An Indicator-Based Framework for Sustainable Mining Using Fuzzy AHP
Abstract
1. Introduction
2. Materials and Methods
2.1. Identification of Indicators
2.2. Selection of the Expert Panel
2.3. Fuzzy Scale
2.4. Weighing Process for Criteria
3. Results
4. Discussion
5. Conclusions
Limitations and Future Recommendations
Author Contributions
Funding
Data Availability Statement
Conflicts of Interest
References
- Ali, S.H.; Giurco, D.; Arndt, N.; Nickless, E.; Brown, G.; Demetriades, A.; Durrheim, R.; Enriquez, M.A.; Kinnaird, J.; Littleboy, A.; et al. Mineral supply for sustainable development requires resource governance. Nature 2017, 543, 367–372. [Google Scholar] [CrossRef] [PubMed]
- Jiskani, I.M.; Moreno-Cabezali, B.M.; Rehman, A.U.; Fernandez-Crehuet, J.M.; Uddin, S. Implications to secure mineral supply for clean energy technologies for developing countries: A fuzzy based risk analysis for mining projects. J. Clean. Prod. 2022, 358, 132055. [Google Scholar] [CrossRef]
- Blinova, E.; Ponomarenko, T.; Knysh, V. Analyzing the Concept of Corporate Sustainability in the Context of Sustainable Business Development in the Mining Sector with Elements of Circular Economy. Sustainability 2022, 14, 8163. [Google Scholar] [CrossRef]
- Laurence, D. Establishing a sustainable mining operation: An overview. J. Clean. Prod. 2011, 19, 278–284. [Google Scholar] [CrossRef]
- Oruonye, E.D.; Robert Terhemen, A.; Linda Sylvanus, B.; Joseph, A. From Sustainable Mining to Climate-Smart Mining; Lessons for Nigeria. SunText Rev. Arts Soc. Sci. 2024, 5, 179. [Google Scholar]
- Otoijamun, I.; Kigozi, M.; Abdulraman, S.O.; Adetunji, A.R.; Onwualu, A.P. Fostering the sustainability of artisanal and small-scale mining (Asm) of barite in nasarawa state, Nigeria. Sustainability 2021, 13, 5917. [Google Scholar] [CrossRef]
- Abraham, M. India’s Mining Sector: Towards Sustainable and Equitable Future. 2022. Available online: https://www.teriin.org/article/indias-mining-sector-towards-sustainable-and-equitable-future (accessed on 21st February 2022).
- Muduli, K.; Barve, A. Establishment of a sustainable development framework in small scale mining supply chains in India. Int. J. Intell. Enterp. 2013, 2, 84–100. [Google Scholar] [CrossRef]
- Cohen, B. Urbanization in developing countries: Current trends, future projections, and key challenges for sustainability. Technol. Soc. 2006, 28, 63–80. [Google Scholar] [CrossRef]
- Chusi, T.N.; Bouraima, M.B.; Yazdani, M.; Jovčić, S.; Hernández, V.D. Addressing the Challenges Facing Developing Countries in the Mining Sector: Moving Towards Sustainability. J. Appl. Res. Ind. Eng. 2024, 11, 333–349. [Google Scholar]
