Abstract
In order to be successful and have high standards of animal welfare, modern zoos strive to regularly modify, improve, and build animal enclosures and visitor areas. However, these periods of development could result in temporary durations of sub-optimal welfare for animals housed nearby. In this study, we monitored the behavior of three Asiatic lions (Panthera leo persica) prior to, during, and following a period of construction on a nearby building. Our results provide evidence that welfare may have been temporarily reduced during the construction period. Compared to the pre-construction period, the male exhibited an increase in pacing behavior and all three lions reduced the time they spent resting. We infer that the most significant negative stimulus related to the construction was sound and/or ground vibrations, as a physical barrier ruled out stress from visual stimuli. The behavioral response to the construction work was relatively short-lived and no long-term changes were observed one year on. This research highlights the importance of measuring animal behavior around events outside routine husbandry, and considering animal welfare on an individual basis. Finally, this work adds to the body of literature surrounding the impacts of construction on animal wellbeing and outlines some suggestions for potential mitigation.
1. Introduction
Modern zoos strive to maintain optimum animal husbandry and welfare, whilst also providing an outstanding visitor experience [1]. To achieve this, many zoos continually assess their exhibits and modify, improve, and build animal enclosures and visitor areas where appropriate. This construction work is vital for improving animal facilities, which subsequently enhance animal welfare and management practices, increasing visitor knowledge and relaying conservation messages, and for boosting income [2,3]. However, these periods of development have the potential to cause temporary disruptions to the welfare of animals housed nearby [4].
Animals in zoos are exposed to different types of stimuli to those experienced in a natural setting, including noise from visitors, the presence of vehicles, and routine husbandry practices [5]. A number of studies have shown that construction or machinery noise can act as a novel, undesirable stimuli and have adverse effects on zoo animal behavior [6,7]. For example, during periods of construction, snow leopards (Unica unica) [8] and giraffes (Giraffa camelopardalis) [9] increased their proximity to other individuals in the group, suggesting an increase in threat perception. Sulser et al. [8] found that under noisy conditions, snow leopards at Basel Zoo spent significantly less time utilizing their outdoor enclosure, compared to quiet days. Jakob-Hoff et al. [9] showed that giraffes, Asian elephants (Elephas maximus), and emus (Dromaius novaehollandiae) displayed an increase in behaviors indicative of stress, including vigilance and locomotion, in response to increased sound exposure. A female anteater (Myrmecophaga tridactyla) at Disney’s Animal Kingdom also exhibited an increase in negative welfare indicators and a decrease in positive welfare indicators, which included physical, behavioral, and husbandry parameters, attributed to an increase in construction-related activity and sound levels in the area [10]. A significant increase in fecal glucocorticoid metabolite concentrations and decrease in visibility were found in felids in response to construction work at Lincoln Park Zoo [11].
It has also been demonstrated that individuals of the same species can show varying responses to the same environmental stimuli. While a male giant panda (Ailuropoda melanoleuca) at the Smithsonian’s National Zoological Park was found to spend more time close to the work site during a demolition period, the female exhibited no change in enclosure use [4]. Individual differences in response to construction work has also been found in servals (Leptailurus serval) [11]. A review by Ijichi et al. [12] suggested that differences in reactions to the same stimuli can be explained by examining the personalities of individuals. Individuals that score highly for neuroticism as a personality factor are more sensitive to stressors, which is often suggested as a trigger for stereotypic behavior [12]. Carnivores are of particular concern due to their propensity to exhibit stereotypic behaviors in captivity, of which pacing is the most commonly observed [13,14].
It is important to monitor behavior during events outside of normal husbandry practices (such as construction work) in order to understand what impact (if any) they have on individual animal welfare and how this can be mitigated. In this study, we monitored the behavior of three Asiatic lions (Panthera leo persica) at Chester Zoo, UK, prior to, during, and following a period of construction work on Oakfield House, located adjacent to their enclosure, which was renovated and converted into a restaurant. The first aim was to quantify the behavioral response, as an indicator of welfare state, to the three conditions, with a focus on natural active behaviors, resting behavior, pacing behavior, and visibility, and secondly, to investigate whether these responses were different between the three individuals.
