Does the Absence of Zoo Visitors during the COVID-19 Pandemic Impact Gorilla Behavior?
Abstract
:1. Introduction
2. Materials and Methods
2.1. Study Site and Subjects
2.2. Procedures
2.3. Statistical Analysis
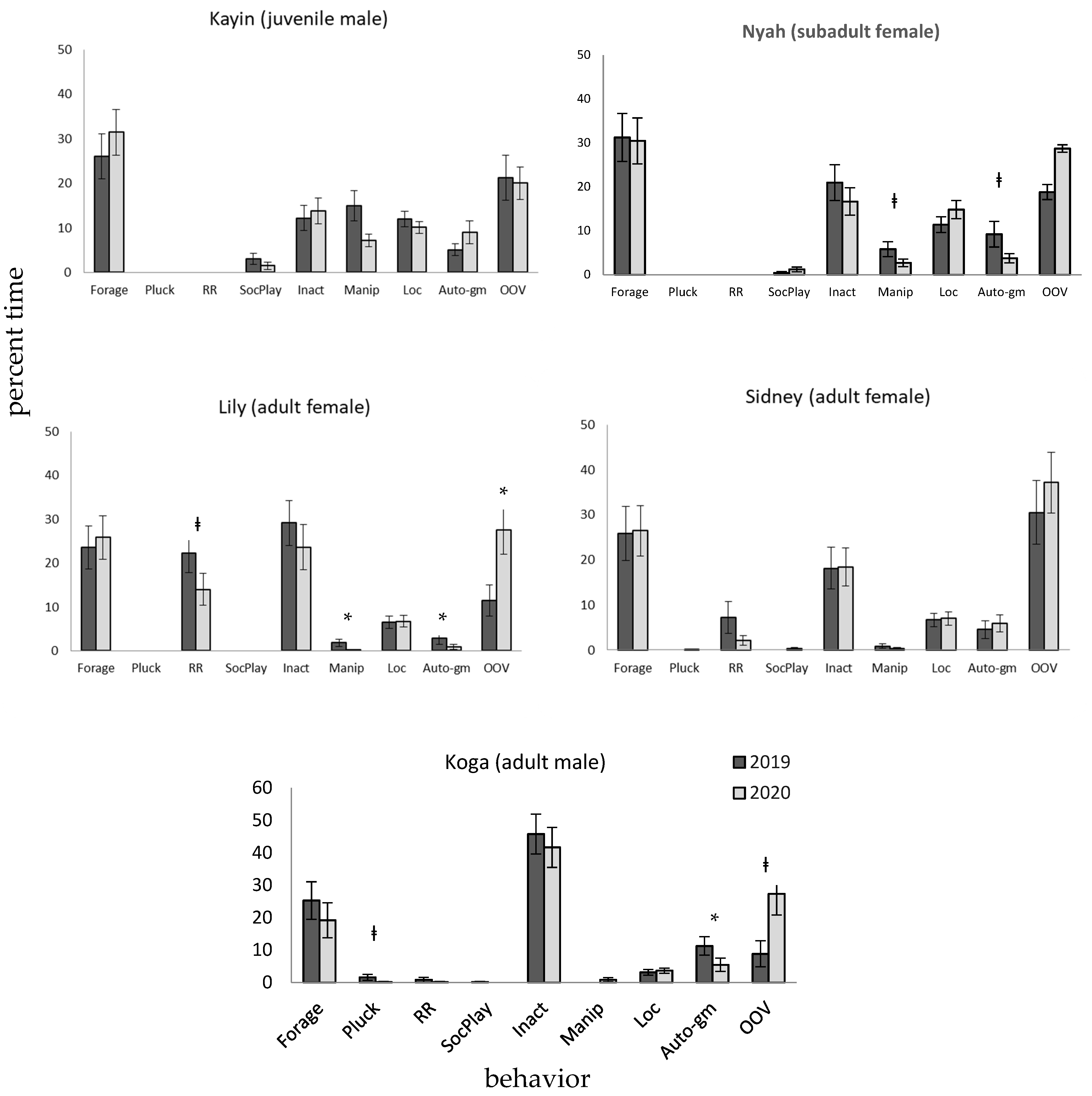
3. Results
4. Discussion
5. Conclusions
Author Contributions
Funding
Institutional Review Board Statement
Data Availability Statement
Acknowledgments
Conflicts of Interest
References
- Williams, E.; Carter, A.; Rendle, J.; Ward, S.J. Understanding impacts of zoo visitors: Quantifying behavioral changes of two popular zoo species during COVID-19 closures. Appl. Anim. Behav. Sci. 2021, 236, 105253. [Google Scholar] [CrossRef]
- Hosey, G. A preliminary model of human-animal relationships in the zoo. Appl. Anim. Behav. Sci. 2008, 109, 105–127. [Google Scholar] [CrossRef] [Green Version]
- Hosey, G.; Melfi, V. Human-animal bonds between zoo professionals and the animals in their care. Zoo Biol. 2012, 31, 13–26. [Google Scholar] [CrossRef] [PubMed]
- Hosey, G.; Melfi, V. Are we ignoring neutral and negative human-animal relationships in zoos? Zoo Biol. 2015, 34, 1–8. [Google Scholar] [CrossRef] [PubMed]
- Carlestead, K. A comparative approach to the study of keeper-animal relationships in the zoo. Zoo Biol. 2009, 28, 589–608. [Google Scholar] [CrossRef]
- Wells, D. A note on the influence of visitors on the behavior and welfare of zoo-housed gorillas. Appl. Anim. Behav. Sci. 2005, 93, 13–17. [Google Scholar] [CrossRef]
- Davis, N.; Schaffner, C.M.; Smith, T. Evidence that zoo visitors influence HPA activity in spider monkeys (Ateles geoffroyii rufiventris). Appl. Anim. Behav. Sci. 2005, 90, 131–141. [Google Scholar] [CrossRef]
- Lewis, R.N.; Chang, Y.-M.; Ferguson, A.; Lee, T.; Clifforde, L.; Abeyesinghe, S.M. The effect of visitors on the behavior of zoo-housed western lowland gorillas (Gorilla gorilla gorilla). Zoo Biol. 2020, 39, 283–296. [Google Scholar] [CrossRef]
- Yager, G.O.; Wahab, M.K.A.; Alarape, A.A.; Attah, L.O. Effect of tourist participation on the behavioral pattern of captive chimpanzees (Pan troglodytes ellioti (Matschie, 1914) in Makurdi Zoological Garden, Nigeria. World News Nat. Sci. 2022, 41, 74–84. [Google Scholar]
- Stoinski, T.S.; Jaicks, H.F.; Drayton, L.A. Visitor Effects on the Behavior of Captive Western Lowland Gorillas: The Importance of Individual Differences in Examining Welfare. Zoo Biol. 2011, 31, 586–599. [Google Scholar] [CrossRef]