- Malkani, M.S.; Alyani, M.I.; Khosa, M.H.; Saeed, F.; Khan, G.; Faiz, J. Mineral Resources of Pakistan-an update Mineral Resources of Pakistan-an update. Lasbela Univ. J. Sci. Technol. 2016, 5, 90–114. [Google Scholar]
- Akhtar, S.; Shah, H. Strategy for Mineral Sector Development in Pakistan; Ministry of Planning: Dhaka, Bangladesh, 2018; pp. 1–24. [Google Scholar]
- Maqbool, S.; Bashir, F.; Ahmad, R.; Bakar, A. Competitiveness and Export Performance of Pakistan’s Mineral Sector in Global Market: A Constant Market Share Analysis. Rev. Educ. Adm. Law 2022, 5, 311–317. [Google Scholar] [CrossRef]
- Jiskani, I.M.; Cai, Q.; Zhou, W.; Chang, Z.; Chalgri, S.R.; Manda, E.; Lu, X. Distinctive Model of Mine Safety for Sustainable Mining in Pakistan. Min. Metall. Explor. 2020, 37, 1023–1037. [Google Scholar] [CrossRef]
- Jiskani, I.M.; Ullah, B.; Shah, K.S.; Bacha, S.; Shahani, N.M.; Ali, M.; Maqbool, A.; Qureshi, A.R. Overcoming mine safety crisis in Pakistan: An appraisal. Process Saf. Prog. 2019, 38, e12041. [Google Scholar] [CrossRef]
- Ehtasham, L.; Sherani, S.H.; Younas, K.; Izbel, U.; Khan, A.H.; Bahadur, A.; Akbar, A. A review of the status of environmental impact assessment in Pakistan. Integr. Environ. Assess. Manag. 2022, 18, 314–318. [Google Scholar] [CrossRef]
- Azapagic, A. Developing a framework for sustainable development indicators for the mining and minerals industry. J. Clean. Prod. 2004, 12, 639–662. [Google Scholar] [CrossRef]
- Hilson, G.; Basu, A.J. Devising indicators of sustainable development for the mining and minerals industry: An analysis of critical background issues. Int. J. Sustain. Dev. World Ecol. 2003, 10, 319–331. [Google Scholar] [CrossRef]
- Berberoglu, Y.; Mangla, S.K.; Kazancoglu, Y. Towards sustainable mining in an emerging economy: Assessment of sustainability challenges. Resour. Policy 2024, 97, 105288. [Google Scholar] [CrossRef]
- Alves, W.; Ferreira, P.; Araújo, M. Challenges and pathways for Brazilian mining sustainability. Resour. Policy 2021, 74, 101648. [Google Scholar] [CrossRef]
- Giurco, D.; Evans, G.; Cooper, C.; Mason, L.; Franks, D. Mineral Futures Discussion Paper: Sustainability Issues, Challenges and Opportunities; Institute for Sustainable Futures, UTS & Centre for Social Responsibility in Mining: Sydney, Australia, 2009; pp. 1–71. [Google Scholar]
- Omotehinse, A.O.; De Tomi, G. Mining and the sustainable development goals: Prioritizing SDG targets for proper environmental governance. Ambio 2023, 52, 229–241. [Google Scholar] [CrossRef]
- Carvalho, F.P. Mining industry and sustainable development: Time for change. Food Energy Secur. 2017, 6, 61–77. [Google Scholar] [CrossRef]
