Abstract
Industrial hemp (Cannabis sativa L.) has many applications, including the production of textiles, agricultural extracts, nutritional products, and botanicals enriched with cannabinoids and full-spectrum terpenes naturally present in the plant. In this study, the dynamics of distribution and accumulation of 10 main cannabinoids in hemp were quantified. Hemp bioactive compounds were evaluated for anti-inflammatory activity in lipopolysaccharide-induced RAW 264.7 macrophage cells. While all tissues of hemp showed moderate anti-inflammatory properties, female flowers demonstrated the highest activity. CBD showed the strongest anti-inflammatory activity with suppression of nitric oxide production at 2 μg/mL and the reduced expressions of the pro-inflammatory genes COX-2, IL-6, and TNF-α at as low as 2 ng/mL. The topical hemp inflorescences (1–50 μg/mL) and CBD alone (20–200 ng/mL) also improved mitochondrial respiration. These data contribute to the future development of agricultural and plant management techniques to produce hemp with specific metabolite profiles to selectively support immune health.
1. Introduction
Cannabis sativa L. is an herbaceous species originating in Central Asia, with multiple uses and reported as one of the oldest plants cultivated by humanity [1]. This plant was initially used for textile and rope production due to its resistant and malleable fibers, and for its medicinal properties, already described in 77 AD by Pliny the Elder, as “the decoction of the root in water relaxes contractions and pain in joints and cures gout and similar evils” [2]. It is currently used in ceremonial, recreational, therapeutic, and medicinal applications across the different cultures of the world due to its psychotropic and non-psychotropic activities, which contributed to the plant spreading from the center of origin to almost all regions of the world [3,4].
The Cannabis market is currently experiencing revived interest and strong growth fueled either by the opening of the new markets from a political/legal point of view due to an increasing number of countries adopting laws that allow its medicinal and/or recreational use [5], or by the development of new products in several non-traditional sectors such as textiles, auto industry, food, biofuels, bioplastics, construction, and pet products, among others [6]. It is reported that by 2025 the growing market for this plant will exceed $24 billion in sales and create an excess of 250,000 new jobs in the USA alone if it remains in its current form [7].
Considering this demand, the economic and medicinal relevance that already exists and is growing, and the recent legal opportunity strongly support advanced studies on this species. The academic community sees efforts to improve hemp phytochemical characterization, aiming at the development of more adapted varieties to supply the required compounds by each industry, observing the multiple exploitation potential of the species and its high biomass production capacity [1,8]. Hemp is reported as a plant with interesting agricultural characteristics such as good resistance to diseases and pests, good development of the root system, and low water requirements [1]. Additionally, there is a need to guide the agricultural management of these varieties in a specific way to optimize technological processes and final products [9].
Approximately 100 bioactive compounds are found in hemp tissues, among which cannabidiol (CBD) and tetrahydrocannabinol (THC) are the two most produced molecules [4]. A complete understanding of changes in the hemp phytochemical profile, in the context of the synthesis routes, physiological dynamics and bioactivity is critically lacking, especially when focusing on the secondary metabolites with bioactive potential for human health such as cannabinoids, terpenes and phenolics [1,10]. Among the reported therapeutic uses of hemp, such as for the treatment of refractory epilepsies, infections, tumors, nausea, pain and inflammation, the latter stands out for its historical ethnobotanical support and needs further proof of clinical efficiency [2,11].
The inflammatory process is one of the imbalances in the normal functions of the human body, which results in several pathological reactions triggered throughout life. Among the associated biomarkers, there are reactive oxygen species (ROS) and reactive nitrogen species (RNS) [12]. ROS are generated during normal aerobic cell metabolism; however, their biological effects will depend on the concentration, determined by the balance between their production and consumption [13]. During oxidative stress, high levels of RNS including nitric oxide (NO) generally contribute to development of the degenerative disorders. While cells have the natural defense systems that fight ROS/RNS, factors such as aging, air pollution, infections caused by viruses and stress contribute to the imbalance between the production and neutralization of these reactive species, disrupting the process of homeostasis [14]. As a result, harmful consequences for cell viability and human health arise. Among other pathologies, oxidative changes in nucleic acids responsible for mutagenic processes and cancer are often observed [13].
Macrophages are versatile immune cells capable of executing distinct functional transcriptional programs in response to micro-environmental influences, through the production of cytokines and pro-inflammatory mediators such as NO synthesized by inducible nitric oxide synthase (iNOS), especially abundant when exposed to microbial products that constitute a threat to the body [15]. This role of macrophage cells is fundamental in combating the inflammatory process, as they release pro-inflammatory signals that including interleukins (IL-1 and IL-6), tumor necrosis factor (TNF-α), and other mediators [13]. In RAW 264.7 murine macrophage cells, this process is dependent on the induction of inflammation by lipopolysaccharides (LPS), an abundant endotoxin in the outer membrane of most Gram-negative bacteria with fundamental function during host-pathogen interaction [16]. It is expected that hemp extracts, by inhibiting the production of pro-inflammatory molecules, have a therapeutic function against inflammatory diseases [15]. The immune effects of cannabinoids can involve innate or adaptive responses as summarized recently [17]. The question that remains virtually unexplored is the rapid shift in bioenergetic parameters upon inflammation and M1 pro-inflammatory polarization of immune cells [18], and contribution of cannabinoid-mediated changes in mitochondrial respiration to their anti-inflammatory effects [19].
