Next Article in Journal
Beyond the Glass: Can Aquarium Diving Foster Emotional Connections with Elasmobranchs and the Ocean and Inspire Environmental Care?
Previous Article in Journal
Hedgehogs in Contact with Humans: Zoonotic and Reverse Zoonotic Transmission of Pathogens
 
 
Font Type:
Arial Georgia Verdana
Font Size:
Aa Aa Aa
Line Spacing:
Column Width:
Background:
Article

From Hatch to Fledge: Growth and Development of Sihek (Todiramphus cinnamominus) Chicks at Brookfield Zoo Chicago

Brookfield Zoo Chicago, Brookfield, IL 60513, USA
*
Author to whom correspondence should be addressed.
J. Zool. Bot. Gard. 2025, 6(1), 16; https://doi.org/10.3390/jzbg6010016
Submission received: 10 December 2024 / Revised: 17 January 2025 / Accepted: 19 February 2025 / Published: 5 March 2025

Abstract

Until recently, the sihek (Guam kingfisher, Todiramphus cinnamominus) has persisted entirely in managed care since a breeding program was established in the 1980s. Understanding the growth and developmental milestones of the sihek from hatch to fledging is critical to enhancing conservation efforts and improving management practices that promote positive welfare. In this study, we summarized data collected on the growth patterns, developmental milestones, and rearing differences in sihek chicks raised at Brookfield Zoo Chicago from 1989 to 2023. We found that hand-reared chicks reached the fledging stage significantly earlier than parent-reared chicks that received supplemental feeding from staff. Additionally, we found that hatch weight was a significant predictor of survival to fledging, highlighting the importance of collecting weight data at all stages of life. These insights into sihek development in managed care provide important data for the development of welfare-focused management practices that improve the success of conservation efforts while also prioritizing the wellbeing of each individual chick.

1. Introduction

The sihek (Todiramphus cinnamominus) is a small species of kingfisher once endemic to the island of Guam. After the introduction of the brown tree snake (Boiga irregularis) to Guam in the 1940s, many native bird species faced extinction [1]. Sihek in particular were declared extinct in the wild and the remaining 29 individuals were brought into managed care in the 1980s; the current population descends from these birds [2]. The latest population count consists of 127 birds, housed between 24 AZA-accredited institutions and one breeding facility on Guam [3]. There is a need for increased breeding to prevent population decline and inbreeding depression [4]. In addition, research is needed on methods to improve chick survival.
To promote chick survival and ultimately population growth with the aim of supporting conservation efforts, it is vital to enhance our understanding of the factors that impact chick development. Very little is known about the growth and development of sihek chicks in their natural habitat. Therefore, we must rely on data collected in managed care. While a relatively small sample size, the Micronesian Kingfisher Husbandry Manual used data from 18 chicks housed in AZA-accredited institutions to create a growth curve and estimate developmental milestones [5]. Resources such as this manual, as well as increased communication among facilities, have resulted in conservation success stories. Conservation efforts for the sihek have reached an exciting new phase with the release of six adult birds on Palmyra Atoll in September 2024. This landmark pilot study aims to understand the species’ ability to recover in the wild and to establish breeding pairs on the island [6]. While this is promising news for the species, breeding in managed care facilities remains an integral part of the species’ recovery to not only maintain a sustainable breeding population in managed care but also raise individuals to support future release programs. Current breeding goals are ambitious to ensure sufficient population growth to meet these needs, and animal welfare needs must also be taken into consideration throughout the breeding plan, in addition to demographic goals [3]. Therefore, research taken from long-standing records of breeding in managed care is essential to sihek conservation efforts in situ as well as for safeguarding the welfare of birds in managed care. By understanding the normal patterns of development for this species, animal care staff can intervene when necessary, improving the health and welfare of individual chicks in the future.
Brookfield Zoo Chicago has participated in the sihek recovery program since its inception, currently holding the largest population at a single institution and keeping records of husbandry procedures and weights for nearly every chick hatched. All chicks were either hand-reared by animal care staff or parent-reared with supplemental feedings. In this study, we summarize these records and attempt to elucidate factors that may be helpful for improving the welfare and survival of future chicks hatched to support ongoing recovery efforts for the species.