- Ma, H. Balancing Economic Growth and Environmental Responsibility in Australia’s and Canada’s Mining Sector: Policy Models and Sustainable Solutions. Glob. Sustain. Envirionmental. Innov. J. 2016, 1, 12–25. [Google Scholar]
- Liu, Y.; Eckert, C.M.; Earl, C. A review of fuzzy AHP methods for decision-making with subjective judgements. Expert Syst. Appl. 2020, 161, 113738. [Google Scholar] [CrossRef]
- Saaty, T.L. The analytic hierarchy process (AHP). J. Oper. Res. Soc. 1980, 41, 1073–1076. [Google Scholar]
- Özdağoğlu, A.; Özdağoğlu, G. Comparison of Ahp and Fuzzy Ahp for the Multi- Criteria Decision Making Processes with Linguistic Evaluations. İstanb. Ticaret Üniv. Fen Bilim. Derg. 2007, 6, 65–85. [Google Scholar]
- Kwatra, S.; Kumar, A.; Sharma, S.; Sharma, P. Stakeholder participation in prioritizing sustainability issues at regional level using analytic hierarchy process (AHP) technique: A case study of Goa, India. Environ. Sustain. Indic. 2020, 11, 100116. [Google Scholar] [CrossRef]
- Shome, S.; Chakraborty, S.; Sinha, S. Spatial framework for decision making on mining sustainability. Environ. Dev. Sustain. 2025. [Google Scholar] [CrossRef]
- Håkansson, A.; Höjer, M.; Howlett, R.J.; Jain, L.C. Sustainability in Energy and Buildings. In Proceedings of the 4th International Conference on Sustainability in Energy and Buildings (SEB’12), Stockholm, Sweden, 3–5 September 2012; Volume 22, pp. 955–963. [Google Scholar] [CrossRef]
- Elewa, H.H.; Zelenakova, M.; Nosair, A.M. Integration of the analytical hierarchy process and gis spatial distribution model to determine the possibility of runoff water harvesting in dry regions: Wadi watir in sinai as a case study. Water 2021, 13, 804. [Google Scholar] [CrossRef]
- Jiskani, I.M.; Cai, Q.; Zhou, W.; Lu, X. Assessment of risks impeding sustainable mining in Pakistan using fuzzy synthetic evaluation. Resour. Policy 2020, 69, 101820. [Google Scholar] [CrossRef]
- Janikowska, O.; Kulczycka, J. Impact of minerals policy on sustainable development of mining sector—A comparative assessment of selected EU countries. Miner. Econ. 2021, 34, 305–314. [Google Scholar] [CrossRef]
- Jiskani, I.M.; Shah, S.A.A.; Qingxiang, C.; Zhou, W.; Lu, X. A multi-criteria based SWOT analysis of sustainable planning for mining and mineral industry in Pakistan. Arab. J. Geosci. 2020, 13, 1108. [Google Scholar] [CrossRef]
- Ali, D.; Rehman, A.U. Adoption of autonomous mining system in Pakistan—Policy, skillset, awareness and preparedness of stakeholders. Resour. Policy 2020, 68, 101796. [Google Scholar] [CrossRef]
- Khan, N.U.; Peng, Z.; Ullah, A.; Mumtaz, M. A comprehensive evaluation of sustainable mineral resources governance in Pakistan: An analysis of challenges and reforms. Resour. Policy 2024, 88, 104383. [Google Scholar] [CrossRef]
