Cathemeral Behavior of Piping Plovers (Charadrius melodus) Breeding along Michigan’s Lake Superior Shoreline
Abstract
Simple Summary
Abstract
1. Introduction
2. Materials and Methods
2.1. Study Species and Sites
2.2. Video Collection
2.3. Video Analysis
2.4. Data Analysis
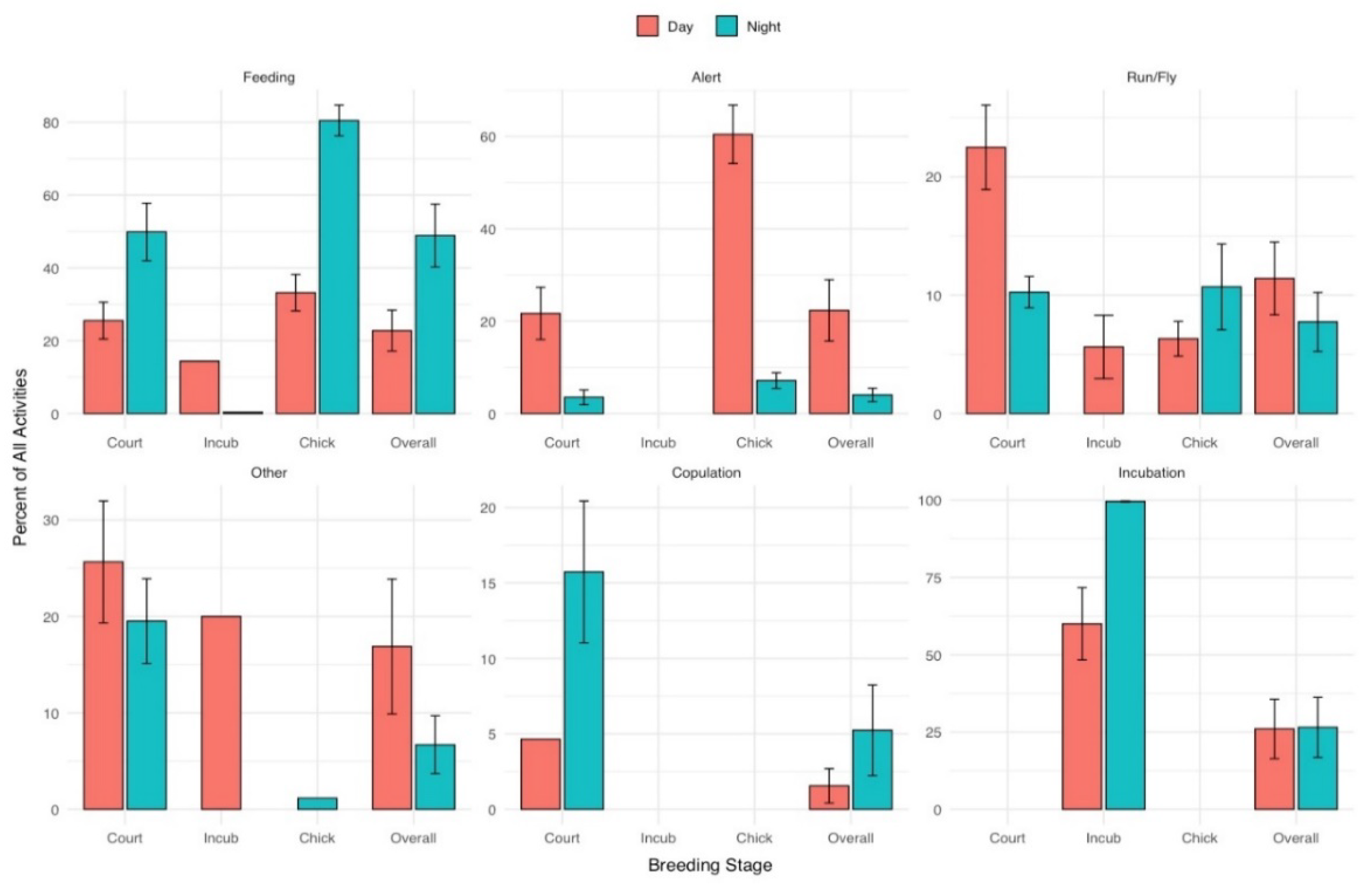
3. Results
4. Discussion
5. Conclusions
Author Contributions
Funding
Institutional Review Board Statement
Informed Consent Statement
Data Availability Statement
Acknowledgments
Conflicts of Interest
References
- Tattersall, I. The concept of cathemerality: History and definition. Folia Primatol. 2006, 77, 7–14. [Google Scholar] [CrossRef] [PubMed]
- Curtis, D.J.; Rasmussen, M.A. The evolution of cathemerality in Primates and other mammals: A comparative and chronoecological approach. Folia Primatol. 2006, 77, 178–193. [Google Scholar] [CrossRef] [PubMed]
- Razanaparany, P.T.; Sato, H. Abiotic Factors Affecting the Cathemeral Activity of Eulemur fulvus in the Dry Deciduous Forest of North-Western Madagascar. Folia Primatol. 2020, 91, 463–480. [Google Scholar] [CrossRef] [PubMed]
- Jacobs, R.L.; Veilleux, C.C.; Louis, E.E.; Herrera, J.P.; Hiramatsu, C.; Frankel, D.C.; Irwin, M.T.; Melin, A.D.; Bradley, B.J. Less is more: Lemurs (Eulemur spp.) may benefit from loss of trichromatic vision. Behav. Ecol. Sociobiol. 2019, 73, 22. [Google Scholar] [CrossRef]
- Grignolio, S.; Brivio, F.; Apollonio, M.; Frigato, E.; Tettamanti, F.; Filli, F.; Bertolucci, C. Is nocturnal activity compensatory in chamois? A study of activity in a cathemeral ungulate. Mamm. Biol. 2018, 93, 173–181. [Google Scholar] [CrossRef]
- Castro-Sa, M.J.; Dias-Silva, R.H.; Barnett, A.A. Cathemeral activity by brown-throated three-toed sloths (Bradypus variegatus) in central Amazonian flooded igapó forests. Can. J. Zool. 2021, 99, 832–838. [Google Scholar] [CrossRef]
- Merke, F.R.; Mosbech, A. Diurnal and nocturnal feeding strategies in Common Eiders. Waterbirds 2008, 31, 580–586. [Google Scholar]
- Robert, M.; McNeil, R.; Leduc, A. Conditions and significance of night feeding in shorebirds and other water birds in a tropical lagoon. Auk 1989, 106, 94–101. [Google Scholar] [CrossRef]
- Dodd, S.L.; Colwell, M.A. Environmental correlates of diurnal and nocturnal foraging patterns of nonbreeding shorebirds. Wilson Bull. 1998, 110, 182–189. [Google Scholar]
- Rojas, L.M.; McNeil, R.; Cabana, T.; Lachapelle, P. Diurnal and nocturnal visual capabilities in shorebirds as a function of their feeding strategies. Brain Behav. Evol. 1999, 53, 29–43. [Google Scholar] [CrossRef]
- Jourdan, C.; Fort, J.; Pinaud, D.; Delaporte, P.; Gernigon, J.; Lachaussée, N.; Bocher, P. Nycthemeral Movements of Wintering Shorebirds Reveal Important Differences in Habitat Uses of Feeding Areas and Roosts. Estuar. Coast. 2021, 44, 1454–1468. [Google Scholar] [CrossRef]
