Biowaste Valorization for Emerging Pollutant Abatement in Aqueous Phase †
Abstract
1. Introduction
2. Materials and Methods
2.1. Chemicals
2.2. Preparation of Waste Biosorbents
2.3. Biosorbent Characterization
2.4. Sorbate Quantification by UHPLC-DAD
2.5. Removal Capacity of Biosorbents
2.6. Upscale Rehabilitation System
2.7. Statistical Analysis
3. Results and Discussion
3.1. Characterization of the Biosorbents
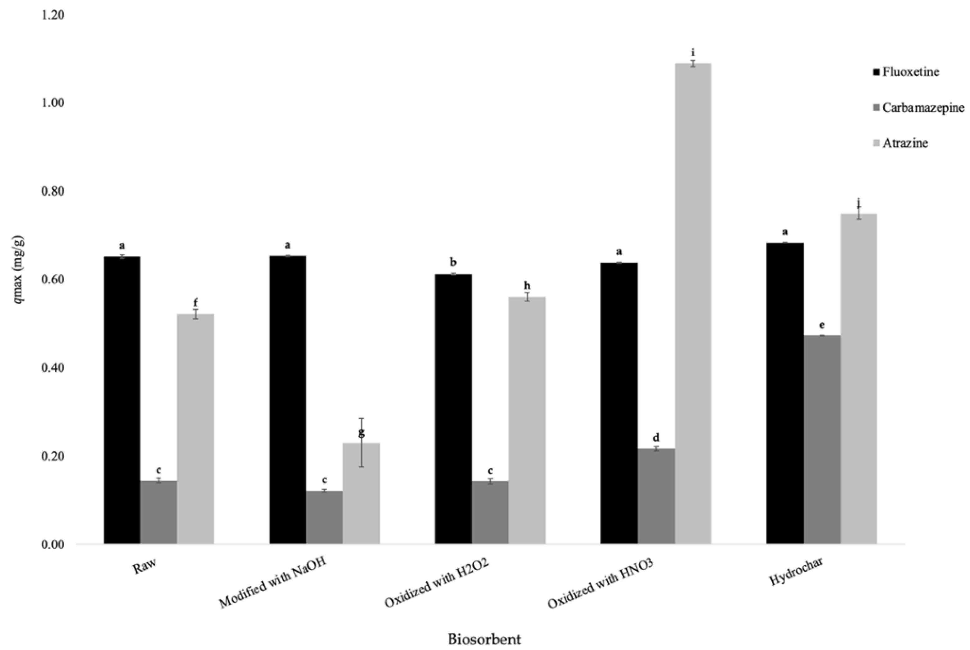
3.2. Modified Biosorbents Performance
3.3. Air-Lift Reactor Performance
4. Conclusions
Author Contributions
Funding
Institutional Review Board Statement
Informed Consent Statement
Data Availability Statement
Acknowledgments
Conflicts of Interest
References
- Vasilachi, I.C.; Asiminicesei, D.M.; Fertu, D.I.; Gavrilescu, M. Occurrence and Fate of Emerging Pollutants in Water Environment and Options for Their Removal. Water 2021, 13, 181. [Google Scholar] [CrossRef]
- Larsson, D.G.J.; de Pedro, C.; Paxeus, N. Effluent from drug manufactures contains extremely high levels of pharmaceuticals. J. Hazard. Mater. 2007, 148, 751–755. [Google Scholar] [CrossRef] [PubMed]
- Lester, Y.; Mamane, H.; Zucker, I.; Avisar, D. Treating wastewater from a pharmaceutical formulation facility by biological process and ozone. Water Res. 2013, 47, 4349–4356. [Google Scholar] [CrossRef] [PubMed]
- Syafrudin, M.; Kristanti, R.A.; Yuniarto, A.; Hadibarata, T.; Rhee, J.; Al-Onazi, W.A.; Algarni, T.S.; Almarri, A.H.; Al-Mohaimeed, A.M. Pesticides in Drinking Water—A Review. Int. J. Environ. Res. Public Health 2021, 18, 468. [Google Scholar] [CrossRef]
- Hakeem, K.R.; Akhtar, M.S.; Abdullah, S.N.A. Plant, Soil and Microbes: Volume 1: Implications in Crop Science; Springer International Publishing: Berlin/Heidelberg, Germany, 2016. [Google Scholar] [CrossRef]
- Costa, F.; Lago, A.; Rocha, V.; Barros, Ó.; Costa, L.; Vipotnik, Z.; Silva, B.; Tavares, T. A Review on Biological Processes for Pharmaceuticals Wastes Abatement—A Growing Threat to Modern Society. Environ. Sci. Technol. 2019, 53, 7185–7202. [Google Scholar] [CrossRef] [PubMed]
- Andrunik, M.; Bajda, T. Removal of pesticides from waters by adsorption: Comparison between synthetic zeolites and mesoporous silica materials. A review. Materials 2021, 14, 3532. [Google Scholar] [CrossRef] [PubMed]
- Hellweg, S.; Brunori, G.; Galanakis, C.; Panoutsou, C.; Chiaramonti, D.; Fritsche, U.; Matthews, R. Future Transitions for the Bioeconomy towards Sustainable Development and a Climate-Neutral Economy- Knowledge Synthesis Final Report; Publications Office of the European Union: Luxembourg, 2020; ISBN 978-92-76-21518-9. [Google Scholar]
- Silva, B.; Martins, M.; Rosca, M.; Rocha, V.; Lago, A.; Neves, I.C.; Tavares, T. Waste-based biosorbents as cost-effective alternatives to commercial adsorbents for the retention of fluoxetine from water. Sep. Purif. Technol. 2020, 235, 116139. [Google Scholar] [CrossRef]
- Lago, A.; Silva, B.; Tavares, T. Cleaner Approach for Atrazine Removal Using Recycling Biowaste/Waste in Permeable Barriers. Recycling 2021, 6, 41. [Google Scholar] [CrossRef]
- Paradelo, R.; Cutillas-Barreiro, L.; Soto-Gómez, D.; Nóvoa-Muñoz, J.C.; Arias-Estévez, M.; Fernández-Sanjurjo, M.J.; Álvarez-Rodríguez, E.; Núñez-Delgado, A. Study of metal transport through pine bark for reutilization as a biosorbent. Chemosphere 2016, 149, 146–153. [Google Scholar] [CrossRef] [PubMed]
