The Influence of Meteorological Parameters on PM2.5 Concentrations on the Aegean Islands †
Abstract
:1. Introduction
2. Materials and Methods
3. Results and Discussion
3.1. PM2.5 Concentrations and Temperature
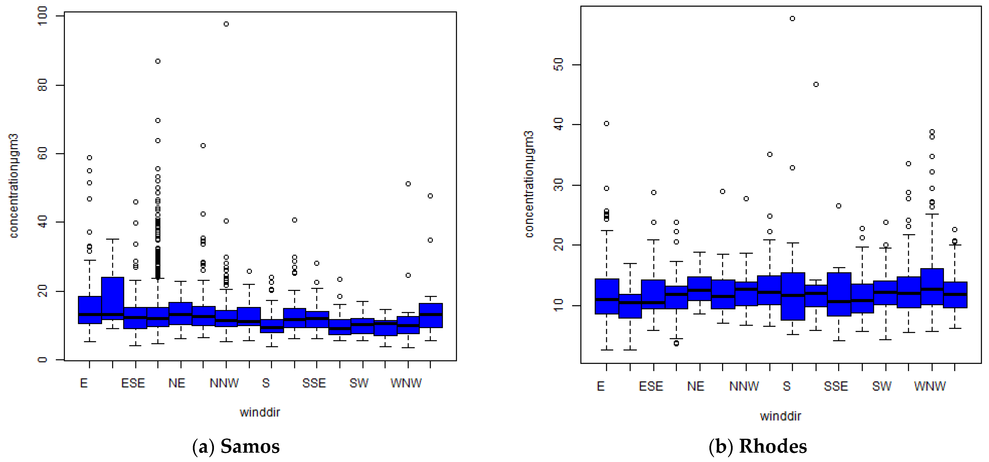
3.2. PM2.5 Concentrations and Wind Direction
4. Conclusions
Author Contributions
Funding
Institutional Review Board Statement
Informed Consent Statement
Data Availability Statement
Conflicts of Interest
References
- European Environmental Agency. Air Quality in Europe 2022. 2022. Available online: https://www.eea.europa.eu//publications/air-quality-in-europe-2022 (accessed on 20 May 2023).
- Yang, J.; Ji, Z.; Kang, S.; Zhang, Q.; Chen, X.; Lee, S.Y. Spatiotemporal variations of air pollutants in western China and their relationship to meteorological factors and emission sources. Environ. Pollut. 2019, 254, 112952. [Google Scholar] [CrossRef]
- Laña, I.; del Ser, J.; Padró, A.; Vélez, M.; Casanova-Mateo, C. The role of local urban traffic and meteorological conditions in air pollution: A data-based case study in Madrid, Spain. Atmos. Environ. 2016, 145, 424–438. [Google Scholar] [CrossRef]
- Vardoulakis, S.; Kassomenos, P. Sources and factors affecting PM10 levels in two European cities: Implications for local air quality management. Atmos. Environ. 2008, 42, 3949–3963. [Google Scholar] [CrossRef]
- Agathokleous, S.; Saitanis, C.J.; Savvides, C.; Sicard, P.; Agathokleous, E.; de Marco, A. Spatiotemporal variations of ozone exposure and its risks to vegetation and human health in Cyprus: An analysis across a gradient of altitudes. J. For. Res. 2022, 34, 579–594. [Google Scholar] [CrossRef] [PubMed]
- Dafka, S.; Akritidis, D.; Zanis, P.; Pozzer, A.; Xoplaki, E.; Luterbacher, J.; Zerefos, C. On the link between the Etesian winds, tropopause folds and tropospheric ozone over the Eastern Mediterranean during summer. Atmos. Res. 2021, 248, 105161. [Google Scholar] [CrossRef]
- Karagulian, F.; Belis, C.A.; Dora, C.F.C.; Pruss-Ustun, A.M.; Bonjour, S.; Adair-Rohani, H.; Amann, M. Contributions to cities’ ambient particulate matter (PM): A systematic review of local source contributions at global level. Atmos. Environ. 2015, 120, 475–483. [Google Scholar] [CrossRef]
- Florou, K.; Papanastasiou, D.K.; Pikridas, M.; Kaltsonoudis, C.; Louvaris, E.; Gkatzelis, G.I.; Patoulias, D.; Mihalopoulos, N.; Pandis, S.N. The contribution of wood burning and other pollution sources to wintertime organic aerosol levels in two Greek cities. Atmos. Chem. Phys. 2017, 17, 3145–3163. [Google Scholar] [CrossRef]
- Lai, H.C.; Dai, Y.T.; Mkasimongwa, S.W.; Hsiao, M.C.; Lai, L.W. The Impact of Atmospheric Synoptic Weather Condition and Long-Range Transportation of Air Mass on Extreme PM10 Concentration Events. Atmosphere 2023, 14, 406. [Google Scholar] [CrossRef]
- Zhang, Y. Dynamic effect analysis of meteorological conditions on air pollution: A case study from Beijing. Sci. Total Environ. 2019, 684, 178–185. [Google Scholar] [CrossRef] [PubMed]
- Tombrou, M.; Bossioli, E.; Kalogiros, J.; Allan, J.D.; Bacak, A.; Biskos, G.; Coe, H.; Dandou, A.; Kouvarakis, G.; Mihalopoulos, N.; et al. Physical and chemical processes of air masses in the Aegean Sea during Etesians: Aegean-GAME airborne campaign. Sci. Total Environ. 2015, 506–507, 201–216. [Google Scholar] [CrossRef] [PubMed]
- Triantafyllou, E.; Giamarelou, M.; Bossioli, E.; Zarmpas, P.; Theodosi, C.; Matsoukas, C.; Tombrou, M.; Mihalopoulos, N.; Biskos, G. Particulate pollution transport episodes from Eurasia to a remote region of northeast Mediterranean. Atmos. Environ. 2016, 128, 45–52. [Google Scholar] [CrossRef]
- Paraskevopoulou, D.; Liakakou, E.; Gerasopoulos, E.; Mihalopoulos, N. Sources of atmospheric aerosol from long-term measurements (5 years) of chemical composition in Athens, Greece. Sci. Total Environ. 2015, 527–528, 165–178. [Google Scholar] [CrossRef] [PubMed]