- Chalgri, S.R.; Saad Memon, M.; Shaikh, S.A.; Siddiqui, F.I. Prioritizing Sustainable Indicators for Mineral Industry of Pakistan. In Proceedings of the 6th Industrial Engineering and Operations Management Bangladesh Conference, Dhaka, Bangladesh, 26–28 December 2023. [Google Scholar] [CrossRef]
- Al-Hubhi, K. Application of the AHP in Project Management. Int. J. Proj. Manag. 2001, 19, 19–27. [Google Scholar]
- Vaidya, O.S.; Kumar, S. Analytic Hierarchy Process: An Overview of Applications. Eur. J. Oper. Res. 2006, 169, 1–29. [Google Scholar] [CrossRef]
- El hilali, W.; El manouar, A.; Janati Idrissi, M.A. AHP Method to Support Decision Making for Sustainability. Comput. Inf. Sci. 2020, 13, 32. [Google Scholar] [CrossRef]
- Saaty, T.L. Mathematical Models for Decision Support; NATO ASI series; Springer: Berlin/Heidelberg, Germany, 1988; Volume 48. [Google Scholar]
- Evangelos Triantaphyllou, S.H.M. Using the Analytic Hierarchy Process for Decision Making in Engineering Applications: Some Challenges. Int. J. Ind. Eng. Theory Appl. Pract. 1995, 2, 35–44. [Google Scholar]
- Lee, S.K.; Mogi, G.; Hui, K.S. A fuzzy analytic hierarchy process (AHP)/data envelopment analysis (DEA) hybrid model for efficiently allocating energy R&D resources: In the case of energy technologies against high oil prices. Renew. Sustain. Energy Rev. 2013, 21, 347–355. [Google Scholar] [CrossRef]
- Leung, L.C.; Cao, D. On consistency and ranking of alternatives in fuzzy AHP. Eur. J. Oper. Res. 2000, 124, 102–113. [Google Scholar] [CrossRef]
- Li, Y.; Barrueta Pinto, M.C.; Kumar, D.T. Analyzing sustainability indicator for Chinese mining sector. Resour. Policy 2023, 80, 103275. [Google Scholar] [CrossRef]
- Espinoza, R.D.; Morris, J.W.F.F. Towards sustainable mining (part II): Accounting for mine reclamation and post reclamation care liabilities. Resour. Policy 2017, 52, 29–38. [Google Scholar] [CrossRef]
- Mittal, V.K.; Sangwan, K.S. Fuzzy TOPSIS method for ranking barriers to environmentally conscious manufacturing implementation: Government, industry and expert perspectives. Int. J. Environ. Technol. Manag. 2014, 17, 57–82. [Google Scholar] [CrossRef]
- Mishra, A.; Swamy, S.L.; Thakur, T.K.; Kumar, A.; Pandey, M. Impact of coal mining on land use changes, deforestation, biomass, and C losses in Central India: Implications for offsetting CO2 emissions. Land Degrad. Dev. 2022, 33, 3731–3741. [Google Scholar] [CrossRef]
- Villas Bôas, R.C.; Shields, D.J.; Šolar, S.V.; Anciaux, P.; Önal, G. A Review on Indicators of Sustainability for the Minerals Extraction Industries; CYTED-CETEM: Rio de Janeiro, Brazil, 2005. [Google Scholar]
