Water Quality and Risk Assessment in Rainwater Harvesting Ponds †
Abstract
1. Introduction
2. Materials and Methods
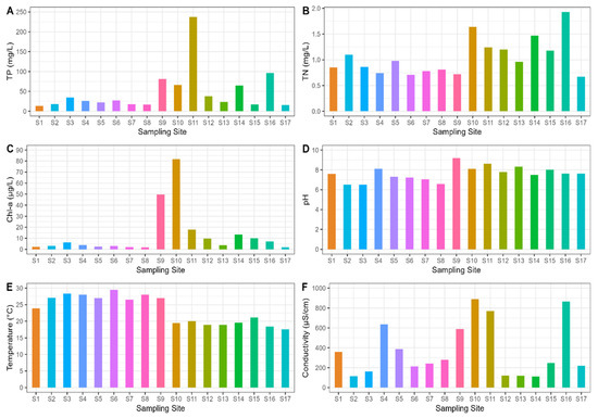
3. Results
4. Discussion
Author Contributions
Funding
Institutional Review Board Statement
Informed Consent Statement
Data Availability Statement
Acknowledgments
Conflicts of Interest
References
- Nachson, U.; Silva, C.M.; Sousa, V.; Ben-Hur, M.; Kurtzman, D.; Netzer, L.; Livshitz, Y. New Modelling Approach to Optimize Rainwater Harvesting System for Non-Potable Uses and Groundwater Recharge: A Case Study from Israel. Sustain. Cities Soc. 2022, 85, 104097. [Google Scholar] [CrossRef]
- Deng, Y. Pollution in Rainwater Harvesting: A Challenge for Sustainability and Resilience of Urban Agriculture. J. Hazard. Mater. Lett. 2021, 2, 100037. [Google Scholar] [CrossRef]
- de Sá Silva, A.C.R.; Bimbato, A.M.; Balestieri, J.A.P.; Vilanova, M.R.N. Exploring Environmental, Economic and Social Aspects of Rainwater Harvesting Systems: A Review. Sustain. Cities Soc. 2022, 76, 103475. [Google Scholar] [CrossRef]
- Andualem, T.G.; Hagos, Y.G.; Teka, A.H. Rainwater Harvesting Potential Assessment for Non-Potable Use in Urban Areas. Sustain. Water Resour. Manag. 2020, 6, 104. [Google Scholar] [CrossRef]
- APHA, AWWA, WPFC. Standard Methods for the Examination of Water and Waste Water, 17th ed.; APHA, AWAA, WPFC: Washington, DC, USA, 1989; p. 113. [Google Scholar]
- ISO 10260; Water Quality—Measurement of Biochemical Parameters—Spectrometric Determination of the Chlorophyll-a Concentration. International Organization for Standardization: Geneva, Switzerland, 1992.
- Utermöhl, H. Zur Vervollkommnung Der Quantitativen Phytoplankton-Methodik: Mit 1 Tabelle Und 15 Abbildungen Im Text Und Auf 1 Tafel. Int. Ver. Theor. Angew. Limnol. Mitt. 1958, 9, 1–38. [Google Scholar] [CrossRef]
- Caixach, J.; Flores, C.; Spoof, L.; Meriluoto, J.; Schmidt, W.; Mazur-Marzec, H.; Hiskia, A.; Kaloudis, T.; Furey, A. Liquid Chromatography–Mass Spectrometry. In Handbook of Cyanobacterial Monitoring and Cyanotoxin Analysis; Wiley: Chichester, UK, 2016. [Google Scholar]
- Saqrane, S.; Oudra, B. CyanoHAB Occurrence and Water Irrigation Cyanotoxin Contamination: Ecological Impacts and Potential Health Risks. Toxins 2009, 1, 113–122. [Google Scholar] [CrossRef] [PubMed]
- Akcaalan, R.; Köker, L.; Oğuz, A.; Spoof, L.; Meriluoto, J.; Albay, M. First Report of Cylindrospermopsin Production by Two Cyanobacteria (Dolichospermum Mendotae and Chrysosporum Ovalisporum) in Lake Iznik, Turkey. Toxins 2014, 6, 3173–3186. [Google Scholar] [CrossRef] [PubMed]
- Akçaalan, R.; Köker, L.; Gürevin, C.; Albay, M. Planktothrix Rubescens: A Perennial Presence and Toxicity in Lake Sapanca. Turk. J. Bot. 2014, 38, 782–789. [Google Scholar] [CrossRef]
- Stüken, A.; Campbell, R.J.; Quesada, A.; Sukenik, A.; Dadheech, P.K.; Wiedner, C. Genetic and Morphologic Characterization of Four Putative Cylindrospermopsin Producing Species of the Cyanobacterial Genera Anabaena and Aphanizomenon. J. Plankton Res. 2009, 31, 465–480. [Google Scholar] [CrossRef]
- Lee, S.; Jiang, X.; Manubolu, M.; Riedl, K.; Ludsin, S.A.; Martin, J.F.; Lee, J. Fresh Produce and Their Soils Accumulate Cyanotoxins from Irrigation Water: Implications for Public Health and Food Security. Food Res. Int. 2017, 102, 234–245. [Google Scholar] [CrossRef]



Disclaimer/Publisher’s Note: The statements, opinions and data contained in all publications are solely those of the individual author(s) and contributor(s) and not of MDPI and/or the editor(s). MDPI and/or the editor(s) disclaim responsibility for any injury to people or property resulting from any ideas, methods, instructions or products referred to in the content. |
© 2023 by the authors. Licensee MDPI, Basel, Switzerland. This article is an open access article distributed under the terms and conditions of the Creative Commons Attribution (CC BY) license (https://creativecommons.org/licenses/by/4.0/).
Share and Cite
Ozbayram, E.G.; Köker, L.; Oğuz Çam, A.; Akçaalan, R.; Albay, M. Water Quality and Risk Assessment in Rainwater Harvesting Ponds. Environ. Sci. Proc. 2023, 25, 28. https://doi.org/10.3390/ECWS-7-14245
Ozbayram EG, Köker L, Oğuz Çam A, Akçaalan R, Albay M. Water Quality and Risk Assessment in Rainwater Harvesting Ponds. Environmental Sciences Proceedings. 2023; 25(1):28. https://doi.org/10.3390/ECWS-7-14245
Chicago/Turabian StyleOzbayram, Emine Gozde, Latife Köker, Ayça Oğuz Çam, Reyhan Akçaalan, and Meriç Albay. 2023. "Water Quality and Risk Assessment in Rainwater Harvesting Ponds" Environmental Sciences Proceedings 25, no. 1: 28. https://doi.org/10.3390/ECWS-7-14245
APA StyleOzbayram, E. G., Köker, L., Oğuz Çam, A., Akçaalan, R., & Albay, M. (2023). Water Quality and Risk Assessment in Rainwater Harvesting Ponds. Environmental Sciences Proceedings, 25(1), 28. https://doi.org/10.3390/ECWS-7-14245