- Tolis, E.I.; Saraga, D.E.; Lytra, M.K.; Papathanasiou, A.C.; Bougaidis, P.N.; Prekas-Patronakis, O.E.; Ioannidis, I.I.; Bartzis, J.G. Concentration and chemical composition of PM2.5 for a one-year period at Thessaloniki, Greece: A comparison between city and port area. Atmos. Environ. 2015, 113, 197–207. [Google Scholar] [CrossRef]
- Kosmopoulos, G.; Salamalikis, V.; Matrali, A.; Pandis, S.N.; Kazantzidis, A. Insights about the Sources of PM2.5 in an Urban Area from Measurements of a Low-Cost Sensor Network. Atmosphere 2022, 13, 440. [Google Scholar] [CrossRef]
- Triantafyllou, E.; Diapouli, E.; Korras-Carraca Manousakas, M.; Psanis, C.; Floutsi, A.A.; Spyrou, C.; Eleftheriadis, K.; Biskos, G. Contribution of locally produced and transported air pollution to particulate matter in a small insular coastal city. Atmos. Pollut. Res. 2020, 11, 667–678. [Google Scholar] [CrossRef]
- Fameli, K.M.; Papagiannaki, K.; Kotroni, V. Optimizing the knowledge on residential heating characteristics in Greece via crowd-sourcing approach. Atmosphere 2021, 12, 1178. [Google Scholar] [CrossRef]
- Stavroulas, I.; Grivas, G.; Michalopoulos, P.; Liakakou, E.; Bougiatioti, A.; Kalkavouras, P.; Fameli, K.M.; Hatzianastassiou, N.; Mihalopoulos, N.; Gerasopoulos, E. Field evaluation of low-cost PM sensors (Purple Air PA-II) Under variable urban air quality conditions, in Greece. Atmosphere 2020, 11, 926. [Google Scholar] [CrossRef]



| Sensor | Dry Temperature (°C) | Wet Temperature (°C) | Wind Speed (knots) | Max Wind Speed (knots) | Wind Direction | Concentration (μg/m3) |
|---|---|---|---|---|---|---|
| Chios | 19.7 | 11.8 | 7.8 | 16.3 | N (52.8%) | 13.5 |
| Lemnos | 17.1 | 10.3 | 6.6 | 14.7 | N (41.4%) | 11.8 |
| Lesvos | 19.5 | 15.0 | 7.2 | 14.4 | E (19.4%) | 14.3 |
| Rhodes | 20.1 | 16.2 | 8.7 | 15.0 | SW (24.2%) | 12.2 |
| Samos | 17.1 | 14.6 | 7.0 | 14.4 | N (49.5%) | 13.4 |
| Syros | 19.0 | 11.4 | 11.5 | 21.0 | N (36.9%) | 8.5 |
Disclaimer/Publisher’s Note: The statements, opinions and data contained in all publications are solely those of the individual author(s) and contributor(s) and not of MDPI and/or the editor(s). MDPI and/or the editor(s) disclaim responsibility for any injury to people or property resulting from any ideas, methods, instructions or products referred to in the content. |
© 2023 by the authors. Licensee MDPI, Basel, Switzerland. This article is an open access article distributed under the terms and conditions of the Creative Commons Attribution (CC BY) license (https://creativecommons.org/licenses/by/4.0/).
Share and Cite
Fameli, K.-M.; Kotrikla, A.-M.; Kalkavouras, P.; Polydoropoulou, A. The Influence of Meteorological Parameters on PM2.5 Concentrations on the Aegean Islands. Environ. Sci. Proc. 2023, 26, 125. https://doi.org/10.3390/environsciproc2023026125
Fameli K-M, Kotrikla A-M, Kalkavouras P, Polydoropoulou A. The Influence of Meteorological Parameters on PM2.5 Concentrations on the Aegean Islands. Environmental Sciences Proceedings. 2023; 26(1):125. https://doi.org/10.3390/environsciproc2023026125
Chicago/Turabian StyleFameli, Kyriaki-Maria, Anna-Maria Kotrikla, Panayiotis Kalkavouras, and Amalia Polydoropoulou. 2023. "The Influence of Meteorological Parameters on PM2.5 Concentrations on the Aegean Islands" Environmental Sciences Proceedings 26, no. 1: 125. https://doi.org/10.3390/environsciproc2023026125
APA StyleFameli, K.-M., Kotrikla, A.-M., Kalkavouras, P., & Polydoropoulou, A. (2023). The Influence of Meteorological Parameters on PM2.5 Concentrations on the Aegean Islands. Environmental Sciences Proceedings, 26(1), 125. https://doi.org/10.3390/environsciproc2023026125