- Wrana, K.; Trząski, L.; Głogowska, M.; Lebek, M.; Chmielewski, W.; Szendera, W. Model of Local Sustainable Development in the Areas of Co-Occurrence Natura 2000 Sites and Non Energy Mining Industry (NEEI). J. Sustain. Min. 2014, 13, 19–25. [Google Scholar] [CrossRef]
- Ofori, D.F.; Ofori, A.T. Mining Sector CSR Behaviour: A Developing Country Perspective. Afr. J. Manag. Res. 2014, 22, 62–84. [Google Scholar]
- Frost, F.A.; Mensik, S. Balancing minerals development and environmental protection. Long Range Plan. 1991, 24, 58–73. [Google Scholar] [CrossRef]
- Liu, K.F.R. Evaluating environmental sustainability: An integration of multiple-criteria decision-making and fuzzy logic. J. Environ. Manag. 2007, 39, 721–736. [Google Scholar] [CrossRef]
- Chatterjee, C.; Sindhwani, R.; Mangla, S.K.; Hasteer, N. Digitization of the mining industry: Pathways to sustainability through enabling technologies. Resour. Policy 2025, 100, 105450. [Google Scholar] [CrossRef]
- Famiyeh, S.; Opoku, R.A.; Kwarteng, A.; Asante-Darko, D. Driving forces of sustainability in the mining industry: Evidence from a developing country. Resour. Policy 2021, 70, 101910. [Google Scholar] [CrossRef]
- Narula, S.A.; Magray, M.A.; Desore, A. A sustainable livelihood framework to implement CSR project in coal mining sector. J. Sustain. Min. 2017, 16, 83–93. [Google Scholar] [CrossRef]
- Swanepoel, J.; Vosloo, J.C.; van Laar, J.H.; Pelser, W.A. Prioritisation of Environmental Improvement Projects in Deep-Level Mine Ventilation Systems. Min Met. Explor. 2023, 40, 599–616. [Google Scholar] [CrossRef]
- Monteiro, N.B.R.; Bezerra, A.K.L.; Moita Neto, J.M.; Da Silva, E.A. Mining law: In search of sustainable mining. Sustainability 2021, 13, 867. [Google Scholar] [CrossRef]
- Tegnan, H.; Karjoko, L.; Barkhuizen, J.; Bajrektarevic, A.H. Mining Corruption and Environmental Degradation in Indonesia: Critical Legal Issues. Bestuur 2021, 9, 90–100. [Google Scholar] [CrossRef]
- Amoah, P.; Eweje, G. Organisational drivers and sustainability implementation in the mining industry: A holistic theoretical framework. Bus. Strategy Environ. 2023, 32, 5602–5614. [Google Scholar] [CrossRef]
- Osei, V.; Bai, C.; Asante-Darko, D.; Quayson, M. Evaluating the Barriers and Drivers of Adopting Circular Economy for Improving Sustainability in the Mining Industry. Resources Policy 2023, 86, 104168. [Google Scholar] [CrossRef]
- Zhou, Y.; Liu, Y.; Niu, J. Role of mineral-based industrialization in promoting economic growth: Implications for achieving environmental sustainability and social equity. Resour. Policy 2024, 88, 104396. [Google Scholar] [CrossRef]
- Kurakova, K.N.; Ponomarenko, T.V. Impact of mining industry growth on sustainable development indicators. E3S Web Conf. 2021, 266, 06007. [Google Scholar] [CrossRef]