Thus, the aim of this study was to determine the major cannabinoid profile of whole extracts from different tissues of male and female hemp plants, as well as female flowers collected during the different stages of plant growth. In addition, the anti-inflammatory capacity of these extracts was tested in vitro by quantifying reduction in NO production and pro-inflammatory gene expression in LPS-stimulated RAW 264.7 macrophages. These findings could further relate the composition and bioactivity of hemp products to the potential improvement of health status and can be useful to support agronomic production and development of novel ingredients in the botanical and food industry.
2. Materials and Methods
2.1. Plant Materials
Vegetative cuttings from plants of CBD dominant (Type III) cultivar “BaOx” were rooted in a climate-controlled greenhouse at North Carolina State University (Raleigh, NC, USA) in July 2018. The plants accumulated vegetative growth under the artificial 18 h light cycles for 12 weeks. The clones of approximately 48-inch height were then exposed to the natural photoperiod (long night) in October 2018. After onset of flowering, 3-inch portions of terminal inflorescence (including stem and subtending leaves) were sampled from the lower and upper laterals at three sampling dates at 14 d intervals, and the apical inflorescence was collected on the last sampling dater in December 2018 (n = 12). Mature roots, stems, leaves and flowers of male and female plants were field-grown, seeds and male flowers were not available for analysis. All hemp samples were collected into paper bags and stored at −20 °C. The samples were dried using a forced-air laboratory oven until the sample moisture stabilized. The samples were milled into powder using a laboratory mill and then stored at 4 °C until analysis.
2.2. Extraction and HPLC Analysis
Crude extracts of dry tissues were prepared and analyzed in the Komarnytsky lab against Shimadzu (Columbia, MD, USA) cannabinoid reference standards (#220-91239-21) using a Shimadzu Prominence LC-2030C system equipped with a Ultra C18 column (250 mm × 4.6 mm, 5 μm dp, Restek, Bellefonte, PA, USA) and a Restek Ultra C18 guard column (10 mm × 2.1 mm, 5 μm dp) according to the previously published analytical procedure with some modifications [20]. Briefly, 1 g tissues were extracted with 20 mL of the 9:1 mixture of methanol and chloroform with sonication for 30 min at 37 °C with shaking at 200 rpm, and repeated twice. The liquid extracts were combined, centrifuged at 3000 rpm for 5 min at room temperature, and evaporated to dryness using Rotovapor R210 (Büchi, New Castle, DE, USA). The residues were dissolved in 1 mL methanol, filtered through a syringe with a 0.45 μm PFTE membrane (Fisher Scientific, Pittsburg, PA, USA), and 20 μL were further subjected to the HPLC analysis.
2.3. Cell Culture
The anti-inflammatory properties of the hemp extracts were analyzed using murine macrophages RAW 264.7 cells (ATCC TIB-71, obtained from American Type Culture Collection, Livingstone, MT, USA). Dry extracts were reconstituted in DMSO at the stock concentration of 100 mg/mL, then a serial dilution of 50, 25, 5 and 1 mg/mL were prepared and stored at −20 °C until later use. RAW 264.7 cells were maintained in Dulbecco’s modified Eagle medium (DMEM, Life Technologies, Grand Island, NY, USA, Lot 2003777), supplemented with 100 μg/mL penicillin and 100 μg/mL streptomycin (Thermo Fisher Scientific, Waltham, MA, USA) and 10% (v/v) fetal bovine serum (FBS, Life Technologies) at a confluence of no more than 80%. The cell strains were kept in a humidified incubator containing 5% CO2 at 37 °C until the approximate count of 2.8 × 105 cells/mL [21].
Rat L6 skeletal muscle cell line CRL-1458 was obtained from ATCC (Manassas, VA, USA). Myoblasts were routinely maintained in Dulbecco’s modified Eagle’s medium (DMEM) containing 10% FBS and 0.1% penicillin-streptomycin at 37 °C and 5% CO2 [22].
2.4. Cell Viability
The cytotoxicity of samples against mouse macrophages was evaluated spectrophotometrically after 24 h of exposure of cells to extracts in a dose range of 10–100 μg/mL, and the addition of 3-(4,5-dimethylthiazol-2-yl)-2,5-diphenyltetrazolium bromide (MTT), as early described [21]. RAW 264.7 cells were seeded in 96-well plates, in duplicate and after confluence in 24 h, were treated with plant extracts. After 18 h, the treated macrophages were exposed to the MTT reagent for 4 h, which in viable cells produces purple formazan—artificial chromogenic product resulting from the reduction of tetrazolium salts by the enzyme Mitochondria Reductase. This precipitate was measured (Synergy H1, Biotek, Winooski, VT, USA) at the wavelength of 570 nm and compared with negative controls: negative (0.1% DMSO) and positive (1% DMSO).
