Intrauterine Autologous PBMC Therapy: Effects on Endometrial Immunity and IVF Success in Repeated Implantation Failure
Abstract
1. Introduction
2. Materials and Methods
2.1. Patients and Experimental Design
2.2. IVF Procedure
2.3. PBMC Isolation and Administration
2.4. PBMC Cytokine Secretion
2.5. PBMC Content
2.6. Endometrial Biopsies
2.7. Endometrial Immune Cell Quantification
2.8. Image Analysis
2.9. Statistical Analyses
3. Results
3.1. PBMC Composition and Cytokine Secretion
3.2. PBMC Composition and Cytokine Secretion According to IVF Outcome in the Preliminary Cohort
3.3. CRP Measurements in the Preliminary Cohort
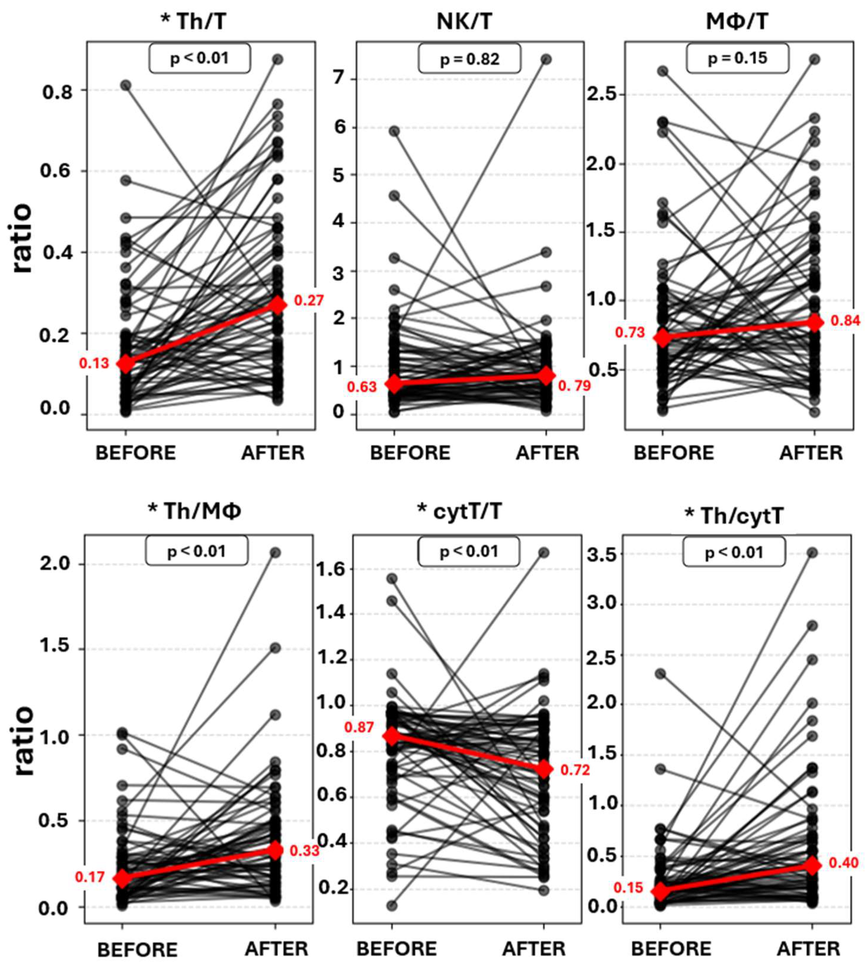
3.4. PBMC and Endometrial Immune Content Before and After Treatment
3.5. Association Between Endometrial Immune Cells and IVF Success
4. Discussion
5. Conclusions
Author Contributions
Funding
Institutional Review Board Statement
Informed Consent Statement
Data Availability Statement
Conflicts of Interest
Abbreviations
| CCL | Chemokine C-C motif Ligand |
| CD | Cluster of Differentiation |
| CRP | C-reactive Protein |
| cytT | Cytotoxic T Cell |
| ELISA | Enzyme-Linked Immunosorbent Assay |
| hCG | Human Chorion Gonadotropin |
| IL | Interleukin |
| IQR | Inter Quartile Range |
| IVF | In Vitro Fertilization |
| LH | Luteinizing Hormone |
| M2 | Macrophages Type 2 |
| MΦ | Macrophages |
| NK | Natural Killer |
| PBMCs | Peripheral Blood Mononuclear Cells |
| PBS | Phosphate-Buffered Saline |
| RIF | Repeated Implantation Failure |
| TGF-β | Transforming Growth Factor β |
| Th | T helper |
| TNF-α | Tumor Necrosis Factor α |
Appendix A



References
- Saito, S. Role of immune cells in the establishment of implantation and maintenance of pregnancy and immunomodulatory therapies for patients with repeated implantation failure and recurrent pregnancy loss. Reprod. Med. Biol. 2024, 23, e12600. [Google Scholar] [CrossRef] [PubMed] [PubMed Central]
- Lédée, N.; Petitbarat, M.; Chevrier, L. The uterine immune profile may help women with repeated unexplained embryo implantation failure after in vitro fertilization. Am. J. Reprod. Immunol. 2016, 75, 388–401. [Google Scholar] [CrossRef]
- Ganeva, R.; Parvanov, D.; Vidolova, N.; Ruseva, M.; Handzhiyska, M.; Arsov, K.; Decheva, I.; Metodiev, D.; Moskova-Doumanova, V.; Stamenov, G. Endometrial immune cell ratios and implantation success in patients with recurrent implantation failure. J. Reprod. Immunol. 2023, 156, 103816. [Google Scholar] [CrossRef] [PubMed]
