Agronomic Practices and Performances of Stevia rebaudiana bertoni under Field Conditions: A Systematic Review †
Abstract
:1. Introduction
2. Material and Methods
2.1. Literature Research
2.2. Inclusion and Exclusion Criteria
2.3. Bibliometric Screening
2.4. Bibliometric Analysis and Concept Network Analysis
3. Results
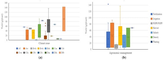
Overall Yield across Factors of Variation
4. Discussion
5. Conclusions
Author Contributions
Funding
Institutional Review Board Statement
Informed Consent Statement
Data Availability Statement
Acknowledgments
Conflicts of Interest
References
- Takacs-Hajos, M.; Ruboczki, T.; Szabo, F.M.; Annamária, K.I.S.S. Effect of environmentally friendly nutrition supply on Stevia (Stevia rebaudiana B.) production. Not. Bot. Horti Agrobot. Cluj Napoca 2019, 47, 201–206. [Google Scholar] [CrossRef] [Green Version]
- Bharathi, N. Stevia-The untapped sweetener market. Plant Hort. Tech. 2003, 4, 38–42. [Google Scholar]
- Harris, J.D.; Quatman, C.E.; Manring, M.M.; Siston, R.A.; Flanigan, D.C. How to Write a Systematic Review. Am. J. Sports Med. 2013, 42, 2761–2768. [Google Scholar] [CrossRef] [PubMed]
- Sellami, M.H.; Pulvento, C.; Lavini, A. Agronomic practices and performances of quinoa under field conditions: A systematic review. Plants 2020, 10, 72. [Google Scholar] [CrossRef] [PubMed]
- Nasir, S.; Ahmed, J. Stevia rebaudiana: A Bibliometric Analysis from 1966–2019. Adv. Life Sci. 2021, 8, 195–201. [Google Scholar]
- Youngblood, M.; Lahti, D. A bibliometric analysis of the interdisciplinary field of cultural evolution. Palgrave Commun. 2018, 4, 120. [Google Scholar] [CrossRef]
- Zhang, X.; Estoque, R.C.; Xie, H.; Murayama, Y.; Ranagalage, M. Bibliometric analysis of highly cited articles on ecosystem services. PLoS ONE 2019, 14, e0210707. [Google Scholar] [CrossRef] [PubMed]
- Köppen–Geiger Climate Zone. Available online: https://www.britannica.com/science/Koppen-climate-classification (accessed on 5 December 2021).
- Ramesh, K.; Singh, V.; Megeji, N.W. Cultivation of stevia [Stevia rebaudiana (Bert.) Bertoni]: A comprehensive review. Adv. Agron. 2006, 89, 137–177. [Google Scholar]
- Kumar, R.; Sharma, S.; Prasad, R. Yield, nutrient uptake, and quality of stevia as affected by organic sources of nutrient. Commun. Soil Sci. Plant Anal. 2013, 44, 3137–3149. [Google Scholar] [CrossRef]
- Yadav, A.K.; Singh, S.; Dhyani, D.; Ahuja, P.S. A review on the improvement of stevia [Stevia rebaudiana (Bertoni)]. Can. J. Plant Sci. 2011, 91, 1–27. [Google Scholar] [CrossRef]
- Karimi, M.; Moradi, K. The response of Stevia (Stevia rebaudiana Bertoni) to nitrogen supply under greenhouse condition. J. Plant Nutr. 2018, 41, 1695–1704. [Google Scholar] [CrossRef]
- Mahajan, M.; Pal, P.K. Yield response, accumulation of bioactive ingredient and ion uptake of Stevia rebaudiana to different soil-moisture and nitrogen levels. Agric. Water Manag. 2022, 264, 107511. [Google Scholar] [CrossRef]

Publisher’s Note: MDPI stays neutral with regard to jurisdictional claims in published maps and institutional affiliations. |
© 2022 by the authors. Licensee MDPI, Basel, Switzerland. This article is an open access article distributed under the terms and conditions of the Creative Commons Attribution (CC BY) license (https://creativecommons.org/licenses/by/4.0/).
Share and Cite
Hirich, E.H.; Bouizgarne, B.; Zouahri, A.; Azim, K. Agronomic Practices and Performances of Stevia rebaudiana bertoni under Field Conditions: A Systematic Review. Environ. Sci. Proc. 2022, 16, 44. https://doi.org/10.3390/environsciproc2022016044
Hirich EH, Bouizgarne B, Zouahri A, Azim K. Agronomic Practices and Performances of Stevia rebaudiana bertoni under Field Conditions: A Systematic Review. Environmental Sciences Proceedings. 2022; 16(1):44. https://doi.org/10.3390/environsciproc2022016044
Chicago/Turabian StyleHirich, El Hocine, Brahim Bouizgarne, Abdelmjid Zouahri, and Khalid Azim. 2022. "Agronomic Practices and Performances of Stevia rebaudiana bertoni under Field Conditions: A Systematic Review" Environmental Sciences Proceedings 16, no. 1: 44. https://doi.org/10.3390/environsciproc2022016044
APA StyleHirich, E. H., Bouizgarne, B., Zouahri, A., & Azim, K. (2022). Agronomic Practices and Performances of Stevia rebaudiana bertoni under Field Conditions: A Systematic Review. Environmental Sciences Proceedings, 16(1), 44. https://doi.org/10.3390/environsciproc2022016044