- Thomas, R.J.; Székely, T.; Powell, R.F.; Cuthill, I.C. Eye size, foraging methods and the timing of foraging in shorebirds. Funct. Ecol. 2006, 20, 157–165. [Google Scholar] [CrossRef]
- Dwyer, R.G.; Bearhop, S.; Campbell, H.A.; Bryant, D.M. Shedding light on light: Benefits of anthropogenic illumination to a nocturnally foraging shorebird. J. Anim. Ecol. 2013, 82, 478–485. [Google Scholar] [CrossRef] [PubMed]
- Hall, M.I.; Ross, C.F. Eye shape and activity pattern in birds. J. Zool. 2007, 271, 437–444. [Google Scholar] [CrossRef]
- U.S. Fish and Wildlife Service. Recovery Plan for the Great Lakes Piping Plover; Fort Snelling: St. Paul, MN, USA, 2003. [Google Scholar]
- Shubel, S.; (University of Minnesota Great Lakes Piping Plover Field Team, Pellston, MI, USA). Great Lakes Piping Plover Call Newsletter, 2021. Unpublished work. 2021. [Google Scholar]
- Saunders, S.P.; Arnold, T.W.; Roche, E.A.; Cuthbert, F.J. Age specific survival and recruitment of piping plovers Charadrius melodus in the Great Lakes region. J. Avian Biol. 2014, 45, 437–449. [Google Scholar] [CrossRef]
- Cohen, J.B.; Fraser, J.D. Piping Plover foraging distribution and prey abundance in the pre-laying period. Wilson J. Ornithol. 2010, 122, 578–582. [Google Scholar] [CrossRef]
- Saunders, S.P.; Cuthbert, F.J.; Zipkin, E.F. Evaluating population viability and efficiacy of conservation management using integrated population models. J. Appl. Ecol. 2017, 55, 1380–1392. [Google Scholar] [CrossRef]
- DeRose-Wilson, A.L.; Hunt, K.L.; Monk, J.D.; Catlin, D.H.; Karpantry, S.M.; Fraser, J.D. Piping Plover chick survival negatively correlated with beach recreation. J. Wildl. Manag. 2018, 82, 1608–1616. [Google Scholar] [CrossRef]
- Roche, E.A.; Arnold, T.W.; Cuthbert, F.J. Apparent nest abandonment as evidence of breeding-season mortality in Great Lakes Piping Plovers (Charadrius melodus). Auk 2010, 127, 402–410. [Google Scholar] [CrossRef]
- Cuthbert, F.J.; Scholtens, B.; Wemmer, L.C.; McLain, R. Gizzard contents of Piping Plover chicks in northern Michigan. Wilson Bull. 1999, 111, 121–123. [Google Scholar]
- Burger, J. Foraging behavior and the effect of human disturbance on the Piping Plover (Charadrius melodus). J. Coast. Res. 1991, 7, 39–52. [Google Scholar] [CrossRef]
- Haffner, C.D.; Cuthbert, F.J.; Arnold, T.W. Space use by Great Lakes Piping Plovers during the breeding season. J. Field Ornithol. 2009, 80, 270–279. [Google Scholar] [CrossRef]
- Flemming, S.P.; Chiasson, R.D.; Smith, P.C.; Austin-Smith, P.J.; Bancroft, R.P. Piping Plover Status in Nova Scotia Related to Its Reproductive and Behavioral Responses to Human Disturbance (Estatus de Charadrius melodus en Nueva Escocia, Relacionado a su reproducción y respuestas de conducta a la perturbación humana). J. Field Ornithol. 1988, 59, 321–330. [Google Scholar]