2. Materials and Methods
2.1. Study Subjects and Housing
Data were collected at Chester Zoo, Chester, UK, with the subjects being three 9-year-old Asiatic lions: two related females (full sisters, F1 and F2) and one unrelated male (M). They were housed in a 2255 m2 enclosure, comprised of an indoor den and a multi-substrate outdoor exhibit with varying height levels created by a grassy mound in the center. Aside from keeper maintenance times, the group had 24-h access to the entire enclosure.
2.2. Behavior Data Collection
Observations took place on weekdays only (little construction work took place on Saturday or Sunday) and the total observation time was 120 h. Data were collected during three conditions:
- Pre-construction: 40 days of data collected prior to the start of construction (14 September 2017 to 28 November 2017).
- During construction: 40 days of data collected while construction work was ongoing (30 November 2017 to 1 March 2018).
- Post-construction: 40 days of data collected a year after the pre-construction data (13 September 2018 to 12 December 2018).
For each condition, we used 30-s time interval group scan sampling over a 60-min observation period per day using a pre-determined ethogram (Table 1). Behaviors of interest included pacing and resting, while other active behaviors (that did not include pacing) were grouped into a ‘natural active’ category (Table 1). Time spent out of sight from the observer was also noted. All observations took place from the visitor viewing areas of the exhibit, which had a full view of the outdoor exhibit. Observation times were between the hours of 09:00–17:00 (no construction work occurred outside of these times), with an equal number of observations per hour across three conditions. Data were collected by three observers, achieving >90% inter-observer reliability.
Table 1.
Ethogram of behaviors and allocated behavioral category.
There were no other major management changes for the group throughout the observation period other than an annual ‘Lanterns’ evening event running from November–December in 2017 and 2018. In 2017, the event ran for 20 days (24–26 November, 1–3 December, 8–10 December, 15–17 December, 20–23 December, and 27–30 December). In 2018, there were 9 days during the study period (23–25 November, 30 November–2 December, 7–9 December). A previous analysis of data collected on-site showed no significant behavior change following a ‘Lanterns’ evening event, which has been running since 2011 [15].
2.3. Statistical Analysis
Statistical analyses were conducted in R (version 3.6.2) [16]. As the aim of this research was to explore individual differences in response to construction, the behavior of each lion was analyzed separately. Following Shapiro–Wilk tests, non-parametric statistical tests were used after transformations failed to normalize the data. We treated days as the experimental unit and accepted the pseudoreplication; therefore, the results are not applicable to the wider population [17]. Kruskall–Wallis tests were used to compare time spent in each of the behavioral categories (i.e., natural active, pacing, resting, and out of sight) for each lion across construction periods (‘pre’, ‘during’, and ‘post’). Post hoc Dunn’s multiple comparison tests were used to determine if differences were significant between the three conditions; the p values reported are adjusted using the Bonferroni correction. Results are presented in graphical form using median and interquartile range (IQR), however, due to the number of zeros reported within some behaviors, the mean percentage of time (plus standard error) has also been included in table format to describe the relative frequency of the behaviors of interest.
3. Results
3.1. Natural Active Behaviors
Across the three conditions there was no significant difference in time spent exhibiting natural active behaviors for any of the three lions (M: χ2 = 1.48, df = 2, p = 0.48; F1: χ2 = 4.22, df = 2, p = 0.121; F2: χ2 = 2.94, df = 2, p = 0.230, Figure 1, Table 2), although the variation in natural active behaviors appears to have been larger during the construction period for both female lions (Figure 1).
Figure 1.
The percentage of time spent engaging in natural active behaviors (including locomotion, feeding, and social behaviors) of three lions across three conditions: pre, during, and post a period of construction work. Box plots represent the medians and interquartile range; mean is represented as a ‘*’.
Table 2.
Means and standard errors, medians, and interquartile ranges of the percentage of time three lions spent conducting one of four behavioral categories across three conditions: pre, during, and post a period of construction work.