2. Materials and Methods

2.1. Hand-Reared Protocol

Brookfield Zoo Chicago follows the Micronesian Kingfisher Husbandry Manual protocols for chick rearing, which are briefly summarized here (For more detail see [5]). Most hand-reared chicks were hatched using artificial incubation. Hand-rearing guidelines included placing the chick in a brooder with humidity set to approximately 50% and the temperature set to 98 °F (36.67 °C) for the first day after hatching. Each subsequent day the temperature was reduced by one degree F until the brooder temperature reaches room temperature and/or the chick was showing signs of fledging and was large enough to leave the brooder. Chicks were placed in nest bowls within the brooder. If clutch mates were brooding simultaneously, each chick had their own bowl to prevent aggression. Rubber mats were added to nest bowls to provide traction after day eight. Diets were fed using tongs and consisted mostly of pinkie mice cut into small chunks, molted mealworms, waxworms, and cricket abdomens, with a vitamin supplement added to one feed per day. Chopped anoles were also included in the diet starting May 2018. Table 1 lists the typical feeding schedules and amounts fed as the chick aged. A chick was determined to have fledged based both on the weight of the chick (between 55 and 70 g) and on chick behavior (perching and attempting to fly). When the chick fledged, it was removed from the brooder and placed in a small fledging enclosure with low perches to continue developing perching and flight muscles before being transferred to a full-size enclosure.

2.2. Parent-Reared Protocol

Since the start of the breeding program at Brookfield Zoo Chicago, sihek pairs were given the opportunity to incubate eggs and raise their chicks whenever possible. However, while parents were usually attentive at incubating and brooding the chicks, they did not always feed them. This pattern has been observed in pairs at other facilities, which the authors suggested was possibly due to the parents’ failure to switch roles from brooding to actively caring for and providing food to the chick [7]. As a result, we developed a protocol to assist parents through supplemental feeding by animal care staff. Parents were provided with appropriate food items for chicks (the same as hand-reared chicks, plus the addition of chopped anoles when available) in addition to their normal daily diet. After hatch, staff would weigh the chick in the morning, assess their condition, and determine if there was weight gain from day to day in addition to monitoring the amount of food left over from the day before. If needed, staff provided anywhere from two to five supplemental hand-feeds daily depending on chick condition, including one feed with a vitamin supplement. All parent-reared chicks in this dataset were supplemented with hand-feeding at some point during the parent-rearing process. If parents were successfully feeding and the chick continued to put on weight, supplemental feeds were discontinued, and weights were recorded one to three times weekly for monitoring until fledging. The chick was determined to have fledged the first day they were found to have completely left the nest box.

2.3. Data Collection

Chicks were either hand-raised by staff or parent-reared with supplemental feeding from staff. Staff utilized either paper or digital data logs via a spreadsheet to record relevant information. Depending on the protocol used, staff recorded the date, chick age, chick weight, and brooder temperature (if applicable). All chicks were weighed before the first feed in the AM and weight was recorded to the nearest 0.01 g. From these logs, we created a dataset of daily weights from days 1 to 40 for each chick and for each day that data were available. Not all chicks had records of weights for every day. The chick data log contained a space for observations regarding the chick’s health, developmental stage, and activity. Animal care staff were encouraged to note changes in developmental milestones when possible, but this was not consistent across all chicks. For our dataset, we recorded the first mention of 11 milestones whenever available (Table 2). Therefore, only a subset of the population was incorporated into the final developmental dataset. From the daily logs, we extracted chick identification numbers, sex, rearing condition, date of hatch, the weight at hatch, daily weights when available, the weight at fledge, a binary variable indicating whether the chick survived to fledging, and the day the chick fledged (if applicable).