- Staine, K.J.; Burger, J. Nocturnal foraging behavior of breeding Piping Plovers (Charadrius melodus) in New Jersey. Auk 1994, 111, 579–587. [Google Scholar]
- Sherfy, M.H.; Anteau, M.J.; Shaffer, T.L.; Sovada, M.A.; Stucker, J.H. Foraging Ecology of Least Terns and Piping Plovers Nesting on Central Platte River Sandpits and Sandbars; Open File Report 2012-1059; U.S. Geological Survey: Reston VA, USA, 2012. [Google Scholar] [CrossRef]
- Garvon, J.M.; (Lake Superior State University. Sault Ste. Marie MI, USA). Unpublished annual reports of grant related activities. Unpublished work. 2020. [Google Scholar]
- Shubel, S.; (University of Minnesota Great Lakes Piping Plover Field Team, Pellston MI, USA). Great Lakes Piping Plover Call newsletter, 2018. Unpublished work. 2018. [Google Scholar]
- Altmann, J. Observational study of behavior: Sampling methods. Behavior 1974, 49, 227–267. [Google Scholar] [CrossRef] [PubMed]
- Koprowski, J.L.; Corse, M.C. Time budgets, activity periods, and behavior of Mexican Fox Squirrels. J. Mammal. 2005, 86, 947–952. [Google Scholar] [CrossRef][Green Version]
- Divine, G.; Norton, H.J.; Hunt, R.; Dienemann, J. A review of analysis and sample size calculation considerations for Wilcoxon Tests. Anesth. Analg. 2013, 117, 699–710. [Google Scholar] [CrossRef]
- Zimmerman, G.M.; Goetz, H.; Mielke, P.W., Jr. Use of an improved statistical method from group comparisons to study effects of prairie fire. Ecology 1985, 66, 606–611. [Google Scholar] [CrossRef]
- Elliott-Smith, E.; Haig, S.M. Piping Plover (Charadrius melodus), version 1.0. In Birds of the World; Poole, A.F., Ed.; Cornell Lab of Ornithology: Ithaca, NY, USA, 2020. [Google Scholar] [CrossRef]
- Houston, A.I.; McNamara, J.M.; Hutchinson, J.M.C. General results concerning the trade-off between gaining energy and avoiding predation. Phil. Trans. R. Soc. Lond. B 1993, 341, 375–397. [Google Scholar] [CrossRef]




| Behavior | Breeding Phase | Daytime (±SE) | Nightime (±SE) | Statistical Test | Test Statistic | df | p | n | Sig. P with Appropriate Correction |
|---|---|---|---|---|---|---|---|---|---|
| All | Combined | Chi-square | c 2 = 52.13 | 6 | < 0.001 | 66 | 0.05 | ||
| Feeding | Combined | 22.8% ± 5.6% | 48.9% ± 8.6% | Wilcoxon Rank Sum | W = 16 | 17 | 0.023 | 19 | 0.05 |
| Alert | Combined | 22.3% ± 6.6% | 4.0% ± 1.5% | Wilcoxon Rank Sum | W = 31 | 9 | 0.045 | 12 | 0.05 |
| Run/Fly | Combined | 11.4% ± 3.0% | 7.7% ± 2.5% | Wilcoxon Rank Sum | W = 45 | 2 | 0.169 | 4 | 0.05 |
| Other | Combined | 16.9% ± 7.0% | 6.7% ± 3.0% | Wilcoxon Rank Sum | W = 12 | 5 | 0.052 | 7 | 0.05 |
| Feeding | Courtship | 25.5% ± 5.1% | 62.4% ± 6.3% | Wilcoxon Rank Sum | W = 2 | 6 | 0.112 | 8 | 0.025 |