2.5. Nitric Oxide Production
The ability of test samples to suppress the NO radical formation in LPS-activated macrophages was determined as described previously [21]. For NO production measurement, 24-well plates were treated with plant extracts at the final concentration of 50 μg/mL and cannabinoid standards at 2 μg/mL for 1 h. Inflammatory response was induced by 10 ng/mL LPS and incubated for another 18 h. Positive control included 10 μM dexamethasone (DEX) (a reference compound belonging to the class of corticosteroids, with anti-inflammatory and immunosuppressive action, which can prevent or suppress inflammatory processes of various types); and the vehicle alone was used as a negative control to quantify cellular activity without the stimulated inflammatory response. NO was determined by a colorimetric assay using the Griess reagent system (Promega Corporation, Madison, WI, USA) described as manufacturer protocol. Initially, 100 μL of Griess reagent (1% sulfanilamide and 0.1% naphthylethylenediamine in 5% phosphoric acid) was added to 50 μL of medium and incubated for 10 min in the dark at room temperature. The absorbance was read at 520 nm on a microplate reader (Synergy H1, Biotek). The results were expressed as NO production (%) relative to LPS.
2.6. Gene Expression Analysis
Studies were performed in 24-well plates treated with cannabinoid standards at 2 ng/mL for 1 h. Subsequently, 10 ng/mL LPS was added and incubated for 4 h. The supernatant was removed, and cells were harvested in TRIzol reagent for RNA extraction, cDNA synthesis, and inflammatory gene expression analysis as described before [21].
2.7. Cellular Respiration Assay
Muscle L6 cells were seeded in 24-well XF assay plate (2.0 × 104 cells per well) overnight and were subjected to real-time measurements of oxygen consumption rate (OCR) and extracellular acidification rate (ECAR), using Agilent Seahorse XF24 Extracellular Flux Analyzer (Seahorse Biosciences, North Billerica, MA, USA). Cells were then transferred to 500 μL of XF assay medium (DMEM without NaHCO3, 10 mM glucose, 2 mM pyruvate, pH 7.4), and equilibrated in a non-CO2 incubator at 37 °C for 1 h. OCR and ECAR were automatically recorded by Seahorse XF24 software v1.8 after treatments with extracts at 50 μg/mL. Basal OCR and ECAR rates were determined by averaging the last 4 basal measurements. Next, for mitochondrial stress tests, the mitochondrial complex inhibitors were injected sequentially in the following order oligomycin (1 μM), FCCP (0.75 μM), antimycin A/rotenone (1 μM each), and 4 readings were taken after each inhibitor [23].
2.8. Statistical Analysis
The statistical analysis was performed using the software GraphPad Prism 9.0 (GraphPad Software Inc., La Jolla, CA, USA). All data were submitted to one-way ANOVA and Tukey or Dunnett tests with p < 0.05. Analysis of differences between individual experimental groups was performed using Tukey’s multiple comparison tests, and between the groups tested and LPS using Dunnett’s multiple comparison tests. The tests were performed with at least 3 repetitions. All results are expressed as mean ± SEM.
3. Results and Discussion
3.1. Quantification of Cannabinoids in CBD Hemp Tissues
Mature CBD hemp plants accumulated a range of cannabinoids in their tissues at the time of collection, it varied from 5–10 μg/g dry weight (DW) in the root tissue to 20–30 mg/g DW in the hemp flowers (Table 1). ∆8-Tetrahydrocannabinol (8-THC) was not detected in any of the samples. While only cannabidiolic acid (CBDA) and tetrahydrocannabinolic acid (THCA) could be detected in roots, both stalks, leaves and flowers expressed a variety of different cannabinoids of CBD, ∆9-tetrahydrocannabinol (9-THC), cannabigerol (CBG), tetrahydrocannabivarin (THCV), and cannabigerolic acid (CBGA) biosynthetic routes. Cannabidivarin (CBDV) and cannabinol (CBN) could only be detected in leaves and flowers. CBDA and its neutral form CBD remained the major components in the phytochemistry profiles of CBD hemp tissues, averaging between 72–78% (CBDA) and 3–7% (CBD) of total cannabinoids recovered from the hemp tissues. These findings are similar to the CBD-predominant hemp chemotypes cultivated in Europe [24].
Table 1.
Content of cannabinoids (µg/g) in different tissues of male and female CBD hemp plants.
