Heuristic-Based Scheduling of BESS for Multi-Community Large-Scale Active Distribution Network
Abstract
1. Introduction
1.1. Motivation
1.2. Literature Review
1.3. Contributions
- Development of a Two-Stage Optimal BESS Scheduling Problem. A two-stage optimization approach is developed, combining a rule-based decision tree method to determine initial charge/discharge setpoints for community BESS units, while these setpoints are refined in the second stage using an optimization algorithm aimed at minimizing adjacent community net load power deviations and reducing peak demand.
- Parallel Processing for Multi-Community BESS Scheduling. An OpenDSS parallel machine (PM) is utilized, with each workstation CPU core being dedicated to executing the two-stage BESS scheduling problem for individual communities, leveraging parallel processing for computational efficiency in large-scale ADNs, thereby distributing computational workload across CPU cores, for iterative quasi-static time-series heuristic simulation for utility-scale DN.
- Smart inverter functionalities are assessed to further improve BESS operations by mitigating voltage violations through the combined use of the volt–VAr and volt–watt control functions. A control setpoint curve is implemented, enabling coordinated reactive power support based on nodal voltage measurements at the point of interconnection. This combined control strategy improves the nodal voltage regulation.
2. Problem Formulation
2.1. BESS Modeling
2.2. Smart Inverter Control Function
2.2.1. Constant Power Factor (CPF) Control Mode
2.2.2. Volt–VAr (VV) Control Mode
2.2.3. Volt–Watt (VW) Control Mode
2.3. BESS Scheduling Approach
2.3.1. Stage 1—Decision Tree Rule-Based Method
2.3.2. Stage 2—BESS Charge/Discharge Setpoint Optimization
2.4. Optimization Constraints
2.4.1. Power System Constraints
2.4.2. BESS Operation Constraints
2.5. The Penalty Function
3. The Optimization Model Structure
3.1. Parallel Processing
3.2. Model Implementation
4. Case Study
- -
- Case 1: No DER: a baseline scenario without any DER.
- -
- Case 2: Base Case: PV systems ( to ) are optimally allocated within the DN, resulting in the base ADN.
- -
- Case 3: Proposed Two-Stage Scheduling Approach: a two-stage strategy is implemented, deploying the PV and BESS pairs (– for community 1 to – for community 4).
4.1. Specification of the Test DN
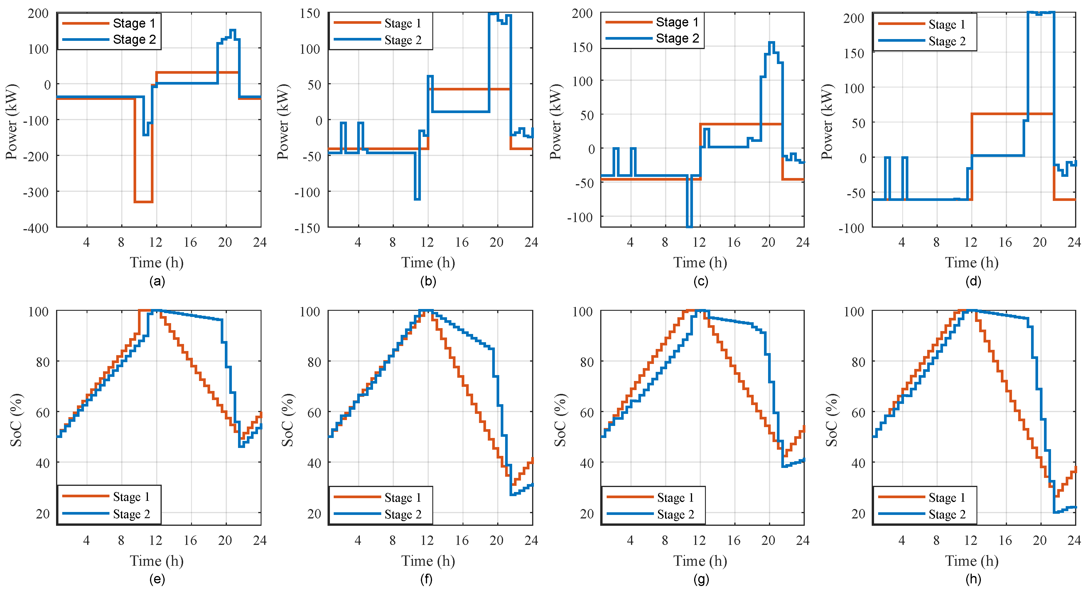
4.2. Scheduling Operation Results
4.2.1. Results for Community PV Systems Without Smart Inverter Functions
4.2.2. Results for Community PV Systems with Smart Inverter Functions
4.3. Performance Evaluation of the Proposed Approach
4.4. Computational Complexity
5. Conclusions
Author Contributions
Funding
Data Availability Statement
Conflicts of Interest
Abbreviations
| ADN | Active Distribution Network |
| BESS | Battery Energy Storage System |
| DER | Distributed Energy Resources |
| DN | Distribution Network |
| PV | Photovoltaic |
| PSO | Particle Swarm Optimization |
| QSTS | Quasi-Static Time-Series |
| SI | Smart Inverter |
| SIR | Solar Irradiance |
| SoC | State of Charge |
| ZIP | Constant Impedance, Constant Current, Constant Power Load |
References
- Amako, E.A.; Arzani, A.; Mahajan, S.M. Optimal Sizing of PV Systems in a Utility Distribution Feeder Using OpenDSS. In Proceedings of the 56th North American Power Symposium (NAPS), Boston, MA, USA, 13–15 October 2024; pp. 1–6. [Google Scholar] [CrossRef]
- U.S. Energy Information Administration. Solar, Battery Storage to Lead New U.S. Generating Capacity Additions in 2025; Today in Energy; U.S. Energy Information Administration: Washington, DC, USA, 2025. Available online: https://www.eia.gov/todayinenergy/detail.php?id=64586 (accessed on 31 May 2025).