- Ruokonen, E. Preconditions for successful implementation of the Finnish standard for sustainable mining. Extr. Ind. Soc. 2020, 7, 611–620. [Google Scholar] [CrossRef]





| Designation | Age | Experience | Industry |
|---|---|---|---|
| Deputy Chief Executive Officer | 20 | 42 | Coal Industry |
| Senior Mining Engineer | 20 | 42 | Coal Industry |
| Manager Production—Coal Supply | 15 | 40 | Coal Industry |
| Associate Professor | 12 | 37 | Coal Industry |
| Assistant Professor | 17 | 39 | Academia |
| Senior Researcher | 12 | 37 | Academia |
| Senior Mining Engineer | 6 | 34 | Academia |
| ID | Weight | Significance (%) | Consistency Ratio (CR) | Relation | Ranking |
|---|---|---|---|---|---|
| EN1 | 0.40 | 40.10 | 0.07 | Consistent | 1.00 |
| EN2 | 0.25 | 25.30 | 3.00 | ||
| EN3 | 0.21 | 21.30 | 8.00 | ||
| EN4 | 0.09 | 9.30 | 30.00 | ||
| EN5 | 0.04 | 4.00 | 33.00 | ||
| EN1.1 | 0.23 | 23.10 | 0.10 | Consistent | 5.00 |
| EN1.2 | 0.14 | 14.00 | 18.00 | ||
| EN1.3 | 0.19 | 19.30 | 12.00 | ||
| EN1.4 | 0.24 | 23.70 | 4.00 | ||
| EN1.5 | 0.20 | 20.00 | 10.00 | ||
| EN2.1 | 0.32 | 32.10 | 0.04 | Consistent | 2.00 |
| EN2.2 | 0.20 | 20.20 | 9.00 | ||
| EN2.3 | 0.15 | 15.00 | 15.00 | ||
| EN2.4 | 0.11 | 10.50 | 26.00 | ||
| EN2.5 | 0.12 | 11.80 | 22.00 | ||
| EN2.6 | 0.10 | 10.40 | 27.00 | ||
| EN3.1 | 0.22 | 21.70 | 0.08 | Consistent | 7 |
| EN3.2 | 0.18 | 18.20 | 13.00 | ||
| EN3.3 | 0.23 | 22.80 | 6.00 | ||
| EN3.4 | 0.22 | 21.70 | 7.00 | ||
| EN3.5 | 0.16 | 15.60 | 14.00 | ||
| EN4.1 | 0.15 | 15.00 | 0.02 | Consistent | 15.00 |
| EN4.2 | 0.20 | 19.80 | 11.00 | ||
| EN4.3 | 0.13 | 12.60 | 20.00 | ||
| EN4.4 | 0.15 | 14.70 | 16.00 | ||
| EN4.5 | 0.10 | 10.40 | 27.00 | ||
| EN4.6 | 0.14 | 14.20 | 17.00 | ||
| EN4.7 | 0.13 | 13.40 | 19.00 | ||
| EN5.1 | 0.09 | 9.40 | 0.06 | Consistent | 29.00 |
| EN5.2 | 0.11 | 10.50 | 25.00 | ||
| EN5.3 | 0.12 | 12.10 | 21.00 | ||
| EN5.4 | 0.11 | 11.10 | 23.00 | ||
| EN5.5 | 0.08 | 8.00 | 32.00 | ||
| EN5.6 | 0.09 | 9.30 | 30.00 | ||
| EN5.7 | 0.09 | 9.10 | 31.00 | ||
| EN5.8 | 0.10 | 10.40 | 27.00 | ||
| EN5.9 | 0.10 | 9.50 | 28.00 | ||
| EN5.10 | 0.11 | 10.80 | 24.00 |
| ID | Weight | Significance (%) | Consistency Ratio (CR) | Relation | Ranking |
|---|---|---|---|---|---|
| SC1 | 0.24 | 23.50 | 0.07 | Consistent | 8 |
| SC2 | 0.19 | 18.60 | 12 | ||
| SC3 | 0.21 | 20.50 | 10 | ||
| SC4 | 0.37 | 37.30 | 2 | ||
| SC1.1 | 0.17 | 16.50 | 0.05 | Consistent | 17 |
| SC1.2 | 0.17 | 17.10 | 15 | ||
| SC1.3 | 0.17 | 16.90 | 16 | ||
| SC1.4 | 0.20 | 20.20 | 12 | ||
| SC1.5 | 0.16 | 15.50 | 19 | ||
| SC1.6 | 0.14 | 13.80 | 20 | ||
| SC2.1 | 0.28 | 27.80 | 0.01 | Consistent | 5 |
| SC2.2 | 0.30 | 29.60 | 4 | ||