- Abegunde, S.M.; Idowu, K.S.; Adejuwon, O.M.; Adeyemi-Adejolu, T. A review on the influence of chemical modification on the performance of adsorbents. Resour. Environ. Sustain. 2020, 1, 100001. [Google Scholar] [CrossRef]
- Vieira, Y.; dos Santos, J.M.N.; Georgin, J.; Oliveira, M.L.S.; Pinto, D.; Dotto, G.L. An overview of forest residues as promising low-cost adsorbents. Gondwana Res. 2021, 6, 18. [Google Scholar] [CrossRef]
- Fernandez, M.E.; Ledesma, B.; Román, S.; Bonelli, P.R.; Cukierman, A.L. Development and characterization of activated hydrochars from orange peels as potential adsorbents for emerging organic contaminants. Bioresour. Technol. 2015, 183, 221–228. [Google Scholar] [CrossRef]
- Loredo-Cancino, M.; Soto-Regalado, E.; García-Reyes, R.B.; Cerino-Córdova, F.d.J.; Garza-González, M.T.; Alcalá-Rodríguez, M.M.; Dávila-Guzmán, N.E. Adsorption and desorption of phenol onto barley husk-activated carbon in an airlift reactor. Desalin. Water Treat. 2016, 57, 845–860. [Google Scholar] [CrossRef]
- PubChem. Available online: https://pubchem.ncbi.nlm.nih.gov (accessed on 1 February 2021).
- Cheremisinoff, N.P.; Rosenfeld, P.E. 4–Atrazine. In Handbook of Pollution Prevention and Cleaner Production: Best Practices in the Agrochemical Industry; William Andrew Publishing: Oxford, UK, 2011; pp. 215–231. [Google Scholar] [CrossRef]
- Jian, X.; Zhuang, X.; Li, B.; Xu, X.; Wei, Z.; Song, Y.; Jiang, E. Comparison of characterization and adsorption of biochars produced from hydrothermal carbonization and pyrolysis. Environ. Technol. Innov. 2018, 10, 27–35. [Google Scholar] [CrossRef]
- Pradhan, B.K.; Sandle, N.K. Effect of different oxidizing agent treatments on the surface properties of activated carbons. Carbon N. Y. 1999, 37, 1323–1332. [Google Scholar] [CrossRef]
- Nabais, J.M.V.; Mouquinho, A.; Galacho, C.; Carrott, P.J.M.; Ribeiro Carrott, M.M.L. In vitro adsorption study of fluoxetine in activated carbons and activated carbon fibres. Fuel Process. Technol. 2008, 89, 549–555. [Google Scholar] [CrossRef]
- Park, C.J. Hydrodynamic Characteristics of Air-Lift Activated Carbon Slurry Column with External Looping. Korean J. Chem. Eng. 1999, 16, 694–697. [Google Scholar] [CrossRef]




Publisher’s Note: MDPI stays neutral with regard to jurisdictional claims in published maps and institutional affiliations. |
© 2022 by the authors. Licensee MDPI, Basel, Switzerland. This article is an open access article distributed under the terms and conditions of the Creative Commons Attribution (CC BY) license (https://creativecommons.org/licenses/by/4.0/).
Share and Cite
Lago, A.; Silva, B.; Tavares, T. Biowaste Valorization for Emerging Pollutant Abatement in Aqueous Phase. Environ. Sci. Proc. 2022, 21, 51. https://doi.org/10.3390/environsciproc2022021051
Lago A, Silva B, Tavares T. Biowaste Valorization for Emerging Pollutant Abatement in Aqueous Phase. Environmental Sciences Proceedings. 2022; 21(1):51. https://doi.org/10.3390/environsciproc2022021051
Chicago/Turabian StyleLago, Ana, Bruna Silva, and Teresa Tavares. 2022. "Biowaste Valorization for Emerging Pollutant Abatement in Aqueous Phase" Environmental Sciences Proceedings 21, no. 1: 51. https://doi.org/10.3390/environsciproc2022021051
APA StyleLago, A., Silva, B., & Tavares, T. (2022). Biowaste Valorization for Emerging Pollutant Abatement in Aqueous Phase. Environmental Sciences Proceedings, 21(1), 51. https://doi.org/10.3390/environsciproc2022021051