2.4. Statistical Analysis

We calculated the average day of the first record of occurrence for each developmental milestone and its standard deviation. Overall growth curves were created by calculating the mean weights for each day between hatch and 40 days using data from chicks that survived to fledging. Not all chicks had weight data available for each day. Confidence intervals of two SDs from the mean were generated for each day. To determine if there was a difference in the fledge age, a difference in fledge weight, and if there was a difference in hatch weights between sex and rearing protocols, we performed Welch two-sample t-tests. We created a logistic regression model to analyze the relationship between weight at hatch and survival to fledging. All statistical analysis was performed in R version 4.3.2 [8].

3. Results

From 1989 to 2023, 92 chicks were successfully hatched from 18 mating pairs. Approximately two-thirds (62) were hand-reared, and 28 were parent-reared. Two chicks’ rearing status was unknown. Overall, 30 chicks were female, 35 chicks were male, and 27 chicks did not have their sex determined. Two-thirds (66.30%; n = 61) of chicks survived to fledging. Of those that fledged, 28 were female, 32 were male, and one chick’s sex was undetermined. Forty-two of the fledged chicks were hand-reared, and 19 were parent-reared. On average, hand-reared chicks fledged significantly earlier than parent-reared chicks (hand-reared = 28.03 days, SD = 4.23; parent-reared = 31.78 days, SD = 2.58; t = −3.81, df = 47.95, p < 0.001; Figure 1). However, the average chick weight at fledge was not significantly different between rearing types (hand-reared = 58.98 g, SD = 5.77; parent-reared = 60.82 g, SD = 6.43; t = −0.80, df = 14.34, p = 0.44). Overall, the growth curves between rearing types were similar (Figure 1). The typical growth curve generated using the mean daily weights of chicks that fledged represent the normal range of daily weight values. Our data suggest that chicks tend to grow until they reach a peak weight of approximately 63 g shortly before fledging, and then lose weight during the fledging period before stabilizing at approximately 55 g around day 40 (Figure 2). While there were individual differences in development, typically darkening of the bill and feather tract formation were the first milestones recorded within the first six days, and behavioral milestones such as perching and flight attempts were the last to be recorded around 30 days after hatching. The mean recorded observations of developmental milestones are listed in Table 2 and boxplots summarizing the data can be seen in Figure 3, both of which represent the typical pattern of development for the chicks in this study.
Weight at hatch was not significantly different between hand-reared (n = 62, mean = 5.20 g, SD = 0.71) and parent-reared chicks (n = 28, mean = 5.07 g, SD = 0.64; t = 0.45, df = 39.87, p = 0.66). Mean weight at hatch was not significantly different between female (n = 30, mean = 5.41 g, SD = 0.73) and male chicks (n = 35, mean = 5.21 g, SD = 0.64; t = 1.02, df = 48.19, p = 0.31). Logistic regression was used to analyze the relationship between weight at hatch and the probability of a chick surviving to fledging. There was a significant positive relationship between weight at hatch and chances of survival to fledging (B = 1.07, SE = 0.41, Z = 2.59, p = 0.01, 95% CI = [0.30, 1.94]). The model yielded an odds ratio of 2.91. (Figure 4). For every 1 g increase in chick weight at hatch, there was a 191% increase in the odds of that chick successfully fledging. The 1 g difference that correlates with an increase in survival is 20% of the bodyweight. The average weight of successfully fledging chicks at hatch was 5.3 g (SD = 0.69) and the average weight of unsuccessfully fledging chicks at hatch was 4.8 g (SD = 0.56).

