Acoustic Classification of Bird Species Using an Early Fusion of Deep Features
Abstract
Simple Summary
Abstract
1. Introduction
2. Materials and Methods
2.1. Bird Recordings
2.2. Preprocessing and Multi-View Representation
2.3. Deep Cascade Feature
2.4. Linear SVM
2.5. Offline Data Augmentation: Pitch Shifting
2.6. Online Data Augmentation: Mixup
3. Results
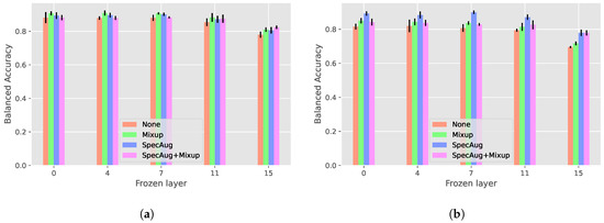
3.1. Comparison of Data Augmentation Methods
3.2. Comparison of Different Multi-View Representations
3.3. Deep Cascade Features Using Different Pre-Trained Models
3.4. Feature Fusion
4. Discussion
5. Conclusions
Supplementary Materials
Author Contributions
Funding
Institutional Review Board Statement
Informed Consent Statement
Data Availability Statement
Acknowledgments
Conflicts of Interest
References
- Zhang, J.; Huang, K.; Cottman-Fields, M.; Truskinger, A.; Roe, P.; Duan, S.; Dong, X.; Towsey, M.; Wimmer, J. Managing and analysing big audio data for environmental monitoring. In Proceedings of the 2013 IEEE 16th International Conference on Computational Science and Engineering, Sydney, Australia, 3–5 December 2013; pp. 997–1004. [Google Scholar]
- Gage, S.H.; Wimmer, J.; Tarrant, T.; Grace, P.R. Acoustic patterns at the Samford Ecological Research Facility in South East Queensland, Australia: The Peri-Urban SuperSite of the Terrestrial Ecosystem Research Network. Ecol. Inform. 2017, 38, 62–75. [Google Scholar] [CrossRef]
- Xie, J.; Hu, K.; Zhu, M.; Guo, Y. Bioacoustic signal classification in continuous recordings: Syllable-segmentation vs sliding-window. Expert Syst. Appl. 2020, 152, 113390. [Google Scholar] [CrossRef]
- Wang, H.; Xu, Y.; Yu, Y.; Lin, Y.; Ran, J. An Efficient Model for a Vast Number of Bird Species Identification Based on Acoustic Features. Animals 2022, 12, 2434. [Google Scholar] [CrossRef]
- Zhang, C.; Chen, Y.; Hao, Z.; Gao, X. An Efficient Time-Domain End-to-End Single-Channel Bird Sound Separation Network. Animals 2022, 12, 3117. [Google Scholar] [CrossRef]
- Dawson, D.K.; Efford, M.G. Bird population density estimated from acoustic signals. J. Appl. Ecol. 2009, 46, 1201–1209. [Google Scholar] [CrossRef]
- Pérez-Granados, C.; Traba, J. Estimating bird density using passive acoustic monitoring: A review of methods and suggestions for further research. Ibis 2021, 163, 765–783. [Google Scholar] [CrossRef]
- Stowell, D. Computational bioacoustics with deep learning: A review and roadmap. PeerJ 2022, 10, e13152. [Google Scholar] [CrossRef]
- Somervuo, P.; Harma, A.; Fagerlund, S. Parametric Representations of Bird Sounds for Automatic Species Recognition. IEEE Trans. Audio Speech Lang. Process. 2006, 14, 2252–2263. [Google Scholar] [CrossRef]
- Zhang, X.; Li, Y. Adaptive energy detection for bird sound detection in complex environments. Neurocomputing 2015, 155, 108–116. [Google Scholar] [CrossRef]
- Tuncer, T.; Akbal, E.; Dogan, S. Multileveled ternary pattern and iterative ReliefF based bird sound classification. Appl. Acoust. 2021, 176, 107866. [Google Scholar] [CrossRef]
- Zhang, X.; Chen, A.; Zhou, G.; Zhang, Z.; Huang, X.; Qiang, X. Spectrogram-frame linear network and continuous frame sequence for bird sound classification. Ecol. Inform. 2019, 54, 101009. [Google Scholar] [CrossRef]
- Xie, J.; Zhu, M. Handcrafted features and late fusion with deep learning for bird sound classification. Ecol. Inform. 2019, 52, 74–81. [Google Scholar] [CrossRef]
- Xie, J.; Hu, K.; Guo, Y.; Zhu, Q.; Yu, J. On loss functions and CNNs for improved bioacoustic signal classification. Ecol. Inform. 2021, 64, 101331. [Google Scholar] [CrossRef]