3.2. Pacing
The male lion significantly changed the time he spent pacing across the three study periods (χ2 = 9.34, df = 2, p = 0.01), significantly increasing engagement in pacing behavior during the construction work period in comparison to the pre-construction period (Z = −2.97 p = 0.009, Figure 2, Table 2). There were no significant differences between the during-construction and post-construction periods (Z = −2.12, p = 0.10) nor between the pre-construction and post-construction periods (Z = −0.85 p = 1.00). Of the three lions, female 2 spent the most time pacing pre-construction, however, there was no significant change through the construction period or post-construction (χ2 = 2.85, df = 2, p = 0.241, Figure 2, Table 2). Female 1 spent the least amount of time pacing, and no significant differences were found across the three conditions (χ2 = 0.72, df = 2, p = 0.698, Figure 2, Table 2).
Figure 2.
The percentage of time spent pacing of three lions across three conditions: pre, during, and post a period of construction work. Box plots represent the medians and interquartile range; mean is represented as a ‘*’.
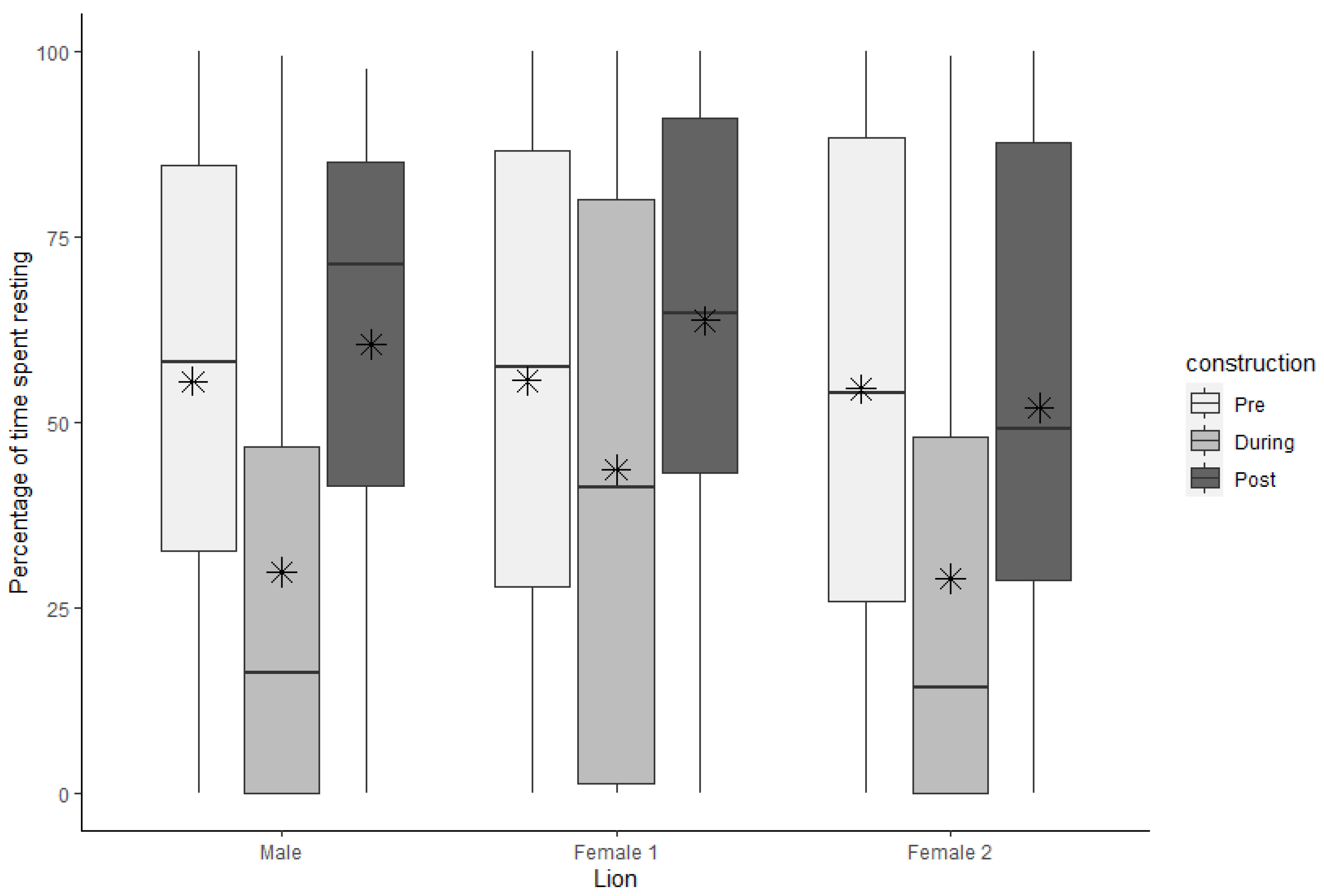
3.3. Resting
All three lions significantly changed the amount of time they spent resting across the data collection period (M: χ2 = 16.20, df = 2, p = 0.0003; F1: χ2 = 6.48, df = 2, p = 0.039; F2: χ2 = 12.38, df = 2, p = 0.002, Figure 3). Time spent resting significantly increased for all three lions in the post-construction period in comparison to the construction period (M: Z = −3.72, p = 0.0006; F1: Z = −2.53, p = 0.034; F2: Z = −2.99, p = 0.008, Figure 3, Table 2). There was no difference between pre-construction resting and post-construction resting (M: Z = −0.52, p = 1.0; F1: Z = −1.02, p = 0.917; F2: Z = 0.11, p = 1.00, Figure 3, Table 2). The male and female 2 spent significantly less time resting during construction work in comparison to pre-construction (M: Z = 3.19, p = 0.004; F2: Z = 3.10, p = 0.006, Figure 3, Table 2). However, female 1 did not significantly change the time spent resting between the two conditions (pre-construction: Z = 1.51, p = 0.395, Table 2).
Figure 3.
The percentage of time spent resting of three lions across three conditions: pre, during, and post a period of construction work. Box plots represent the medians and interquartile range; mean is represented as a ‘*’.
3.4. Visibility
Visibility for all lions was high, with each animal being out of sight for <30% of the time on average across all data collection periods (Table 2). There was no significant change in the time spent out of sight for any of the three lions between the three data collection periods (M: χ2 = 3.26, df = 2, p = 0.196; F1: χ2 = 2.46, df = 2, p = 0.292; F2: χ2 = 0.55, df = 2, p = 0.76, Figure 4, Table 2).
Figure 4.