4. Discussion

This paper is the first long-term study focusing on the growth and development of sihek chicks from hatch to fledging. While the Micronesian Kingfisher Husbandry Manual provided a graph with a growth curve and guidelines for typical chick development, those values relied on a much smaller sample size (n = 18) [5]. The goal of this study was to use a dataset of over 90 birds to confirm these values and provide up-to-date estimations of the normal patterns of chick growth and development to promote chick welfare and aid future breeding efforts for this species.
Weight at hatch was similar between the sexes and between rearing protocols. Males and females seem to be similar morphologically at hatch, and this has been seen in other bird families such as shorebirds [9,10]. Since weight at hatch was similar between rearing protocols, the varying incubation conditions (either artificial or by parents) likely did not influence hatch weight. Hatch weight was positively associated with the probability of a chick surviving to fledging, however. Therefore, chicks weighing less than 4.5 g at hatch should be monitored to provide additional care if needed to help improve chances of survival.
The age of fledge was significantly earlier for hand-reared chicks than parent-reared chicks. Research has shown that some environmental variables can affect how early chicks fledge, such as stressors including predation risk or increased nest mortality in songbirds [11]. Additionally, there are correlations between morphological factors such as wing development and body mass with time of fledge (e.g., petrels) [12]. Sihek may fledge at different ages depending on similar factors, but currently there is little research on this topic. Future research should focus on any possible factors that differ between hand-rearing and parent-rearing protocols that might affect chick development, such as the ambient temperature. Research on individuals in managed care and on closely related wild Pohnpei kingfishers (Todiramphus reichenbachii) found that wild habitats were warmer than those in managed care, and that facilities with warmer habitats were more likely to have successful breeding, suggesting that increased stress in cooler environments may impact breeding [13]. Since most hand-reared chicks were artificially incubated as eggs and most parent-reared birds were incubated in nests as eggs, the difference may arise prior to hatching. It is possible that chicks are also sensitive to cooler temperatures and therefore parent-reared birds in nests may have been exposed to cooler temperatures than hand-reared birds in incubators and contributed to a later fledge date on average.
While environmental factors may contribute to the difference in fledge age between hand- and parent- reared chicks, it is also possible that the discrepancy is due to the differences in the definition of fledge between hand- and parent- reared birds. For hand-reared birds, each day animal care staff observed the chick’s feather condition and other developmental milestones, as well as monitored activity levels (especially attempts to perch and/or fly). When the chick was fully feathered, perching actively, and attempting to fly, staff pulled the chick from the incubator and introduced them to a small enclosure. The day this transition occurred was listed as the chick’s fledge date. On the other hand, parent-reared chicks were determined to have fledged the first morning that they were found outside of the nest box. These chicks may have developmentally been ready to fledge earlier but did not leave the nest if there was no pressure from the dam or sire to leave the nest. Therefore, the parent-reared chicks may have fledged later but could have been termed “fledged” under the hand-reared criteria earlier. For future research we recommend standardizing the definition of fledging between rearing types to better understand whether differences truly exist between fledge age for hand- and parent-reared chicks.
The developmental milestones were similar to those in previous work [5]. Developmental changes in external morphological features such as feather growth have been used to accurately estimate the age of wild chicks of passerine birds [14]. Because there is no information about the sequence and timing of developmental milestones in wild individuals for this species, this information can assist conservation efforts. Our results can serve as helpful estimates for future chicks as ranges of normal developmental markers and can serve as a tool to estimate the age of chicks hatched at future release sites when day-to-day management is no longer possible. However, because milestones were recorded as notes whenever animal care staff noticed a change, there was no standardized method of data collection. Other studies have found success taking daily photographs to record feather development based on three phases [14]. In the future, we aim to develop a standardized protocol when collecting data to narrow our confidence intervals and gain a more accurate picture of the normal sequence of developmental milestones for this species. Careful monitoring of chick milestones can improve individual welfare and survival by alerting animal care staff to potential developmental delays, ensuring that chicks at the highest risk of mortality have the necessary care to increase their odds of survival to fledging.
In the case of our study, population goals and welfare goals may reach a common ground. The welfare states experienced by an individual animal can vary based on life stage, and the welfare experienced by the youngest age classes can have implications for the individual’s lifetime in addition to impacting the population as a whole [15]. Interventions to improve chick welfare can impact the overall welfare of the population in managed care, as well as improve conservation success. In a study investigating the relationship between causes of mortality in sihek by sex and age class, a variation in survival of juveniles was found to be an important driver of the sihek population growth rate [16]. Our study provides more detailed information about normal patterns of growth and development for sihek chicks from hatch to fledging. With this information in hand, future chicks hatched in AZA institutions and on Palmyra Atoll can be monitored and those that deviate from the norm can be provided with extra support to improve their individual welfare and their chance of survival to fledging.