- Kuhar, C.W. Group differences in captive gorillas’ reaction to large crowds. Appl. Anim. Behav. Sci. 2008, 110, 377–385. [Google Scholar] [CrossRef]
- Hashmi, A.; Sullivan, M. The visitor effect in zoo-housed apes: The variable effect on behavior of visitor number and noise. J. Zoo Aquar. Res. 2020, 8, 268–282. [Google Scholar]
- Ross, S.R.; Wagner, K.E.; Schapiro, S.J.; Hau, J. Ape behavior in two alternating environments: Comparing exhibit and short-term holding areas. Am. J. Primatol. 2010, 72, 951–959. [Google Scholar] [CrossRef] [PubMed]
- Bonnie, K.E.; Ang, M.Y.L.; Ross, S.R. Effects of crowd size on exhibit use by and behavior of chimpanzees (Pan troglodytes) and Western lowland gorillas (Gorilla gorilla) at a zoo. Appl. Anim. Behav. Sci. 2016, 178, 102–110. [Google Scholar] [CrossRef]
- Riley, A.; Terry, M.; Freeman, H.; Alba, A.C.; Soltis, J.; Leeds, A. Evaluating the effect of visitor presence on Nile crocodile (Crocodylus niloticus) Behavior. J. Zool. Bot. Gard. 2021, 2, 115–129. [Google Scholar] [CrossRef]
- Jones, M.; Gartland, K.N.; Fuller, G. Effects of visitor presence and crowd size on zoo-housed red kangaroos (Macropus rufus) during and after a COVID-19 closure. Anim. Behav. Cogn. 2021, 8, 521–537. [Google Scholar] [CrossRef]
- Williams, E.; Carter, A.; Rendel, J.; Ward, S.J. Impacts of COVID-19 on Animals in Zoos: A Longitudinal Multi-Species Analysis. J. Zoöl. Bot. Gard. 2021, 2, 130–145. [Google Scholar] [CrossRef]
- Hukisson, S.M.; Doelling, C.R.; Ross, S.R.; Hopper, L.M. Assessing the potential impact of zoo visitors on the welfare and cognitive performance of Japanese macaques. Appl. Anim. Behav. Sci. 2021, 243, 105453. [Google Scholar] [CrossRef]
- Watters, J.V.; Margulis, S.W.; Atsalis, S. Behavioral monitoring in zoos and aquariums: A tool for guiding husbandry and directing research. Zoo Biol. 2009, 28, 35–48. [Google Scholar] [CrossRef]
- Miller, M.E.; Robinson, C.M.; Margulis, S.W. Behavioral Implications of the Complete Absence of Guests on a Zoo-Housed Gorilla Troop. Animals 2021, 11, 1346. [Google Scholar] [CrossRef]
- Altmann, J. Observational study of behavior: Sampling methods. Behaviour 1974, 49, 227–266. [Google Scholar] [CrossRef] [PubMed] [Green Version]
- R Core Team. R: A language and environment for statistical computing. In R Foundation for Statistical Computing; R Core Team: Vienna, Austria, 2021; Available online: www.R-project.org/ (accessed on 20 June 2022).