- Tan, C.; Sun, F.; Kong, T.; Yang, C.; Liu, C. A survey on deep transfer learning. In Proceedings of the Artificial Neural Networks and Machine Learning–ICANN 2018: 27th International Conference on Artificial Neural Networks, Rhodes, Greece, 4–7 October 2018; Springer: Berlin/Heidelberg, Germany, 2018; pp. 270–279. [Google Scholar]
- Sevilla, A.; Glotin, H. Audio bird classification with inception-v4 extended with time and time-frequency attention mechanisms. CLEF (Work. Notes) 2017, 1866, 1–8. [Google Scholar]
- Ntalampiras, S. Bird species identification via transfer learning from music genres. Ecol. Inform. 2018, 44, 76–81. [Google Scholar] [CrossRef]
- Zhong, M.; LeBien, J.; Campos-Cerqueira, M.; Dodhia, R.; Ferres, J.L.; Velev, J.P.; Aide, T.M. Multispecies bioacoustic classification using transfer learning of deep convolutional neural networks with pseudo-labeling. Appl. Acoust. 2020, 166, 107375. [Google Scholar] [CrossRef]
- Zhong, M.; Taylor, R.; Bates, N.; Christey, D.; Basnet, H.; Flippin, J.; Palkovitz, S.; Dodhia, R.; Ferres, J.L. Acoustic detection of regionally rare bird species through deep convolutional neural networks. Ecol. Inform. 2021, 64, 101333. [Google Scholar] [CrossRef]
- Kumar, Y.; Gupta, S.; Singh, W. A novel deep transfer learning models for recognition of birds sounds in different environment. Soft Comput. 2022, 26, 1003–1023. [Google Scholar] [CrossRef]
- Dufourq, E.; Batist, C.; Foquet, R.; Durbach, I. Passive acoustic monitoring of animal populations with transfer learning. Ecol. Inform. 2022, 70, 101688. [Google Scholar] [CrossRef]
- Xie, J.; Hu, K.; Zhu, M.; Yu, J.; Zhu, Q. Investigation of Different CNN-Based Models for Improved Bird Sound Classification. IEEE Access 2019, 7, 175353–175361. [Google Scholar] [CrossRef]
- Sinha, H.; Awasthi, V.; Ajmera, P.K. Audio classification using braided convolutional neural networks. IET Signal Process. 2020, 14, 448–454. [Google Scholar] [CrossRef]
- Ruff, Z.J.; Lesmeister, D.B.; Duchac, L.S.; Padmaraju, B.K.; Sullivan, C.M. Automated identification of avian vocalizations with deep convolutional neural networks. Remote. Sens. Ecol. Conserv. 2019, 6, 79–92. [Google Scholar] [CrossRef]
- Permana, S.D.H.; Saputra, G.; Arifitama, B.; Yaddarabullah; Caesarendra, W.; Rahim, R. Classification of bird sounds as an early warning method of forest fires using Convolutional Neural Network (CNN) algorithm. J. King Saud Univ.-Comput. Inf. Sci. 2022, 34, 4345–4357. [Google Scholar] [CrossRef]
- Salamon, J.; Bello, J.P.; Farnsworth, A.; Robbins, M.; Keen, S.; Klinck, H.; Kelling, S. Towards the Automatic Classification of Avian Flight Calls for Bioacoustic Monitoring. PLoS ONE 2016, 11, e0166866. [Google Scholar] [CrossRef]
- Thakur, A.; Thapar, D.; Rajan, P.; Nigam, A. Deep metric learning for bioacoustic classification: Overcoming training data scarcity using dynamic triplet loss. J. Acoust. Soc. Am. 2019, 146, 534–547. [Google Scholar] [CrossRef]
- Salamon, J.; Bello, J.P.; Farnsworth, A.; Kelling, S. Fusing shallow and deep learning for bioacoustic bird species classification. In Proceedings of the 2017 IEEE International Conference on Acoustics, Speech and Signal Processing (ICASSP), New Orleans, LA, USA, 5–9 March 2017; pp. 141–145. [Google Scholar] [CrossRef]
- Deng, J.; Socher, R.; Li, L.-J.; Li, K.; Fei-Fei, L. Imagenet: A large-scale hierarchical image database. In Proceedings of the IEEE Conference on Computer Vision and Pattern Recognition, Miami, FL, USA, 20–25 June 2009; pp. 248–255. [Google Scholar]