- Pourmoghadam, Z.; Abdolmohammadi-Vahid, S.; Pashazadeh, F.; Aghebati-Maleki, L.; Ansari, F.; Yousefi, M. Efficacy of intrauterine administration of autologous peripheral blood mononuclear cells on the pregnancy outcomes in patients with recurrent implantation failure: A systematic review and meta-analysis. J. Reprod. Immunol. 2020, 137, 103077. [Google Scholar] [CrossRef] [PubMed]
- Wu, Y.; Li, L.; Liu, L.; Yang, X.; Yan, P.; Yang, K.; Zhang, X. Autologous peripheral blood mononuclear cells intrauterine instillation to improve pregnancy outcomes after recurrent implantation failure: A systematic review and meta-analysis. Arch. Gynecol. Obstet. 2019, 300, 1445–1459. [Google Scholar] [CrossRef] [PubMed]
- Yakin, K.; Oktem, O.; Urman, B. Intrauterine administration of peripheral mononuclear cells in recurrent implantation failure: A systematic review and meta-analysis. Sci. Rep. 2019, 9, 3897. [Google Scholar] [CrossRef]
- Liu, M.; Yuan, Y.; Qiao, Y.; Tang, Y.; Sui, X.; Yin, P.; Yang, D. The effectiveness of immunomodulatory therapies for patients with repeated implantation failure: A systematic review and network meta-analysis. Sci. Rep. 2022, 12, 18434. [Google Scholar] [CrossRef]
- ESHREWorking Group on Recurrent Implantation Failure; Cimadomo, D.; de Los Santos, M.J.; Griesinger, G.; Lainas, G.; Le Clef, N.; McLernon, D.J.; Montjean, D.; Toth, B.; Vermeulen, N.; et al. ESHRE good practice recommendations on recurrent implantation failure. Hum. Reprod. Open 2023, 2023, hoad023. [Google Scholar] [CrossRef]
- Wang, X.Q.; Zhou, W.J.; Luo, X.Z.; Tao, Y.; Li, D.J. Synergistic effect of regulatory T cells and proinflammatory cytokines in angiogenesis in the endometriotic milieu. Hum. Reprod. 2017, 32, 1304–1317. [Google Scholar] [CrossRef] [PubMed]
- Qin, S.; Sui, Y.; Soloff, A.C.; Junecko, B.A.; Kirschner, D.E.; Murphey-Corb, M.A.; Watkins, S.C.; Tarwater, P.M.; Pease, J.E.; Barratt, S.M.; et al. Chemokine and cytokine mediated loss of regulatory T cells in lymph nodes during pathogenic simian immunodeficiency virus infection. J. Immunol. 2008, 180, 5530–5536. [Google Scholar] [CrossRef] [PubMed] [PubMed Central]
- Fan, L.; Sha, M.; Li, W.; Kang, Q.; Wu, J.; Chen, S.; Yu, N. Intrauterine administration of peripheral blood mononuclear cells (PBMCs) improves embryo implantation in mice by regulating local Treg/Th17 cell balance. J. Reprod. Dev. 2021, 67, 359–368. [Google Scholar] [CrossRef] [PubMed] [PubMed Central]
- Menzel, A.; Samouda, H.; Dohet, F.; Loap, S.; Ellulu, M.S.; Bohn, T. Common and Novel Markers for Measuring Inflammation and Oxidative Stress Ex Vivo in Research and Clinical Practice-Which to Use Regarding Disease Outcomes? Antioxidants 2021, 10, 414. [Google Scholar] [CrossRef] [PubMed] [PubMed Central]