Author Contributions

Conceptualization, C.H., T.S., S.K.C. and L.J.M.; methodology, M.R. and L.J.M.; formal analysis, M.R. and L.J.M.; data curation, M.R.; writing—original draft preparation, M.R.; writing—review and editing, M.R., C.H., T.S., S.K.C. and L.J.M.; funding acquisition, C.H. All authors have read and agreed to the published version of the manuscript.

Funding

This research was funded by a grant from the Johnson Foundation.

Institutional Review Board Statement

The data collection process for this study did not require any changes to be made to animal care and husbandry and was part of a routine monitoring protocol as part of management best practices. Institutional Animal Care and Use Committee (IACUC) approval was not necessary.

Data Availability Statement

The data presented in this study are available on request from the corresponding author.

Acknowledgments

We would like to thank the Brookfield Zoo Chicago Bird department animal care staff through the years that assisted in the care of this species and collected the data for this project. We also thank Maureen Cleary and interns Bellastarr Jakresky, Kellis Montgomery, and Katie Minasola for their help with data transcription and database creation.

Conflicts of Interest

The authors declare no conflicts of interest. The funders had no role in the design of the study; in the collection, analyses, or interpretation of data; in the writing of the manuscript; or in the decision to publish the results.

References

  1. Savidge, J.A. Extinction of an island forest avifauna by an introduced snake. Ecology 1987, 68, 660–668. [Google Scholar] [CrossRef]
  2. Haig, S.M.; Ballou, J.D.; Casna, N.J. Genetic identification of kin in Micronesian kingfishers. J. Hered. 1995, 86, 423–431. [Google Scholar] [CrossRef]
  3. Newland, S.; Ferrie, G. Guam Kingfisher (Sihek; Todiramphus cinnamominus). AZA Species Survival Plan® Yellow Program Population Analysis & Breeding and Transfer Plan; AZA Population Management Center: Chicago, IL, USA, 2023. [Google Scholar]
  4. Trask, A.; Ferrie, G.; Wang, J.; Newland, S.; Canessa, S.; Moehrenschlager, A.; Laut, M.; Duenas, L.B.; Ewen, J. Multiple life-stage inbreeding depression impacts demography and extinction risk in an extinct-in-the-wild species. Sci. Rep. 2021, 11, 682. [Google Scholar] [CrossRef] [PubMed]
  5. Bahner, B.; Baltz, A.; Diebold, E. Micronesian Kingfisher Species Survival Plan Husbandry Manual: Halcyon cinnamomina cinnamomina; Zoological Society of Philadelphia: Philadelphia, PA, USA, 1998. [Google Scholar]
  6. Endangered and Threatened Wildlife and Plants; Establishment of a Nonessential Experimental Population of the Guam Kingfisher, or Sihek, on Palmyra Atoll, USA 2023. 50 CFR Part 17. (4 April 2023). Available online: https://www.federalregister.gov/documents/2023/04/04/2023-06958/endangered-and-threatened-wildlife-and-plants-establishment-of-a-nonessential-experimental (accessed on 9 December 2024).
  7. Elston, J.; Sky, C.; Quinones, G.; Carney, J.; Plassé, C.; Bettinger, T. Parental behavior by two pairs of Guam kingfishers Halcyon cinnamomina cinnamomina. Avic. Mag. 2008, 114, 15–23. [Google Scholar]
  8. R Core Team. R: A Language and Environment for Statistical Computing; R Foundation for Statistical Computing: Vienna, Austria, 2021; Available online: https://www.R-project.org/ (accessed on 9 December 2024).
  9. Loonstra, A.J.; Verhoeven, M.A.; Piersma, T. Sex-specific growth in chicks of the sexually dimorphic black-tailed godwit. Ibis 2018, 160, 89–100. [Google Scholar] [CrossRef]
  10. Reed, J.M.; Gray, E.M.; Lewis, D.; Oring, L.W.; Coleman, R.; Burr, T.; Luscomb, P. Growth patterns of Hawaiian stilt chicks. Wilson Bull. 1999, 111, 478–487. [Google Scholar]
  11. Roff, D.A.; Remeš, V.; Martin, T.E. The evolution of fledging age in songbirds. J. Evol. Biol. 2005, 18, 1425–1433. [Google Scholar] [CrossRef] [PubMed]
  12. Mauck, R.; Ricklefs, R. Control of fledging age in Leach’s Storm-Petrel, Oceanodroma leucorhoa: Chick development and prefledging mass loss. Funct. Ecol. 2005, 19, 73–80. [Google Scholar] [CrossRef]