| Feeding | Chick | 33.2% ± 5.0% | 80.5% ± 4.2% | Wilcoxon Rank Sum | W = 0 | 7 | 0.027 | 9 | 0.025 |
| Alert | Courtship | 28.9% ± 5.8% | 8.8% ± 2.5% | Wilcoxon Rank Sum | W = 5 | 3 | 0.387 | 5 | 0.025 |
| Alert | Chick | 60.5% ± 6.3% | 10.7% ± 1.5% | Wilcoxon Rank Sum | W = 12 | 5 | 0.052 | 7 | 0.025 |
| Other | Courtship | 51.3% ± 0.5% | 32.5% ± 3.2% | Wilcoxon Rank Sum | W = 6 | 3 | 0.149 | 5 | 0.05 |
| Run/Fly | Courtship | 22.5% ± 3.6% | 10.3% ± 1.3% | Wilcoxon Rank Sum | W = 16 | 7 | 0.178 | 9 | 0.025 |
| Run/Fly | Chick | 9.5% ± 1.2% | 16.1% ± 4.1% | Wilcoxon Rank Sum | W = 5 | 4 | 0.817 | 6 | 0.025 |
| Incubation | Incubation | 60.0% ± 11.7% | 99.6% ± 0.15% | Wilcoxon Rank Sum | W = 7.5 | 5 | 0.564 | 7 | 0.05 |
| Feeding | Combined | 246.2 ± 105.5 sec | 480.4 ± 130.4 sec | Wilcoxon Rank Sum | W = 16 | 17 | 0.023 | 19 | 0.05 |
| Feeding | Courthsip | 183.7 ± 85.46 sec | 359.28 ± 133.67 sec | Wilcoxon Rank Sum | W = 6 | 7 | 0.391 | 9 | 0.025 |
| Feeding | Chick | 579.64 ± 71.10 sec | 239.11 ± 84.36 sec | Wilcoxon Rank Sum | W = 0 | 7 | 0.028 | 9 | 0.025 |
| Pecks | Combined | 174.8 ± 89.1 pecks | 187.8 ± 96.6 pecks | Wilcoxon Rank Sum | W = 62 | 21 | 0.877 | 23 | 0.05 |
| Pecks | Courtship | 100.97 ± 40.92 | 136.99 ± 56.38 | Wilcoxon Rank Sum | W = 9 | 7 | 0.903 | 9 | 0.025 |
| Pecks | Chick | 324.93 ± 82.97 | 289.43 ± 85.87 | Wilcoxon Rank Sum | W = 10 | 7 | 0.893 | 9 | 0.025 |
| Distance | Combined | 206.78 m ± 61.72 m | 30.37 m ± 4.29 m | Permutation Test | S = −3.21 | NA | 0.011 | 27 | 0.05 |
Publisher’s Note: MDPI stays neutral with regard to jurisdictional claims in published maps and institutional affiliations. |
© 2022 by the authors. Licensee MDPI, Basel, Switzerland. This article is an open access article distributed under the terms and conditions of the Creative Commons Attribution (CC BY) license (https://creativecommons.org/licenses/by/4.0/).
Share and Cite
Waterman, R.; Garvon, J. Cathemeral Behavior of Piping Plovers (Charadrius melodus) Breeding along Michigan’s Lake Superior Shoreline. Birds 2022, 3, 72-83. https://doi.org/10.3390/birds3010006
Waterman R, Garvon J. Cathemeral Behavior of Piping Plovers (Charadrius melodus) Breeding along Michigan’s Lake Superior Shoreline. Birds. 2022; 3(1):72-83. https://doi.org/10.3390/birds3010006
Chicago/Turabian StyleWaterman, Riley, and Jason Garvon. 2022. "Cathemeral Behavior of Piping Plovers (Charadrius melodus) Breeding along Michigan’s Lake Superior Shoreline" Birds 3, no. 1: 72-83. https://doi.org/10.3390/birds3010006
APA StyleWaterman, R., & Garvon, J. (2022). Cathemeral Behavior of Piping Plovers (Charadrius melodus) Breeding along Michigan’s Lake Superior Shoreline. Birds, 3(1), 72-83. https://doi.org/10.3390/birds3010006