- Kitazawa, J.; Kimura, F.; Nakamura, A.; Morimune, A.; Takahashi, A.; Takashima, A.; Amano, T.; Tsuji, S.; Kaku, S.; Kasahara, K.; et al. Endometrial Immunity for Embryo Implantation and Pregnancy Establishment. Tohoku J. Exp. Med. 2020, 250, 49–60. [Google Scholar] [CrossRef]
- Luckheeram, R.V.; Zhou, R.; Verma, A.D.; Xia, B. CD4+T cells: Differentiation and functions. Clin. Dev. Immunol. 2012, 2012, 925135. [Google Scholar] [CrossRef] [PubMed] [PubMed Central]
- Ahmadi, M.; Abdolmohammadi-Vahid, S.; Ghaebi, M.; Aghebati-Maleki, L.; Dolati, S.; Farzadi, L.; Ghasemzadeh, A.; Hamdi, K.; Younesi, V.; Nouri, M.; et al. Regulatory T cells improve pregnancy rate in RIF patients after additional IVIG treatment. Syst. Biol. Reprod. Med. 2017, 63, 350–359. [Google Scholar] [CrossRef] [PubMed]
- Ricaud, G.; Vaillancourt, C.; Blais, V.; Disdier, M.; Joao, F.; Johnson, B.; Benkhalifa, M.; Miron, P.; Bernier, J. Role of T cells in intrauterine administration of activated peripheral blood mononuclear cells in recurrent implantation failure. bioRxiv 2021. [Google Scholar] [CrossRef]
- Zhang, Y.; Wang, Y.; Wang, X.H.; Zhou, W.J.; Jin, L.P.; Li, M.Q. Crosstalk between human endometrial stromal cells and decidual NK cells promotes decidualization in vitro by upregulating IL-25. Mol. Med. Rep. 2018, 17, 2869–2878. [Google Scholar] [CrossRef] [PubMed] [PubMed Central]
- Heikkinen, J.; Möttönen, M.; Komi, J.; Alanen, A.; Lassila, O. Phenotypic characterization of human decidual macrophages. Clin. Exp. Immunol. 2003, 131, 498–505. [Google Scholar] [CrossRef] [PubMed] [PubMed Central]
- Smith, C.; Chang, M.Y.; Parker, K.H.; Beury, D.W.; DuHadaway, J.B.; Flick, H.E.; Boulden, J.; Sutanto-Ward, E.; Soler, A.P.; Laury-Kleintop, L.D.; et al. IDO is a nodal pathogenic driver of lung cancer and metastasis development. Cancer Discov. 2012, 2, 722–735. [Google Scholar] [CrossRef] [PubMed] [PubMed Central]
- Annacker, O.; Asseman, C.; Read, S.; Powrie, F. Interleukin-10 in the regulation of T cell-induced colitis. J. Autoimmun. 2003, 20, 277–279. [Google Scholar] [CrossRef] [PubMed]
- Curtsinger, J.M.; Mescher, M.F. Inflammatory cytokines as a third signal for T cell activation. Curr. Opin. Immunol. 2010, 22, 333–340. [Google Scholar] [CrossRef] [PubMed] [PubMed Central]
- The Center for Disease Control and Prevention (CDC). Assisted Reproductive Technology (ART) Fertility Clinic and National Summary Report; The Center for Disease Control and Prevention (CDC): Atlanta, Georgia, 2021. [Google Scholar]
- Nadezhda Women’s Health Hospital. Effects of Intrauterine Administration of Autologous Pbmc on the Endometrial Cells Populations; National Library of Medicine (US): Bethesda, MD, USA, 2022.
