 5, no. 3: 558-570. https://doi.org/10.3390/birds5030037
APA StyleMaeso, S., Morollón, S., García-Macía, J., Lee, S., & Urios, V. (2024). Habitat Use of the Hen Harrier (Circus cyaneus) during the Breeding Season in Spain. Birds, 5(3), 558-570. https://doi.org/10.3390/birds5030037