The percentage of time spent out of sight of the observer for three lions across three conditions: before, during, and post a period of construction work. Box plots represent the medians and interquartile range; mean is represented as a ‘*’.
4. Discussion
Monitoring any change in the behavior of animals in zoos during events outside normal husbandry can be a useful welfare indicator. This is an area of increasing research interest and includes events such as concerts [18], fundraisers [19], and construction work [4,8,9,10,11]. In this study, we found that a period of construction work significantly changed the behavior of the lion group; however, each lion differed in their behavioral response.
Individual animals can often differ in their response to novel stimuli [12], and it is recommended that zoo animal welfare should be measured on an individual basis [20]. Indeed, both Asiatic and African lions have been found to exhibit different personality traits in captivity [21,22,23]. In this study, we found that the lions differed in their response to construction work, with the male lion increasing time spent pacing during the construction period, whilst the females exhibited no change in pacing. Pacing is the most commonly observed stereotypy of terrestrial carnivores and can be an indicator of reduced welfare [13,14]. Pacing behavior can have different underlying motivations, such as pre-feeding anticipatory behavior, variations in species ranging, or frustrated escape attempts [24,25]. Increases in stereotypic pacing behavior are also often found when animals do not have control over their environment and cannot escape from an undesirable stimulus. For example, Bashaw et al. [26] found that African lions (Panthera leo) paced more off exhibit than on exhibit, which they attributed to a lack of control over social stimuli in the off-exhibit space. Individual responses to construction work have also been found in servals, with one individual significantly reducing pacing during construction, whilst the other exhibited no change, suggesting that pacing was not used as a coping mechanism for the changes in environment [11]. Although an increase in pacing was observed in the male lion in our study during the construction period, his pacing reduced back to lower levels previously observed by the post-construction period. Interestingly, female 2 historically had the highest engagement in pacing behavior of the three study subjects [27] and spent the highest proportion of time pacing on average during pre-construction period, however, exposure to construction work did not significantly influence her engagement in pacing behavior. This further highlights how welfare must be measured on an individual level, as responses to the same novel stimuli can differ dramatically between individuals.