  13. Kesler, D.C.; Haig, S.M. Thermal characteristics of wild and captive Micronesian kingfisher nesting habitats. Zoo Biol. 2004, 23, 301–308. [Google Scholar] [CrossRef]
  14. Portelli, D. Nestling and post-fledging growth and development in an Australian passerine: Hall’s Babbler Pomatostomus halli. Corella 2016, 40, 81–90. [Google Scholar]
  15. Hecht, L. The importance of considering age when quantifying wild animals’ welfare. Biol. Rev. 2021, 96, 2602–2616. [Google Scholar] [CrossRef] [PubMed]
  16. Trask, A.E.; Carraro, C.; Kock, R.; McCrea, R.; Newland, S.; Royer, E.; Medina, S.; Fontenot, D.; Ewen, J.G. Balancing conservation and welfare in ex situ management of the extinct-in-the-wild sihek: Sex- and age-specific causes of mortality and contributions to population growth rate. Anim. Conserv. 2024, 27, 171–183. [Google Scholar] [CrossRef]
Figure 1. A plot of the average daily weights for hand-reared and parent-reared chicks. Error bars represent the standard error of the mean (SEM). The light blue box represents the range of fledge days. The vertical black line represents the overall average day of fledge, the vertical red line represents the average day of fledge for hand-reared chicks, and the vertical blue line represents the average day of fledge for parent-reared chicks.
Figure 1. A plot of the average daily weights for hand-reared and parent-reared chicks. Error bars represent the standard error of the mean (SEM). The light blue box represents the range of fledge days. The vertical black line represents the overall average day of fledge, the vertical red line represents the average day of fledge for hand-reared chicks, and the vertical blue line represents the average day of fledge for parent-reared chicks.
Jzbg 06 00016 g001
Figure 2. A plot of the average daily weight for chicks that survived to fledging (n = 58). Error bars represent 2 SDs from the mean.
Figure 2. A plot of the average daily weight for chicks that survived to fledging (n = 58). Error bars represent 2 SDs from the mean.
Jzbg 06 00016 g002
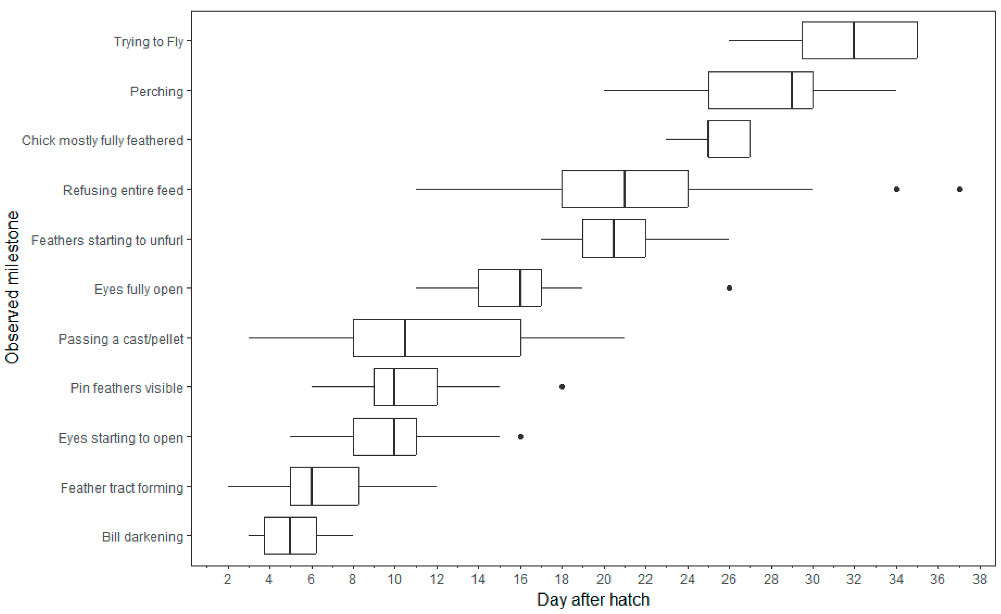
Figure 3. Boxplots representing distributions of the first recorded day of occurrence for 11 developmental milestones. The boxes represent the first and third quartiles, and the vertical line represents the median.
Figure 3. Boxplots representing distributions of the first recorded day of occurrence for 11 developmental milestones. The boxes represent the first and third quartiles, and the vertical line represents the median.
Jzbg 06 00016 g003
Figure 4. Boxplot of chick weight at hatch by fledge success. Boxes represent first and third quartiles, and vertical line represents median.
Figure 4. Boxplot of chick weight at hatch by fledge success. Boxes represent first and third quartiles, and vertical line represents median.
Jzbg 06 00016 g004
Table 1. Typical feeding schedule for hand-raised sihek chicks at Brookfield Zoo Chicago.
Table 1. Typical feeding schedule for hand-raised sihek chicks at Brookfield Zoo Chicago.
Age in Days# of FeedingsConsumptionTemp (F)
0 to 773–13 g98–92
8 to 18614–29 g91–86
19 to 26524–19 g85-room temp
27 to 34420–29 groom temp
Table 2. A list of the mean day of occurrence and standard deviation of developmental milestones recorded throughout the study period. Not every milestone was recorded for every chick.
Table 2. A list of the mean day of occurrence and standard deviation of developmental milestones recorded throughout the study period. Not every milestone was recorded for every chick.
First Mention (Days) of…nMeanSD
Bill darkening125.251.82
Feather tract forming366.532.35
Eyes starting to open439.952.45
Pin feathers visible3310.362.76
Passing a cast/pellet3011.774.87
Eyes fully open2515.642.94
Feathers starting to unfurl2420.672.30
Refusing entire feed3521.745.73
Chick mostly fully feathered1325.461.33
Perching2227.363.86
Trying to fly1131.913.24
Disclaimer/Publisher’s Note: The statements, opinions and data contained in all publications are solely those of the individual author(s) and contributor(s) and not of MDPI and/or the editor(s). MDPI and/or the editor(s) disclaim responsibility for any injury to people or property resulting from any ideas, methods, instructions or products referred to in the content.

