An Analysis of Ionospheric Conditions during Intense Geomagnetic Storms (Dst ≤ −100 nt) in the Period 2011–2018 †
Abstract
:1. Introduction
2. Data Used and Methodology
3. Results
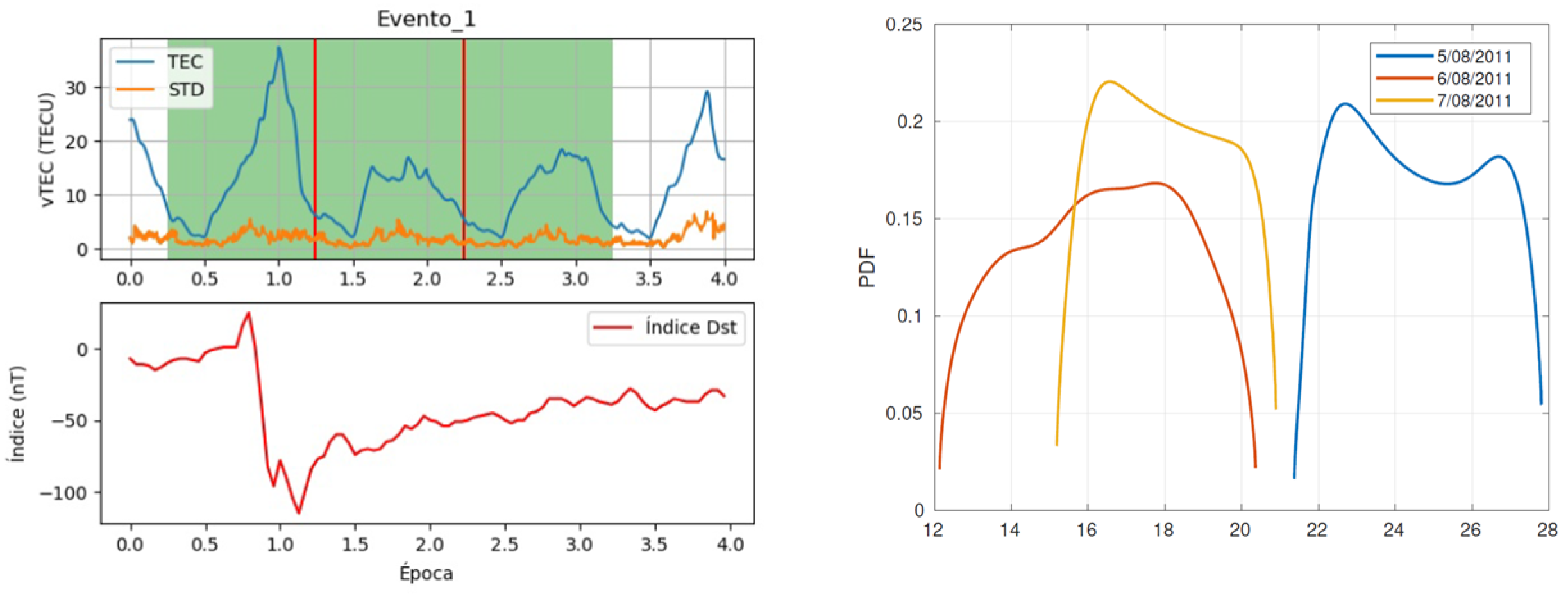
3.1. Event 1 (6 August 2011)
3.2. Event 2 (26 September 2011)
3.3. Event 3 (25 October 2011)
3.4. Event 4 (9 March 2012)
4. Conclusions
Author Contributions
Funding
Data Availability Statement
Acknowledgments
Conflicts of Interest
References
- López-Urias, C.; Vazquez-Becerra, G.E.; Nayak, K.; López-Montes, R. Analysis of Ionospheric Disturbances during X-Class Solar Flares (2021–2022) Using GNSS Data and Wavelet Analysis. Remote Sens. 2023, 15, 4626. [Google Scholar] [CrossRef]
- Nishimoto, S.; Watanabe, K.; Kawai, T.; Imada, S.; Kawate, T. Validation of computed extreme ultraviolet emission spectra during solar flares. Earth Planets Space 2021, 73, 79. [Google Scholar] [CrossRef]
- Yasyukevich, Y.; Astafyeva, E.; Padokhin, A.; Ivanova, V.; Syrovatskii, S.; Podlesnyi, A. The 6 September 2017 X-class solar flares and their impacts on the ionosphere, GNSS, and HF radio wave propagation. Space Weather. 2018, 16, 1013–1027. [Google Scholar] [CrossRef] [PubMed]
- Marov, M.Y.; Kuznetsov, V.D. Solar Flares and Impact on Earth. In Handbook of Cosmic Hazards and Planetary Defense; Pelton, J., Allahdadi, F., Eds.; Springer: Cham, Switzerland, 2015. [Google Scholar] [CrossRef]
- Singh, A.K.; Bhargawa, A.; Siingh, D.; Singh, R.P. Physics of Space Weather Phenomena: A Review. Geosciences 2021, 11, 286. [Google Scholar] [CrossRef]
- Liu, J.-Y.; Lin, C.-H.; Rajesh, P.K.; Lin, C.-Y.; Chang, F.-Y.; Lee, I.-T.; Fang, T.-W.; Fuller-Rowell, D.; Chen, S.-P. Advances in Ionospheric Space Weather by Using FORMOSAT-7/COSMIC-2 GNSS Radio Occultations. Atmosphere 2022, 13, 858. [Google Scholar] [CrossRef]
- Araujo-Pradere, E.A. GPS-derived total electron content response for the Bastille Day magnetic storm of 2000 at a low mid-latitude station. Geofísica Int. 2005, 44, 211–218. [Google Scholar] [CrossRef]
- Wanninger, L.; Sumaya, H.; Beer, S. Group delay variations of GPS transmitting and receiving antennas. J. Geod. 2017, 91, 1099–1116. [Google Scholar] [CrossRef]
- Kadry, S.; Smaily, K. Using the Transformation Method to Evaluate The Probability Density Function of z = xα yβ. Int. J. Appl. Econ. Financ. 2007, 1, 105–112. [Google Scholar]
- Taylor, C.R. A flexible method for empirically estimating probability functions. West. J. Agric. Econ. 1984, 9, 66–76. [Google Scholar]




| Event | Date | Day Cycle | Dst Index | vTEC Impact |
|---|---|---|---|---|
| 5 | 24 April 2012 | Night | −120 nT | Negative |