| SC2.3 | 0.20 | 20.30 | 11 | ||
| SC2.4 | 0.22 | 22.20 | 9 | ||
| SC3.1 | 0.18 | 18.40 | 14 | ||
| SC3.2 | 0.16 | 15.60 | 18 | ||
| SC3.3 | 0.26 | 26.00 | 6 | ||
| SC3.4 | 0.40 | 40.00 | 1 | ||
| SC4.1 | 0.13 | 12.70 | 0.0363 | Consistent | 22 |
| SC4.2 | 0.24 | 24.40 | 7 | ||
| SC4.3 | 0.13 | 13.00 | 21 | ||
| SC4.4 | 0.19 | 18.50 | 13 | ||
| SC4.5 | 0.31 | 31.40 | 3 |
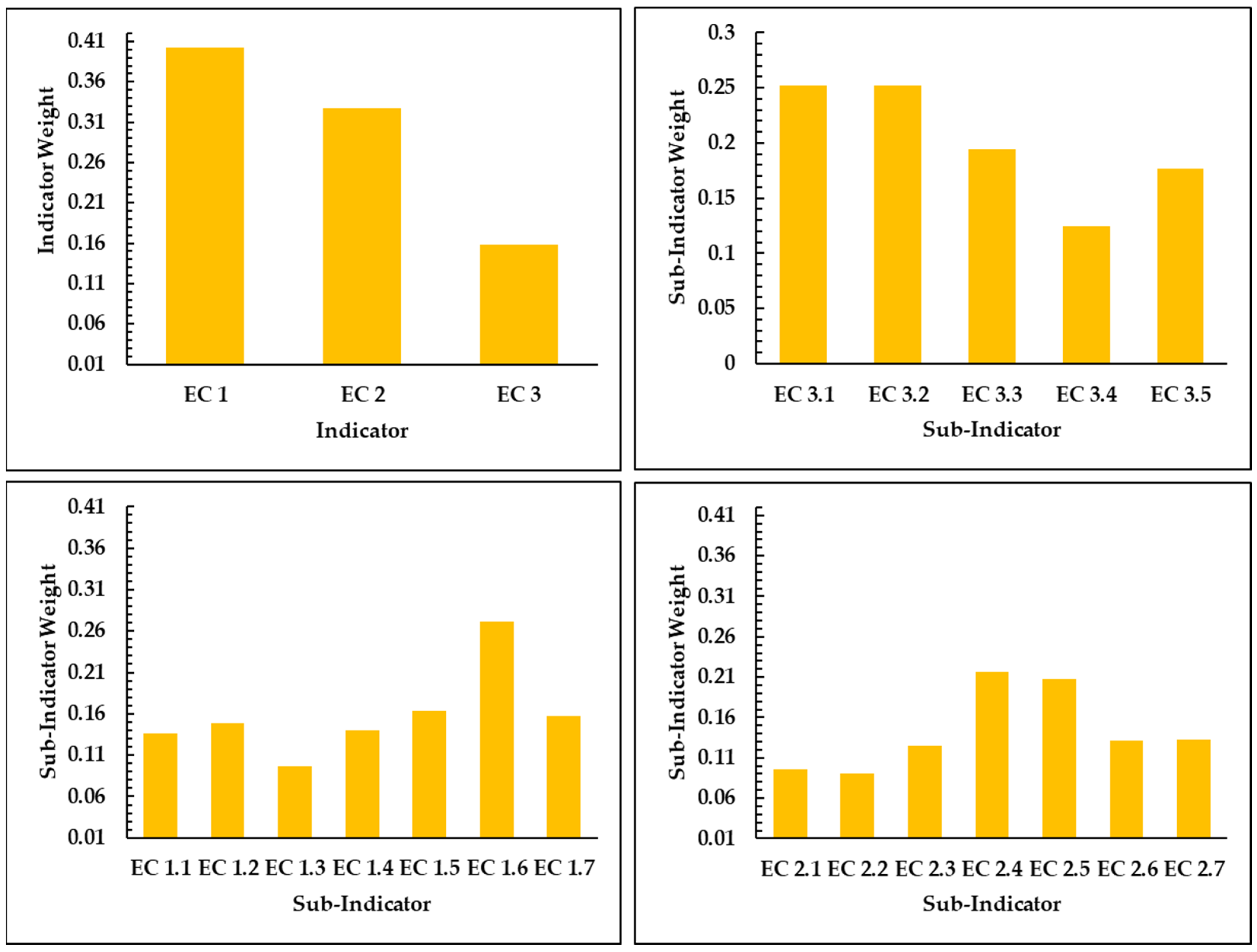
| ID | Weight | Significance (%) | Consistency Ratio (CR) | Relation | Ranking |
|---|---|---|---|---|---|
| EC1 | 0.402 | 40.2 | 0.0545 | Consistent | 1 |
| EC2 | 0.327 | 32.7 | 2 | ||
| EC3 | 0.158 | 15.8 | 10 | ||
| EC1.1 | 0.136 | 13.6 | 0.0706 | Consistent | 14 |
| EC1.2 | 0.149 | 14.9 | 12 | ||
| EC1.3 | 0.096 | 9.6 | 18 | ||
| EC1.4 | 0.14 | 14 | 13 | ||
| EC1.5 | 0.164 | 16.4 | 9 | ||
| EC1.6 | 0.271 | 27.1 | 3 | ||
| EC1.7 | 0.157 | 15.7 | 11 | ||
| EC2.1 | 0.096 | 9.6 | 0.0635 | Consistent | |
| EC2.2 | 0.091 | 9.1 | 19 | ||
| EC2.3 | 0.125 | 12.5 | 17 | ||
| EC2.4 | 0.217 | 21.7 | 5 | ||
| EC2.5 | 0.208 | 20.8 | 6 | ||
| EC2.6 | 0.131 | 13.1 | 16 | ||
| EC2.7 | 0.132 | 13.2 | 15 | ||
| EC3.1 | 0.252 | 25.2 | 0.0296 | Consistent | 4 |
| EC3.2 | 0.252 | 25.2 | 4 | ||
| EC3.3 | 0.194 | 19.4 | 7 | ||
| EC3.4 | 0.125 | 12.5 | 17 | ||
| EC3.5 | 0.177 | 17.7 | 8 |
Disclaimer/Publisher’s Note: The statements, opinions and data contained in all publications are solely those of the individual author(s) and contributor(s) and not of MDPI and/or the editor(s). MDPI and/or the editor(s) disclaim responsibility for any injury to people or property resulting from any ideas, methods, instructions or products referred to in the content. |
© 2025 by the authors. Licensee MDPI, Basel, Switzerland. This article is an open access article distributed under the terms and conditions of the Creative Commons Attribution (CC BY) license (https://creativecommons.org/licenses/by/4.0/).
Share and Cite
Chalgri, S.R.; Memon, M.S.; Siddiqui, F.I.; Shaikh, S.A. An Indicator-Based Framework for Sustainable Mining Using Fuzzy AHP. Earth 2025, 6, 23. https://doi.org/10.3390/earth6020023
Chalgri SR, Memon MS, Siddiqui FI, Shaikh SA. An Indicator-Based Framework for Sustainable Mining Using Fuzzy AHP. Earth. 2025; 6(2):23. https://doi.org/10.3390/earth6020023
Chicago/Turabian StyleChalgri, Saleem Raza, Muhammad Saad Memon, Fahad Irfan Siddiqui, and Shakeel Ahmed Shaikh. 2025. "An Indicator-Based Framework for Sustainable Mining Using Fuzzy AHP" Earth 6, no. 2: 23. https://doi.org/10.3390/earth6020023
APA StyleChalgri, S. R., Memon, M. S., Siddiqui, F. I., & Shaikh, S. A. (2025). An Indicator-Based Framework for Sustainable Mining Using Fuzzy AHP. Earth, 6(2), 23. https://doi.org/10.3390/earth6020023