All subjects spent less time resting during the construction period; two individuals rested more in the pre-construction period, and all three lions rested more in the post-construction period in comparison to the construction period. Predatory mammals spend a large proportion of time resting [28]. In the wild, lions rest up to 21 h per day [29]; this high level of natural inactivity is also observed in zoos, usually during peak visitor hours (10:00 to 15:00) [30]. Decreases in resting behavior, as seen in our study, can be an indicator of reduced welfare. In a study carried out on Asiatic lions, Kohari et al. [31] found that, when confined to a smaller part of the exhibit, the lions were restless and exhibited higher activity levels compared to when they had free-range of the entire exhibit [31]. Although natural active behaviors did not significantly increase during the construction period in our study, the variation in both females was larger during the construction period. This could be attributed to changes in the intensity of construction across the different days; however, as we did not collect sound recordings, we are unable to confirm this.
Although enclosure use was not quantified in this study, the only area where the lions were out of sight of the observer was when they were in their indoor house. As there was no change in time spent out of sight, it can be suggested that the lions were not using their indoor house more during the construction period. However, the indoor lion house was positioned closest to the construction site, so by retreating there they would actually be closer to the negative stimulus. Anecdotally, observers noted that the male lion’s main pacing route was a small figure-of-eight pattern in the corner of the enclosure furthest away from the construction work, highlighting the potential for this behavior to be a coping mechanism, as he was not able to retreat far enough from the negative stimulus affecting him. Similar responses have been found in other felid species, with individuals either spending more time in areas away from the construction site, or less time visible, revealing that providing adequate retreat space is an important management consideration [8,11].
The animal welfare implications of environmental stimuli associated with human activity has increasingly been studied in zoo settings, particularly around construction work [4,8,9,10,11]. Identifying the particular negative stimulus for different animal species enables caregivers an opportunity to minimize the effects on their animals’ wellbeing during periods of enclosure improvements or renovation in adjacent areas. In giant pandas, high frequency noises during demolition days appeared to have the greatest impact on behavior and hormone levels [4], and in giant anteaters, an increase in sound pressure levels during construction was attributed to a reduction in welfare [10]. The major negative stimulus for the lions in this study was likely construction sound, ground vibrations, and/or potentially olfactory changes to the surrounding area. A visual barrier was in place around the construction site that obscured the view of the work from the lions. This method was previously found to be effective during an earlier period of construction work on the opposite side of the lion enclosure when the movement of machinery and persons wearing protective clothing influenced pacing behavior (unpublished work). In the future, sound barriers may provide protection by absorbing some of the sound waves and vibration. Orban et al. [10] tested a number of materials to see if foam, plastic, or plywood could mitigate the impacts of a heating, ventilation, and air conditioning unit; they found a foam barrier to be the most successful. Future studies should incorporate the analysis of sound recordings alongside animal behavior and enclosure use to give a more complete picture regarding the triggers and responses of animals to construction work. The implementation of visual and sound barriers should also be considered, given the growing evidence of their effectiveness in minimizing the transfer of sound, particularly if species in range of the stimuli are sound sensitive.
This research highlights the importance of measuring animal behavior around events outside of normal husbandry routines, and considering animal welfare on an individual basis. Importantly, this study illustrated that the behavioral response to construction work in this instance was relatively short-lived, with no long-term behavioral changes observed. This study adds to a body of research investigating animal behavior and welfare surrounding events outside of routine husbandry practices and highlights the need to mitigate against any potential negative impacts.
Author Contributions
Conceptualization: L.H.; methodology: L.H. and K.F.; software: L.J.W., K.F. and L.H.; formal analysis: L.J.W.; investigation: K.F. and L.J.W.; resources: L.J.W., R.A. and L.H.; data curation: K.F. and L.J.W.; writing—original draft preparation: L.J.W. and R.A.; writing—review and editing: K.F. and L.H.; visualization: L.J.W.; project administration: L.J.W. and L.H. All authors have read and agreed to the published version of the manuscript.
Funding
This research received no external funding.
Institutional Review Board Statement
This research has been approved by the Chester Zoo Science Committee (reference number 2016.27).
Informed Consent Statement
Not applicable.
Data Availability Statement
The data presented in this study are available on request from the corresponding author.
Acknowledgments
The authors would like to thank the students who assisted with the project, the Carnivore Team and Mammal Curators at Chester Zoo for their support and facilitation of this research, and four anonymous reviewers for their valuable feedback.