Female plants on average accumulated 30–50% more cannabinoids than their male counterparts. Flower inflorescences from different position (lower, upper lateral, or topical; Figure 1a) or collection time points (2, 4, and 6 weeks after induction of flowering; Figure 1b) showed a significant biphasic difference in accumulation of CBDA/CBD in these tissues (p < 0.05). CBD accumulated the most in the late collection at 6 weeks. When considering the position of the inflorescence in the plant, it can be observed that for this compound, higher concentrations were found in the flowers of the stem apex (Figure 1b).
Figure 1.
Biphasic accumulation of cannabidiol (CBD) in lateral and topic inflorescences of CBD hemp plants during the 6 weeks of flowering period. (a) Temporal accumulation of CBD in inflorescences collected 2, 4, and 6 weeks after induction of flowering, and (b) spatial distribution of CBD in lower, upper and topical (apex) inflorescences collected at 6 weeks. Samples denoted with the same letter (A, B, C) are not statistically distinct.
3.2. Quantification of Cannabinoids in CBD Hemp Tissues
The determination of cell viability or cytotoxicity is an important step developed prior to in vitro biological activity assays. The technique consists of evaluating the reduction of MTT (water-soluble crystals) to formazan (insoluble compound with a blue-purple color). If there is cell viability, the reaction will occur, with a correlation between the optical density and the number of viable cells [22]. In this assay, cells treated with whole tissue extracts from roots, stems, leaves and flowers of male and female plants, in concentrations of 10, 50 and 100 μg/mL, were subjected to the MTT cell viability testing for 4 h. The two lowest concentrations tested in this experiment showed no toxicity (p > 0.05), since cell viability is greater than 80% for all samples. CBD alone showed no apparent toxicity in vitro up to concentration of 500 ng/mL but was detrimental to cells when applied at the concentration of 50 μg/mL (Figure 2).
Figure 2.
Effect of whole tissue extracts from male and female CBD hemp plants of Cannabis sativa L. and isolated CBD on cell viability of RAW 264.7 macrophage cells as quantified by MTT assay. Reference treatments included negative control (0.1% DMSO), positive control (1% DMSO). Results expressed as mean ± SEM (n = 3). Samples: male root (RM), female root (RF), male stem (SM), female stem (SF), male leaf (LM), female leaf (LF) and female flower (FF).
CBD-mediated autophagy of neural cells and enhanced cytotoxicity to cancer cells were reported previously [23,24]. A systematic review performed to evaluate the biological effects of CBD on normal human healthy cells also noted heterogeneous CBD concentration exposure (0.01–50 μM), with inhibition of cell viability observed in a dose-dependent manner above 2 μM [25].
3.3. Nitric Oxide Production in Macrophages
The inflammatory process can be triggered by various stimuli of a physical, chemical, or microbiological nature, leading to the occurrence of cascading cellular events. Among these reactions, is the release of key enzymes and chemical mediators, which act in different ways and can control the process [13]. In this study, lipopolysaccharide was used as an inducer of the inflammatory response, which is the main component of the endotoxin extracted from the cell walls of gram-negative bacteria. When administered to RAW 264.7 macrophage cells, LPS is capable of quickly triggering inflammatory reactions [16].
Nitric oxide is one of the mediators that promotes vasodilation and consequent increase in blood flow during the inflammatory process [13]. With the induction of the inflammatory response caused by LPS, it is expected that NO production increases considerably [26]. The samples of female stems and leaves showed comparatively superior performance to the male tissues. Roots of both genders and female stems inhibited the production of nitric oxide, similar to DEX (p < 0.01). Among the tested samples, the flowers of female plants had the best activity to reduce the production of the species reactive to oxygen (Figure 3a). We also observed no remarkable position- or age-related differences in anti-inflammatory activity found in lateral and topical hemp inflorescences. The findings may be associated with the high concentration of cannabinoids found in the hemp flowers and highlight a prominent potential of the Cannabis sativa L. floral tissues in ameliorating the inflammatory process in vitro (Figure 3b).
Figure 3.
Inhibitory effect of Cannabis sativa L. extracts on the LPS-induced NO production in macrophages. (a) Whole extracts from different tissues of male and female plants, (b) spatial and temporal sampling of hemp inflorescences, where samples are coded as A-Upper 2 weeks sampling; B-Lower 2 weeks sampling; C-Upper 4 weeks sampling; D-Lower 4 weeks sampling; E-Higher 6 weeks sampling; F-Lower 6 weeks sampling and G-Apical 6 weeks sampling, and (c) activity of the cannabinoid reference standards. Treatments included negative control (0.1% DMSO), LPS-induced inflammation control (LPS), and a positive control (10 μM dexamethasone, DEX). Results were expressed as mean ± SEM (n = 3). Samples marked with an asterisk are significantly different compared to LPS. * p < 0.05; ** p < 0.01; *** p < 0.001; **** p < 0.0001.