- Fan, R.-E.; Chang, K.-W.; Hsieh, C.-J.; Wang, X.-R.; Lin, C.-J. Liblinear: A library for large linear classification. J. Mach. Learn. Res. 2008, 9, 1871–1874. [Google Scholar]
- Schlüter, J.; Grill, T. Exploring data augmentation for improved singing voice detection with neural networks. In Proceedings of the 16th International Society for Music Information Retrieval Conference, Malaga, Spain, 26–30 October 2015; pp. 121–126. [Google Scholar]
- Terashima, R.; Yamamoto, R.; Song, E.; Shirahata, Y.; Yoon, H.-W.; Kim, J.-M.; Tachibana, K. Cross-Speaker Emotion Transfer for Low-Resource Text-to-Speech Using Non-Parallel Voice Conversion with Pitch-Shift Data Augmentation. arXiv 2022, arXiv:2204.10020. [Google Scholar]
- Zhang, H.; Cisse, M.; Dauphin, Y.N.; Lopez-Paz, D. mixup: Beyond empirical risk minimization. arXiv 2017, arXiv:1710.09412. [Google Scholar]
- Sharma, A.; Singh, K.; Koundal, D. A novel fusion based convolutional neural network approach for classification of COVID-19 from chest X-ray images. Biomed. Signal Process. Control. 2022, 77, 103778. [Google Scholar] [CrossRef]
- Van Eck, N.J.; Waltman, L. Software survey: VOSviewer, a computer program for bibliometric mapping. Scientometrics 2010, 84, 523–538. [Google Scholar] [CrossRef]
- Ji, X.; Jiang, K.; Xie, J. LBP-based bird sound classification using improved feature selection algorithm. Int. J. Speech Technol. 2021, 24, 1033–1045. [Google Scholar] [CrossRef]
- Afzal, S.; Maqsood, M.; Nazir, F.; Khan, U.; Aadil, F.; Awan, K.M.; Mehmood, I.; Song, O.-Y. A Data Augmentation-Based Framework to Handle Class Imbalance Problem for Alzheimer’s Stage Detection. IEEE Access 2019, 7, 115528–115539. [Google Scholar] [CrossRef]





| TL Model | Selected Layers for Generating Concatenated Deep Features | |||
|---|---|---|---|---|
| VGG16 | block2_conv2 | block3_conv3 | block4_conv3 | block5_conv3 |
| ResNet50 | conv2_block3_out | conv3_block4_out | conv4_block6_out | conv5_block3_out |
| MobileNetV2 | block_13_project_BN | block_14_add | block_15_add | global_average_pooling2d |
| EfficientNetB0 | block4c_add | block5c_add | block6d_add | avg_pool |
| Xception | block4_sepconv1 | block5_sepconv1 | block14_sepconv1 | — |
Disclaimer/Publisher’s Note: The statements, opinions and data contained in all publications are solely those of the individual author(s) and contributor(s) and not of MDPI and/or the editor(s). MDPI and/or the editor(s) disclaim responsibility for any injury to people or property resulting from any ideas, methods, instructions or products referred to in the content. |
© 2023 by the authors. Licensee MDPI, Basel, Switzerland. This article is an open access article distributed under the terms and conditions of the Creative Commons Attribution (CC BY) license (https://creativecommons.org/licenses/by/4.0/).
Share and Cite
Xie, J.; Zhu, M. Acoustic Classification of Bird Species Using an Early Fusion of Deep Features. Birds 2023, 4, 138-147. https://doi.org/10.3390/birds4010011
Xie J, Zhu M. Acoustic Classification of Bird Species Using an Early Fusion of Deep Features. Birds. 2023; 4(1):138-147. https://doi.org/10.3390/birds4010011
Chicago/Turabian StyleXie, Jie, and Mingying Zhu. 2023. "Acoustic Classification of Bird Species Using an Early Fusion of Deep Features" Birds 4, no. 1: 138-147. https://doi.org/10.3390/birds4010011
APA StyleXie, J., & Zhu, M. (2023). Acoustic Classification of Bird Species Using an Early Fusion of Deep Features. Birds, 4(1), 138-147. https://doi.org/10.3390/birds4010011