Conflicts of Interest
The authors declare no conflict of interest.
References
- Hosey, G.; Melfi, V.; Pankhurst, S. Zoo Animals: Behavior, Management, and Welfare, 2nd ed.; Oxford University Press: Oxford, UK, 2013. [Google Scholar]
- Melfi, V.A.; McCormick, W.; Gibbs, A. A preliminary assessment of how zoo visitors evaluate animal welfare according to enclosure style and the expression of behavior. Anthrozoös 2004, 17, 98–108. [Google Scholar] [CrossRef]
- Davey, G. Relationships between exhibit naturalism, animal visibility and visitor interest in a Chinese Zoo. Appl. Anim. Behav. Sci. 2006, 96, 93–102. [Google Scholar] [CrossRef]
- Powell, D.M.; Carlstead, K.; Tarou, L.R.; Brown, J.L.; Monfort, S.L. Effects of construction noise on behavior and cortisol levels in a pair of captive giant pandas (Ailuropoda melanoleuca). Zoo Biol. 2006, 25, 391–408. [Google Scholar] [CrossRef]
- Hosey, G. Zoo animals and their human audiences: What is the visitor effect? Anim. Welf. 2000, 9, 242–257. [Google Scholar]
- Carlstead, K.; Shepherdson, D. Effects of environmental enrichment on reproduction. Zoo Biol. 1994, 13, 447–458. [Google Scholar] [CrossRef]
- Morgan, K.N.; Tromborg, C.T. Sources of stress in captivity. Appl. Anim. Behav. Sci. 2007, 102, 262–302. [Google Scholar] [CrossRef]
- Sulser, C.E.; Steck, B.L.; Baur, B. Effects of construction noise on behavior of and exhibit use by Snow leopards Uncia uncia at Basel zoo. Int. Zoo. Yearb. 2008, 42, 199–205. [Google Scholar] [CrossRef]
- Jakob-Hoff, R.; Kingan, M.; Fenemore, C.; Schmid, G.; Cockrem, J.F.; Crackle, A.; Van Bemmel, E.; Connor, R.; Descovich, K. Potential impact of construction noise on selected zoo animals. Animals 2019, 9, 504. [Google Scholar] [CrossRef] [PubMed]
- Orban, D.A.; Soltis, J.; Perkins, L. Sound at the zoo: Using animal monitoring, sound measurement, and noise reduction in zoo animal management. Zoo Biol. 2017, 36, 231–236. [Google Scholar] [CrossRef]
- Chosey, J.; Wilson, M.; Santymire, R. Behavioral and Physiological Responses in Felids to Exhibit Construction. Zoo Biol. 2014, 33, 267–274. [Google Scholar] [CrossRef] [PubMed]
- Ijichi, C.L.; Collins, L.M.; Elwood, R.W. Evidence for the role of personality in stereotypy predisposition. Anim. Behav. 2013, 85, 1145–1151. [Google Scholar] [CrossRef]
- Mason, G.J.; Clubb, R.; Latham, N.; Vickery, S. Why and how should we use environmental enrichment to tackle stereotypic behavior. Appl. Anim. Behav. Sci. 2007, 102, 163–188. [Google Scholar] [CrossRef]
- Clubb, R.; Mason, G.J. Natural behavioral biology as a risk factor in carnivore welfare: How analyzing species differences could help zoos improve enclosures. Appl. Anim. Behav. Sci. 2007, 102, 302–328. [Google Scholar] [CrossRef]
- Holmes, L. Chester Zoo Behavior Report, 2017 Impact of Lanterns on Asiatic Lion Behavior. Chester Zoo, North of England Zoological Society, Upton by Chester, UK. Unpublished work, 2017.