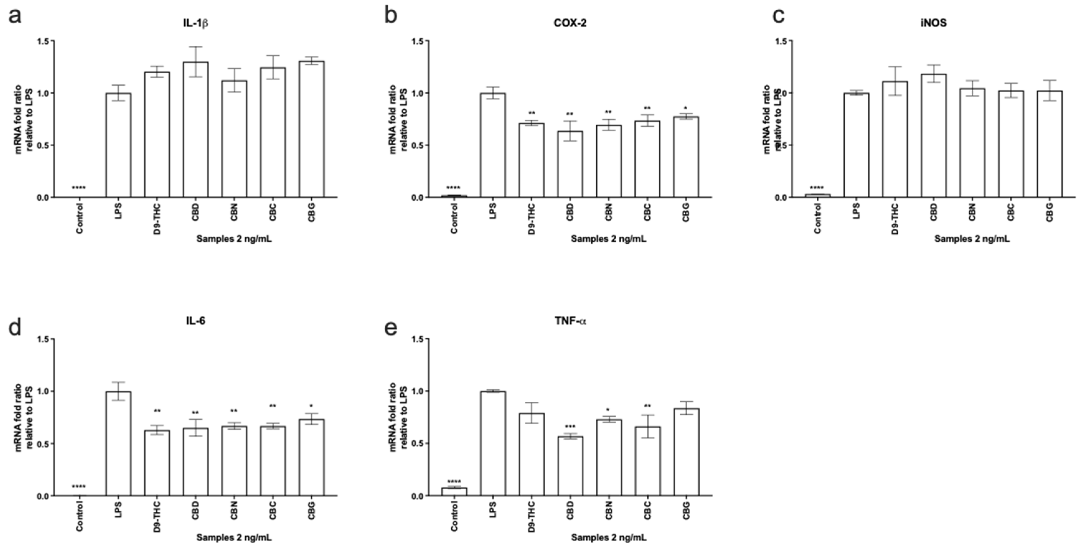
In general, anti-inflammatory potential of CBD hemp plants correlated with the total cannabinoid content of the tissues and was more prominent in the female plant. Both male and female roots with low cannabinoid levels also showed a moderate anti-inflammatory activity, and this suggested a presence of a different anti-inflammatory phytochemical in these tissues which did not belong to the class of major cannabinoids. ∆9-THC, CBD, CBN, CBC, and CBG were likely responsible for the major anti-inflammatory effect of the hemp plants in this assay, as concentrations as low as 2 µg/mL were found effective (Figure 3c). In this experimental system, hemp extracts containing high levels of CBD performed equally well or better than the reference drug (10 μM dexamethasone); similar high potency effects of cannabinoids were observed in lung epithelial cells and pro-inflammatory macrophage cultures recently [27]. Activated inflammatory cascades are associated with the release of these proinflammatory cytokines: interleukin-1β (IL-1β, induces early responses against infection or injury), cyclooxygenase-2 (COX-2, derives prostaglandin E2 which is associated with increased inflammation), iNOS (function as an upstream enhancer of inflammatory response), IL-6 (amplify acute inflammation, and promote the evolution into a chronic inflammatory state, and TNF-α (contributes to oxidative stress in sites of inflammation) [28,29]. Although, positive effects on NO production at 2 μg/mL were observed, the inhibition to iNOS and IL-1β were not significantly different to the LPS control at a much lower concentration of 2 ng/mL. These differences can be explained in part by post-transcriptional regulation of iNOS by other cytokines [30]. However, all the five CBD compounds were able to suppress the expressions of gene COX2 and IL-6 significantly at 2 ng/mL, and CBD, CBN, and CBC were able to suppress the expressions of TNF-α compared to LPS control group (Figure 4). Earlier, cannabinoids were found to increase antioxidant defense of RAW macrophages by modulating superoxide dismutase-1 expression and thus inhibiting cell death [31].
Figure 4.
Inhibitory effect of five cannabinoid reference standards on the LPS-induced inflammatory related gene expressions (a) Interleukin-1β (IL-1β), (b) Cyclooxygenase-2 (COX-2), (c) Inducible nitric oxide synthase (iNOS), (d) Interleukin-6 (IL-6), (e) Tumor necrosis factor (TNF-α) in macrophages when tested at the low concentration of 2 ng/mL. ∆9-THC: ∆9-tetrahydrocannabinol; CBD: cannabidiol; CBN: cannabinol; CBC: cannabichromene; CBG: cannabigerol. Results expressed as mean ± SEM (n = 3). Samples marked with an asterisk are significantly different compared to LPS. * p < 0.05; ** p < 0.01; *** p < 0.001; **** p < 0.0001.
3.4. Changes in Cellular Respiration Associated with Cannabinoids
To determine whether the biological effects of CBD hemp extracts and its major cannabinoid CBD are associated with changes in mitochondrial function and bioenergetics, we examined activity of two major pathways of cellular respiration, oxidative phosphorylation (OCR) and glycolysis (ECAR) by directly measuring cellular bioenergetics coupled with mitochondrial stress tests using an XF24 Extracellular Flux Analyzer (Figure 5).
Figure 5.