- Xin, H.; Liang, D.; Zhang, M.; Ren, D.; Chen, H.; Zhang, H.; Li, S.; Ding, G.; Zhang, C.; Ding, Z.; et al. The CD68+ macrophages to CD8+ T-cell ratio is associated with clinical outcomes in hepatitis B virus (HBV)-related hepatocellular carcinoma. HPB 2021, 23, 1061–1071. [Google Scholar] [CrossRef] [PubMed]







| PBMC Characterization | Quantity | |
|---|---|---|
| PBMC subsets | Monocytes, % of CD45+ cells | 12.90 ± 4.11 |
| Granulocytes, % of CD45+ cells | 2.40 ± 1.76 | |
| Lymphocytes, % of CD45+ cells | 60.72 ± 7.75 | |
| T lymphocytes subsets across the PBMC | Total T lymphocytes, % of lymphocytes | 60.62 ± 11.17 |
| T helper cells, % of total T lymphocytes | 29.88 ± 12.42 | |
| Cytotoxic T cells, % of total T lymphocytes | 25.30 ± 10.40 | |
| Double-positive T cells, % of total T lymphocytes | 0.57 ± 0.51 | |
| Double-negative T cells, % of total T lymphocytes | 4.89 ± 3.00 | |
| Th/cytT, ratio | 1.44 ± 0.82 | |
| PBMC cytokine secretion | Tumor Necrosis Factor α (TNF-α), pg/mL | 131.47 ± 109.38 |
| Interleukin 6 (IL-6), pg/mL | 959.51 ± 654.74 | |
| Interleukin 4 (IL-4), pg/mL | 32.92 ± 50.41 | |
| Interleukin 10 (IL-10), pg/mL | 82.18 ± 151.69 |
| Successful Implantation (4/11) | Unsuccessful Implantation (7/11) | p-Value | ||
|---|---|---|---|---|
| PBMC subsets | Monocytes, % of CD45+ cells | 12.47 ± 3.65 | 12.77 ± 5.04 | 0.897 |
| Granulocytes, % of CD45+ cells | 2.71 ± 2.06 | 1.74 ± 1.32 | 0.334 | |
| Lymphocytes, % of CD45+ cells | 60.64 ± 7.09 | 58.78 ± 9.16 | 0.675 | |
| T lymphocytes subsets across the PBMC | Total T lymphocytes, % of lymphocytes | 57.47 ± 14.41 | 60.82 ± 7.19 | 0.613 |
| T helper cells, % of total T lymphocytes | 30.36 ± 13.11 | 27.12 ± 9.15 | 0.385 | |
| Cytotoxic T cells, % of total T lymphocytes | 26.20 ± 13.73 | 23.49 ± 7.86 | 0.674 | |
| Double-positive T cells, % of total T lymphocytes | 0.52 ± 0.41 | 0.44 ± 0.16 | 0.654 | |
| Double-negative T cells, % of total T lymphocytes | 5.02 ± 3.80 | 4.83 ± 2.56 | 0.920 | |
| Th/cytT, ratio | 1.33 ± 0.86 | 1.58 ± 0.96 | 0.606 | |
| PBMC cytokine secretion | Tumor Necrosis Factor α (TNF-α), pg/mL | 81.89 ± 81.89 | 120.35 ± 115.48 | 0.767 |
| Interleukin 6 (IL-6), pg/mL | 1150.38 ± 794.34 | 830.92 ± 552.32 | 0.358 | |
| Interleukin 4 (IL-4), pg/mL | 36.06 ± 70.83 | 12.10 ± 6.87 | 0.352 | |
| Interleukin 10 (IL-10), pg/mL | 91.93 ± 140.72 | 79.19 ± 194.85 | 0.886 |
| Before PBMC (n = 70) | After PBMC (n = 70) | p-Value | ||
|---|---|---|---|---|
| Immune cells, % of stromal cells | CD3+ T lymphocytes | 2.96 (2.5) | 3.39 (2.66) | 0.069 |
| CD4+ T helper cells | 0.33 (0.43) | 0.88 (0.99) | <0.001 * | |
| CD8+ Cytotoxic T cells | 2.38 (2.15) | 2.43 (2.20) | 0.835 | |
| CD56+ NK cells | 1.98 (2.90) | 2.46 (2.36) | 0.339 | |
| CD68+ Macrophages/MΦ | 2.21 (2.27) | 2.75 (2.22) | 0.023 * | |
| Immune cell ratios | Th/T | 0.13 (0.15) | 0.27 (0.28) | <0.001 * |
| NK/T | 0.63 (0.90) | 0.79 (0.76) | 0.822 | |
| MΦ/T | 0.73 (0.51) | 0.84 (0.78) | 0.144 | |
| Th/MΦ | 0.17 (0.23) | 0.33 (0.33) | <0.001 * | |
| cytT/T | 0.87 (0.23) | 0.72 (0.37) | 0.001 * | |
| Th/cytT | 0.16 (0.24) | 0.40 (0.52) | <0.001 * |
| Before PBMC Administration | After PBMC Administration | p Values | |||||||
|---|---|---|---|---|---|---|---|---|---|