- R Core Team. R: A Language and Environment for Statistical Computing; R Foundation for Statistical Computing: Vienna, Austria, 2020. [Google Scholar]
- Martin, P.; Bateson, P. Measuring Behavior: An Introductory Guide, 3rd ed.; Cambridge University Press: Cambridge, UK, 1993. [Google Scholar]
- Fanning, L.; Larsen, H.; Taylor, P.S. A Preliminary Study Investigating the Impact of Musical Concerts on the Behavior of Captive Fiordland Penguins (Eudyptes pachyrhynchus) and Collared Peccaries (Pecari tajacu). Animals 2020, 10, 2035. [Google Scholar] [CrossRef]
- Bastian, M.L.; Glendinning, D.R.; Brown, J.L.; Boisseau, N.P.; Edwards, K.L. Effects of a recurring late-night event on the behavior and welfare of a population of zoo-housed gorillas. Zoo Biol. 2020, 39, 217–229. [Google Scholar] [CrossRef] [PubMed]
- Barber, J.C.E. Programmatic approaches to assessing and improving animal welfare in zoos and aquariums. Zoo Biol. 2009, 28, 519–530. [Google Scholar] [CrossRef] [PubMed]
- Dunston, E.J.; Abell, J.; Doyle, R.E.; Evershed, M.; Freire, R. Exploring African lion (Panthera leo) behavioral phenotypes: Individual differences and correlations between sociality, boldness and behavior. J. Ethol. 2016, 34, 277–290. [Google Scholar] [CrossRef]
- Pastorino, G.Q.; Viau, A.; Curone, G.; Pearce-Kelly, P.; Faustini, M.; Vigo, D.; Mazzola, S.M.; Preziosi, R. Role of Personality in Behavioral Responses to New Environments in Captive Asiatic Lions (Panthera leo persica). Vet. Med. Int. 2017, 2017, 6585380. [Google Scholar]
- Goswami, S.; Patel, S.K.; Pandit, S.; Kadivar, R.; Tyagi, P.C.; Malik, P.K.; Mondol, S. Effects of a combined enrichment intervention on the behavioral and physiological welfare of captive Asiatic lions (Panthera leo persica). PeerJ 2020, 8, e8425. [Google Scholar] [CrossRef] [PubMed]
- Clubb, R.; Vickery, S. Locomotory stereotypies in carnivores: Does pacing stem from hunting, ranging, or frustrated escape. In Stereotypic Animal Behaviour: Fundamentals and Applications to Welfare, 2nd ed.; Mason, G.J., Rushen, J., Eds.; Cabi: Wallingford, UK, 2008; pp. 58–79. [Google Scholar]
- Breton, G.; Barrot, S. Influence of enclosure size on the distances covered and paced by captive tigers (Panthera tigris). Appl. Anim. Behav. Sci. 2014, 154, 66–75. [Google Scholar] [CrossRef]
- Bashaw, M.J.; Kelling, A.S.; Bloomsmith, M.A.; Maple, T.L. Environmental Effects on the Behavior of Zoo-housed Lions and Tigers, with a Case Study on the Effects of a Visual Barrier on Pacing. J. Appl. Anim. Welf. Sci. 2007, 10, 95–109. [Google Scholar] [CrossRef] [PubMed]
- Finch, K.; Williams, L.J.; Holmes, L. Using longitudinal data to evaluate the behavioral impact of a switch to carcass feeding on an Asiatic lion Panthera leo persica. JZAR 2020, 8, 283–287. [Google Scholar]
- Rees, P.A. Zoo and exhibit design. In An Introduction to Zoo Biology and Management; Wiley Blackwell: Oxford, UK, 2011; pp. 189–199. [Google Scholar]
- Schaller, G.B. The Serengeti Lion: A Study of Predator-prey Relations; University of Chicago Press: Chicago, IL, USA, 1972; pp. 119–125. [Google Scholar]
- Bitgood, S.; Patterson, D.; Benefield, A. Exhibit design and visitor behavior: Empirical relationships. Environ. Behav. 1988, 20, 474–491. [Google Scholar] [CrossRef]
- Kohari, D.; Sunada, A.; Matsui, Y.; Ootaki, A.; Hori, H. Behavioral restriction effects on activity motivation of a captive lion (Panthera leo persica). J. Vet. Behav. 2017, 17, 14–18. [Google Scholar] [CrossRef]
Publisher’s Note: MDPI stays neutral with regard to jurisdictional claims in published maps and institutional affiliations. |
© 2021 by the authors. Licensee MDPI, Basel, Switzerland. This article is an open access article distributed under the terms and conditions of the Creative Commons Attribution (CC BY) license (http://creativecommons.org/licenses/by/4.0/).