Effects of CBD (a,b) and hemp flower extracts (c,d) on cellular mitochondrial respiration. Individual panels show changes in oxidative phosphorylation (a,c) and glycolysis (b,d) rates in response to the treatments. Cells were treated for 4h and subjected to 6 baseline bioenergetics readings followed by the 12 reads of the corresponding treatments to quantify OCR from ATP production (oligomycin), maximum OCR (FCCP), and non-mitochondrial OCR (antimycin and rotenone), expressed as mean ± SEM (n = 3).
Under basal treatment conditions, higher doses of CBD (20–200 ng/mL) and whole topical hemp inflorescence extracts in the range of 1–10 µg/mL increased mitochondrial respiration. The effect was detrimental when higher concentrations (50 µg/mL) of extracts were used, and this falls in line with the cell viability data that showed some cell toxicity associated with high concentrations of hemp extracts. No significant changes to glycolysis were noted with all treatments. These findings contradict the data reported previously that CBD when tested at IC10 and IC50 concentrations decreased basal and maximal respiration thus indicating a mitochondrial dysfunction in THP-1 monocytes [32]. This discrepancy maybe explained in part by the opposing effects of CBD on regulation of inflammation in different immune tissues [27]. Thus, CBD has a differential inflammatory and bioenergetic response that is likely strongly influenced by presence of other phytochemical constituents in whole hemp extracts, which may be a confounding factor in understanding hemp related pharmacological and toxicological effects [33]. Differences in cell- and tissue-specific response to cannabinoids, and, in some cases, cannabinoid dose may help to explain equivocal outcomes of these studies [34].
4. Conclusions
In this study, when determining the phytochemical profile of integral extracts from different tissues of male and female hemp plants, higher concentrations were observed in the tissues of female plants for all cannabinoids quantified, with the highest levels being recorded in flowers. The low concentrations of cannabinoids in the roots of both sexes were notable, considering the moderate anti-inflammatory capacity of root extracts. The biological activities found in these tissues may provide an additional opportunity for developing other added-value biologically active products. This is of particular interest for farmers who produced large quantities of hemp roots.
Female flowers showed a dynamic cannabinoid accumulation behavior in relation to the positions and age of the inflorescence, suggesting the need to gain additional knowledge to guide the agricultural management towards the most optimal timing and position of the harvest by the agricultural producers. In addition, the differential anti-inflammatory effect of CBD hemp tissue extracts warrants for additional preclinical and clinical investigations to develop additional novel intervention from the Cannabis plant, which in turn will increase the demand for the agricultural production of hemp.
By clarifying both the functional composition and the mechanism of action of the cannabinoid constituents of hemp, the future studies have the potential to relate the activity of bioactive compounds to the improvement of the health status, and to promote the development of novel ingredients by the pharmaceutical, food and cosmetic industries, thus contributing to the growth of the agronomic production sector. A better understanding of the physiological dynamics of the production and accumulation of secondary compounds of interest for different industries and applications, will further assist in decision making by optimizing agroeconomic management of hemp crops.
Supplementary Materials
The following are available online at https://www.mdpi.com/article/10.3390/immuno1040025/s1, Supplementary Figure S1: HPLC-UV detection and full baseline resolution.
Author Contributions
E.O. conceived, designed, and performed hemp growth trials; T.R. developed and performed HPLC quantification analysis; L.G.A.E. performed extractions, quantification, and cell culture experiments; J.X. and D.A.E. performed cell culture and gene expression analysis; S.K. performed bioenergetic analysis; L.G.A.E., S.K., D.J.H.d.S. and D.A.E. conceived and designed the study, L.G.A.E., J.X., D.J.H.d.S. and D.A.E. wrote the manuscript, S.K. edited the manuscript. All authors have read and agreed to the published version of the manuscript.
Funding
This work was supported in part by North Carolina State University—Hatch Project # 1016019 (NC02671) from the United States Department of Agriculture (USDA) National Institute of Food and Agriculture to D.E. and USDA National Institute of Food and Agriculture Hatch project # 1023927 (NC02815) to S.K.
Institutional Review Board Statement
Not applicable.
Informed Consent Statement
Not applicable.
Data Availability Statement
Data is available from the corresponding author upon request.
Conflicts of Interest
The authors declare no conflict of interest.