| 6 | 15 July 2012 | Day | −140 nT | Negative |
| 7 | 1 October 2012 | Night | −120 nT | Negative |
| 8 | 9 October 2012 | Night | −110 nT | Positive, Negative |
| 9 | 14 November 2012 | Night | −110 nT | Positive |
| 10 | 17 March 2013 | Day | −150 nT | Positive |
| 11 | 1 June 2013 | Night | −124 nT | Negative |
| 12 | 29 June 2013 | Night | −102 nT | Negative |
| 13 | 19 February 2014 | Night | −119 nT | Positive |
| 14 | 17 March 2015 | Day | −222 nT | Positive |
| 15 | 23 June 2015 | Night | −204 nT | Negative |
| 16 | 7 October 2015 | Day | −124 nT | Positive |
| 17 | 20 December 2015 | Day | −155 nT | Positive |
| 18 | 1 January 2016 | Night | −110 nT | Positive, Negative |
| 19 | 13 October 2016 | Day | −104 nT | Positive |
| 20 | 28 May 2017 | Night | −125 nT | Positive, Negative |
| 21 | 8 September 2017 | Night | −124 nT | Negative |
| 22 | 26 August 2018 | Night | −174 nT | Negative |
Disclaimer/Publisher’s Note: The statements, opinions and data contained in all publications are solely those of the individual author(s) and contributor(s) and not of MDPI and/or the editor(s). MDPI and/or the editor(s) disclaim responsibility for any injury to people or property resulting from any ideas, methods, instructions or products referred to in the content. |
© 2023 by the authors. Licensee MDPI, Basel, Switzerland. This article is an open access article distributed under the terms and conditions of the Creative Commons Attribution (CC BY) license (https://creativecommons.org/licenses/by/4.0/).
Share and Cite
Urias, C.L.; Nayak, K.; Becerra, G.E.V.; Montes, R.L. An Analysis of Ionospheric Conditions during Intense Geomagnetic Storms (Dst ≤ −100 nt) in the Period 2011–2018. Environ. Sci. Proc. 2023, 27, 18. https://doi.org/10.3390/ecas2023-16344
Urias CL, Nayak K, Becerra GEV, Montes RL. An Analysis of Ionospheric Conditions during Intense Geomagnetic Storms (Dst ≤ −100 nt) in the Period 2011–2018. Environmental Sciences Proceedings. 2023; 27(1):18. https://doi.org/10.3390/ecas2023-16344
Chicago/Turabian StyleUrias, Charbeth Lopez, Karan Nayak, Guadalupe Esteban Vazquez Becerra, and Rebeca Lopez Montes. 2023. "An Analysis of Ionospheric Conditions during Intense Geomagnetic Storms (Dst ≤ −100 nt) in the Period 2011–2018" Environmental Sciences Proceedings 27, no. 1: 18. https://doi.org/10.3390/ecas2023-16344
APA StyleUrias, C. L., Nayak, K., Becerra, G. E. V., & Montes, R. L. (2023). An Analysis of Ionospheric Conditions during Intense Geomagnetic Storms (Dst ≤ −100 nt) in the Period 2011–2018. Environmental Sciences Proceedings, 27(1), 18. https://doi.org/10.3390/ecas2023-16344