Share and Cite

MDPI and ACS Style

Ramont, M.; Hickman, C.; Snyder, T.; Chinnadurai, S.K.; Miller, L.J. From Hatch to Fledge: Growth and Development of Sihek (Todiramphus cinnamominus) Chicks at Brookfield Zoo Chicago. J. Zool. Bot. Gard. 2025, 6, 16. https://doi.org/10.3390/jzbg6010016

AMA Style

Ramont M, Hickman C, Snyder T, Chinnadurai SK, Miller LJ. From Hatch to Fledge: Growth and Development of Sihek (Todiramphus cinnamominus) Chicks at Brookfield Zoo Chicago. Journal of Zoological and Botanical Gardens. 2025; 6(1):16. https://doi.org/10.3390/jzbg6010016

Chicago/Turabian Style

Ramont, Margaret, Cody Hickman, Tim Snyder, Sathya K. Chinnadurai, and Lance J. Miller. 2025. "From Hatch to Fledge: Growth and Development of Sihek (Todiramphus cinnamominus) Chicks at Brookfield Zoo Chicago" Journal of Zoological and Botanical Gardens 6, no. 1: 16. https://doi.org/10.3390/jzbg6010016

APA Style

Ramont, M., Hickman, C., Snyder, T., Chinnadurai, S. K., & Miller, L. J. (2025). From Hatch to Fledge: Growth and Development of Sihek (Todiramphus cinnamominus) Chicks at Brookfield Zoo Chicago. Journal of Zoological and Botanical Gardens, 6(1), 16. https://doi.org/10.3390/jzbg6010016

Article Metrics

Back to TopTop