- Maestripieri, D.; Schino, G.; Aureli, F.; Troisi, A. A modest proposal: Displacement activities as an indicator of emotions in primates. Anim. Behav. 1992, 44, 967–979. [Google Scholar] [CrossRef]
- O’Malley, M.; Woods, J.M.; Byrant, J.; Miller, L.J. How is western lowland gorilla (Gorilla, gorilla, gorilla) behavior and physiology impacted by 360° visitor viewing access. Anim. Behav. Cogn. 2021, 8, 468–480. [Google Scholar] [CrossRef]
- Hill, S.P. ‘Regurgitation and reingestion’ (R/R) in great apes: A review of current knowledge. Int. Zoo Yearb. 2018, 52, 62–78. [Google Scholar] [CrossRef]
- Lukas, K.E. A review of the nutritional and motivational factors contributing to the performance of regurgitation and reingestion in captive lowland gorillas (Gorilla gorilla gorilla). Appl. Anim. Behav. Sci. 1999, 63, 237–249. [Google Scholar] [CrossRef]
- Margulis, S.W.; Hoyos, C.; Anderson, M. The effectof felid activity on zoo visitor interest. Zoo Biol. 2003, 22, 587–599. [Google Scholar] [CrossRef]
- Sherwen, S.L.; Hemsworth, P.H. The visitor effect on zoo animals: Implications and opportunities for zoo animal welfare. Animals 2019, 9, 366. [Google Scholar] [CrossRef] [Green Version]
- Roy, E.A. Animal Tragic: New Zealand Zoos Strive to Entertain Lonely Inhabitants Amid Lockdown. The Guardian 2020. Available online: www.theguardian.com/world/2020/apr/02/new-zealand-zoos-strive-to-entertain-lonely-inhabitants-amid-lockdown (accessed on 11 May 2022).
- Sexton-McGrath, K.; Mounter, B. Marine Biologists Say Some Species in Aquariums Are Exhibiting Signs of ‘Loneliness’. ABC News. 2020. Available online: www.abc.net.au/news/2020-05-12/sad-fish-missing-human-interaction-at-aquariums/12235054 (accessed on 11 May 2022).


| Behaviors: | Definitions: |
|---|---|
| Inactive | Sitting, standing, or laying while not active in physical activity |
| Locomotion | Moving across the ground, climbing either on the exhibit walls, or the climbing structure located in the middle of the exhibit. |
| Auto-groom | Scratching, itching, rubbing, or any other self-manipulations with the intention of cleaning |
| R/R | Regurgitation and re-ingestion, seen when a gorilla regurgitates a substrate for the intent of consuming it again. |
| Pluck | An individual pulling their own hair out. |
| Forage | Actively searching for, or eating substrate, or other food materials. |
| Out of view | The focal individual gorilla is beyond the observer’s field of view. |
| Manipulate Object | Grabbing, moving, or touching, an inanimate object within the enclosure. |
| Subject | ||||||
|---|---|---|---|---|---|---|
| Visitors | Kayin | Koga | Lily | Nyah | Sidney | Grand Total |
| Absent | 32 | 32 | 33 | 33 | 32 | 162 |
| Present | 26 | 26 | 25 | 24 | 24 | 125 |
| Grand Total | 58 | 58 | 58 | 57 | 56 | 287 |
Publisher’s Note: MDPI stays neutral with regard to jurisdictional claims in published maps and institutional affiliations. |
© 2022 by the authors. Licensee MDPI, Basel, Switzerland. This article is an open access article distributed under the terms and conditions of the Creative Commons Attribution (CC BY) license (https://creativecommons.org/licenses/by/4.0/).
Share and Cite
Masman, M.; Scarpace, C.; Liriano, A.; Margulis, S.W. Does the Absence of Zoo Visitors during the COVID-19 Pandemic Impact Gorilla Behavior? J. Zool. Bot. Gard. 2022, 3, 349-356. https://doi.org/10.3390/jzbg3030027
Masman M, Scarpace C, Liriano A, Margulis SW. Does the Absence of Zoo Visitors during the COVID-19 Pandemic Impact Gorilla Behavior? Journal of Zoological and Botanical Gardens. 2022; 3(3):349-356. https://doi.org/10.3390/jzbg3030027
Chicago/Turabian StyleMasman, Mary, Clarice Scarpace, Angelina Liriano, and Susan W. Margulis. 2022. "Does the Absence of Zoo Visitors during the COVID-19 Pandemic Impact Gorilla Behavior?" Journal of Zoological and Botanical Gardens 3, no. 3: 349-356. https://doi.org/10.3390/jzbg3030027
APA StyleMasman, M., Scarpace, C., Liriano, A., & Margulis, S. W. (2022). Does the Absence of Zoo Visitors during the COVID-19 Pandemic Impact Gorilla Behavior? Journal of Zoological and Botanical Gardens, 3(3), 349-356. https://doi.org/10.3390/jzbg3030027