| Unsuccessful Implantation (25/41) Group 1 (G1) | Successful Implantation (16/41) Group2 (G2) | Unsuccessful Implantation (25/41) Group3 (G3) | Successful Implantation (16/41) Group 4 (G4) | G1 vs. G2 | G1 vs. G3 | G3 vs. G4 | G2 vs. G4 | ||
| Immune cells, % of stromal cells | CD3+ T lymphocytes | 2.93 (2.67) | 3.08 (2.19) | 3.45 (2.62) | 3.44 (2.57) | 0.968 | 0.128 | 0.682 | 0.836 |
| CD4+ T helper cells | 0.33 (0.31) | 0.38 (0.47) | 0.76 (1.32) | 0.94 (1.32) | 0.644 | 0.001 * | 0.947 | 0.044 * | |
| CD8+ Cytotoxic T cells | 2.38 (1.71) | 2.51 (2.24) | 2.10 (2.07) | 2.36 (2.70) | 0.822 | 0.968 | 0.663 | 0.278 | |
| CD56+ NK cells | 2.08 (3.50) | 1.76 (2.09) | 2.30 (3.03) | 3.23 (3.89) | 0.483 | 0.968 | 0.320 | 0.278 | |
| CD68+ Macrophages/MΦ | 2.57 (1.70) | 2.51 (2.24) | 2.51 (2.48) | 3.00 (2.44) | 0.864 | 0.545 | 0.207 | 0.049 * | |
| Immune cell ratios | Th/T | 0.12 (0.16) | 0.14 (0.33) | 0.29 (0.24) | 0.34 (0.44) | 0.741 | 0.004 * | 0.467 | 0.015 * |
| NK/T | 0.62 (1.26) | 0.56 (1.19) | 0.77 (0.95) | 1.01 (0.91) | 0.822 | 0.925 | 0.227 | 0.215 | |
| MΦ/T | 0.78 (0.46) | 0.73 (0.55) | 0.74 (0.60) | 1.15 (1.09) | 0.721 | 0.527 | 0.024 * | 0.009 * | |
| Th/MΦ | 0.16 (0.20) | 0.18 (0.23) | 0.34 (0.33) | 0.26 (0.37) | 0.885 | 0.001 * | 0.375 | 0.326 | |
| cytT/T | 0.87 (0.26) | 0.86 (0.34) | 0.72 (0.39) | 0.66 (0.56) | 0.905 | 0.051 | 0.822 | 0.098 | |
| Th/cytT | 0.16 (0.31) | 0.17 (0.55) | 0.41 (0.58) | 0.48 (0.58) | 0.926 | 0.011 * | 0.644 | 0.030 * | |
Disclaimer/Publisher’s Note: The statements, opinions and data contained in all publications are solely those of the individual author(s) and contributor(s) and not of MDPI and/or the editor(s). MDPI and/or the editor(s) disclaim responsibility for any injury to people or property resulting from any ideas, methods, instructions or products referred to in the content. |
© 2025 by the authors. Licensee MDPI, Basel, Switzerland. This article is an open access article distributed under the terms and conditions of the Creative Commons Attribution (CC BY) license (https://creativecommons.org/licenses/by/4.0/).
Share and Cite
Ganeva, R.; Parvanov, D.; Ruseva, M.; Handzhiyska, M.; Safir, J.; Jelezarsky, L.; Tihomirova, T.; Metodiev, D.; Stamenov, G.; Hadjidekova, S. Intrauterine Autologous PBMC Therapy: Effects on Endometrial Immunity and IVF Success in Repeated Implantation Failure. Immuno 2025, 5, 54. https://doi.org/10.3390/immuno5040054
Ganeva R, Parvanov D, Ruseva M, Handzhiyska M, Safir J, Jelezarsky L, Tihomirova T, Metodiev D, Stamenov G, Hadjidekova S. Intrauterine Autologous PBMC Therapy: Effects on Endometrial Immunity and IVF Success in Repeated Implantation Failure. Immuno. 2025; 5(4):54. https://doi.org/10.3390/immuno5040054
Chicago/Turabian StyleGaneva, Rumiana, Dimitar Parvanov, Margarita Ruseva, Maria Handzhiyska, Jinahn Safir, Lachezar Jelezarsky, Teodora Tihomirova, Dimitar Metodiev, Georgi Stamenov, and Savina Hadjidekova. 2025. "Intrauterine Autologous PBMC Therapy: Effects on Endometrial Immunity and IVF Success in Repeated Implantation Failure" Immuno 5, no. 4: 54. https://doi.org/10.3390/immuno5040054
APA StyleGaneva, R., Parvanov, D., Ruseva, M., Handzhiyska, M., Safir, J., Jelezarsky, L., Tihomirova, T., Metodiev, D., Stamenov, G., & Hadjidekova, S. (2025). Intrauterine Autologous PBMC Therapy: Effects on Endometrial Immunity and IVF Success in Repeated Implantation Failure. Immuno, 5(4), 54. https://doi.org/10.3390/immuno5040054