References
- Andre, C.M.; Hausman, J.-F.; Guerriero, G. Cannabis sativa: The plant of the thousand and one molecules. Front. Plant. Sci. 2016, 7, 19. [Google Scholar] [CrossRef] [Green Version]
- Ryz, N.R.; Remillard, D.J.; Russo, E.B. Cannabis roots: A traditional therapy with future potential for treating inflammation and pain. Cannabis Cannabinoid Res. 2017, 2, 210–216. [Google Scholar] [CrossRef]
- Koutouki, K.; Lofts, K. Cannabis, reconciliation, and the rights of indigenous peoples: Prospects and challenges for cannabis legalization in Canada. Alta. Law Rev. 2019, 56, 709. [Google Scholar] [CrossRef]
- Parker, K.A.; Di Mattia, A.; Shaik, F.; Ortega, J.C.C.; Whittle, R. Risk management within the cannabis industry: Building a framework for the cannabis industry. Financ. Mark. Inst. Instrum. 2019, 28, 3–55. [Google Scholar] [CrossRef] [Green Version]
- Cerino, P.; Buonerba, C.; Cannazza, G.; D’Auria, J.; Ottoni, E.; Fulgione, A.; Di Stasio, A.; Pierri, B.; Gallo, A. A review of hemp as food and nutritional supplement. Cannabis Cannabinoid Res. 2021, 6, 19–27. [Google Scholar] [CrossRef] [Green Version]
- Malcher-Lopes, R. Cannabinoids help to unravel etiological aspects in common and bring hope for the treatment of autism and epilepsy. Rev. Biol. 2014, 13, 43–59. [Google Scholar]
- Camors, C.; Chavez, S.L.; Romi, A.M. The cannabis industry within the USA: The influence of gender on cannabis policy and sales. Sustain. Account. Manag. Policy J. 2020, 11, 1095–1126. [Google Scholar] [CrossRef]
- Atakan, Z. Cannabis, a complex plant: Different compounds and different effects on individuals. Ther. Adv. Psychopharmacol. 2012, 2, 241–254. [Google Scholar] [CrossRef] [Green Version]
- Johnson, R. Hemp as an Agricultural Commodity; Library of Congress Washington DC Congressional Research Service: Washington, DC, USA, 2014. [Google Scholar]
- Rodriguez, C.E.B.; Ouyang, L.; Kandasamy, R. Antinociceptive effects of minor cannabinoids, terpenes and flavonoids in Cannabis. Behav. Pharmacol. 2021. [Google Scholar] [CrossRef]
- Suryavanshi, S.V.; Kovalchuk, I.; Kovalchuk, O. Cannabinoids as key regulators of inflammasome signaling: A current perspective. Front. Immunol. 2021, 11, 613613. [Google Scholar] [CrossRef]
- Fubini, B.; Hubbard, A. Reactive oxygen species (ROS) and reactive nitrogen species (RNS) generation by silica in inflammation and fibrosis. Free. Radic. Biol. Med. 2003, 34, 1507–1516. [Google Scholar] [CrossRef]
- Zhai, X.-T.; Zhang, Z.-Y.; Jiang, C.-H.; Chen, J.-Q.; Ye, J.-Q.; Jia, X.-B.; Yang, Y.; Ni, Q.; Wang, S.-X.; Song, J.; et al. Nauclea officinalis inhibits inflammation in LPS-mediated RAW 264.7 macrophages by suppressing the NF-κB signaling pathway. J. Ethnopharmacol. 2016, 183, 159–165. [Google Scholar] [CrossRef]
- Wójcik, P.; Gęgotek, A.; Žarković, N.; Skrzydlewska, E. Oxidative stress and lipid mediators modulate immune cell functions in autoimmune diseases. Int. J. Mol. Sci. 2021, 22, 723. [Google Scholar] [CrossRef]
- Wang, L.; Li, H.; Zhao, C.; Li, S.; Kong, L.; Wu, W.; Kong, W.; Liu, Y.; Wei, Y.; Zhu, J.-K.; et al. The inhibition of protein translation mediated by AtGCN1 is essential for cold tolerance in Arabidopsis thaliana. Plant. Cell Environ. 2016, 40, 56–68. [Google Scholar] [CrossRef] [Green Version]
- Maldonado, R.F.; Sa-Correia, I.; Valvano, M.A. Lipopolysaccharide modification in Gram-negative bacteria during chronic infection. FEMS Microbiol. Rev. 2016, 40, 480–493. [Google Scholar] [CrossRef]
- Nichols, J.M.; Kaplan, B.L. Immune responses regulated by cannabidiol. Cannabis Cannabinoid Res. 2020, 5, 12–31. [Google Scholar] [CrossRef] [Green Version]
- Tan, H.-Y.; Wang, N.; Li, S.; Hong, M.; Wang, X.; Feng, Y. The reactive oxygen species in macrophage polarization: Reflecting its dual role in progression and treatment of human diseases. Oxidative Med. Cell. Longev. 2016, 2016, 1–16. [Google Scholar] [CrossRef] [Green Version]
- Beji, C.; Loucif, H.; Telittchenko, R.; Olagnier, D.; Dagenais-Lussier, X.; Van Grevenynghe, J. Cannabinoid-Induced Immunomodulation during Viral Infections: A Focus on Mitochondria. Viruses 2020, 12, 875. [Google Scholar] [CrossRef]
- Young, C.; Clifford, B. The quantitative determination of phytocannabinoids in hemp oils using HPLC with UV detection. Cannabis Sci. Technol. 2018, 1, 38–43. [Google Scholar]
- Hoskin, R.T.; Xiong, J.; Esposito, D.; Lila, M.A. Blueberry polyphenol-protein food ingredients: The impact of spray drying on the in vitro antioxidant activity, anti-inflammatory markers, glucose metabolism and fibroblast migration. Food Chem. 2019, 280, 187–194. [Google Scholar] [CrossRef]
- Esposito, D.; Rathinasabapathy, T.; Poulev, A.; Komarnytsky, S.; Raskin, I. Akt-dependent anabolic activity of natural and synthetic brassinosteroids in rat skeletal muscle cells. J. Med. Chem. 2011, 54, 4057–4066. [Google Scholar] [CrossRef] [Green Version]
- Xiong, J.; Grace, M.H.; Esposito, D.; Komarnytsky, S.; Wang, F.; Lila, M.A. Polyphenols isolated from Acacia mearnsii bark with anti-inflammatory and carbolytic enzyme inhibitory activities. Chin. J. Nat. Med. 2017, 15, 816–824. [Google Scholar] [CrossRef]
- Fernandez, B.E.; Peterseil, V.; Hackl, G.; Menges, S.; Meijer, E.; Staginnus, C. Distribution of chemical phenotypes (chemotypes) in European agricultural hemp (cannabis sativa L.) cultivars. J. Forensic Sci. 2019, 65, 715–721. [Google Scholar] [CrossRef]
- Pagano, S.; Coniglio, M.; Valenti, C.; Federici, M.I.; Lombardo, G.; Cianetti, S.; Marinucci, L. Biological effects of Cannabidiol on normal human healthy cell populations: Systematic review of the literature. Biomed. Pharmacother. 2020, 132, 110728. [Google Scholar] [CrossRef]
- Orecchioni, M.; Ghosheh, Y.; Pramod, A.B.; Ley, K. Macrophage polarization: Different gene signatures in M1(LPS+) vs. classically and M2(LPS–) vs. alternatively activated macrophages. Front. Immunol. 2019, 10, 1084. [Google Scholar] [CrossRef]
- Anil, S.M.; Shalev, N.; Vinayaka, A.C.; Nadarajan, S.; Namdar, D.; Belausov, E.; Shoval, I.; Mani, K.A.; Mechrez, G.; Koltai, H. Cannabis compounds exhibit anti-inflammatory activity in vitro in COVID-19-related inflammation in lung epithelial cells and pro-inflammatory activity in macrophages. Sci. Rep. 2021, 11, 1–14. [Google Scholar] [CrossRef]
- Zelová, H.; Hošek, J. TNF-α signalling and inflammation: Interactions between old acquaintances. Inflamm. Res. 2013, 62, 641–651. [Google Scholar] [CrossRef]
- Xiong, J.; Matta, F.V.; Grace, M.; Lila, M.A.; Ward, N.I.; Felipe-Sotelo, M.; Esposito, D. Phenolic content, anti-inflammatory properties, and dermal wound repair properties of industrially processed and non-processed acai from the Brazilian Amazon. Food Funct. 2020, 11, 4903–4914. [Google Scholar] [CrossRef]
- El-Gayar, S.; Thüring-Nahler, H.; Pfeilschifter, J.; Röllinghoff, M.; Bogdan, C. Translational control of inducible nitric oxide synthase by IL-13 and arginine availability in inflammatory macrophages. J. Immunol. 2003, 171, 4561–4568. [Google Scholar] [CrossRef] [Green Version]
- Giacoppo, S.; Gugliandolo, A.; Trubiani, O.; Pollastro, F.; Grassi, G.; Bramanti, P.; Mazzon, E. Cannabinoid CB2 receptors are involved in the protection of RAW264.7 macrophages against the oxidative stress: An in vitro study. Eur. J. Histochem. 2017, 61, 61. [Google Scholar] [CrossRef] [Green Version]
- Schultze, N.; Wanka, H.; Zwicker, P.; Lindequist, U.; Haertel, B. Mitochondrial functions of THP-1 monocytes following the exposure to selected natural compounds. Toxicology 2017, 377, 57–63. [Google Scholar] [CrossRef] [PubMed]
- Muthumalage, T.; Rahman, I. Cannabidiol differentially regulates basal and LPS-induced inflammatory responses in macrophages, lung epithelial cells, and fibroblasts. Toxicol. Appl. Pharmacol. 2019, 382, 114713. [Google Scholar] [CrossRef] [PubMed]
- Chan, J.; Duncan, R. Regulatory effects of cannabidiol on mitochondrial functions: A review. Cells 2021, 10, 1251. [Google Scholar] [CrossRef] [PubMed]
Publisher’s Note: MDPI stays neutral with regard to jurisdictional claims in published maps and institutional affiliations. |
© 2021 by the authors. Licensee MDPI, Basel, Switzerland. This article is an open access article distributed under the terms and conditions of the Creative Commons Attribution (CC BY) license (https://creativecommons.org/licenses/by/4.0/).