- Ruiz-Cortés, M.; González-Romera, E.; Amaral-Lopes, R.; Romero-Cadaval, E.; Martins, J.; Milanés-Montero, M.I.; Barrero-Gonzalez, F. Optimal Charge/Discharge Scheduling of Batteries in Microgrids of Prosumers. IEEE Trans. Energy Convers. 2019, 34, 468–477. [Google Scholar] [CrossRef]
- Sun, Z.; Eskandari, M.; Zheng, C.; Li, M. Handling Computation Hardness and Time Complexity Issue of Battery Energy Storage Scheduling in Microgrids by Deep Reinforcement Learning. Energies 2023, 16, 90. [Google Scholar] [CrossRef]
- Zhang, X.; Son, Y.; Choi, S. Optimal Scheduling of Battery Energy Storage Systems and Demand Response for Distribution Systems with High Penetration of Renewable Energy Sources. Energies 2022, 15, 2212. [Google Scholar] [CrossRef]
- Abbasi, A.; Alves, F.; Ribeiro, R.A.; Sobral, J.L.; Rodrigues, R. Optimizing Virtual Power Plants with Parallel Simulated Annealing on High-Performance Computing. Smart Cities 2025, 8, 47. [Google Scholar] [CrossRef]
- Bose, B.K. Power Electronics in Renewable Energy Systems and Smart Grid: Technology and Applications; John Wiley & Sons: Hoboken, NJ, USA, 2019. [Google Scholar]
- Rana, M.M.; Romlie, M.F.; Abdullah, M.F.; Uddin, M.; Sarkar, M.R. A Novel Peak Load Shaving Algorithm for Isolated Microgrid Using Hybrid PV-BESS System. Energy 2021, 234, 121157. [Google Scholar] [CrossRef]
- Cienfuegos, C.; Rodrigo, P.M.; Cienfuegos, I.; Diaz-Ponce, A. Comparative Analysis of Battery Energy Storage Systems’ Operation Strategies for Peak Shaving in Industries with or without Installed Photovoltaic Capacity. Renew. Energy Focus 2024, 49, 100574. [Google Scholar] [CrossRef]
- Li, F.; Li, X.; Zhang, B.; Li, Z.; Lu, M. Multiobjective Optimization Configuration of a Prosumer’s Energy Storage System Based on an Improved Fast Nondominated Sorting Genetic Algorithm. IEEE Access 2021, 9, 27015–27025. [Google Scholar] [CrossRef]
- Karandeh, R.; Lawanson, T.; Cecchi, V. A Two-Stage Algorithm for Optimal Scheduling of Battery Energy Storage Systems for Peak-Shaving. In Proceedings of the 2019 North American Power Symposium (NAPS), Wichita, KS, USA, 13–15 October 2019; pp. 1–6. [Google Scholar] [CrossRef]
- Arzani, A.; Venayagamoorthy, G.K. Computational Approach to Enhance Performance of Photovoltaic System Inverters Interfaced to Utility Grids. IET Renew. Power Gener. 2018, 12, 112–124. [Google Scholar] [CrossRef]
- Dimas, C.; Ramos, G.; Caro, L.; Luna, A.C. Parallel Computing and Multicore Platform to Assess Electric Vehicle Hosting Capacity. IEEE Trans. Ind. Appl. 2020, 56, 4709–4717. [Google Scholar] [CrossRef]
- Saldarini, A.; Longo, M.; Brenna, M.; Zaninelli, D. Battery Electric Storage Systems: Advances, Challenges, and Market Trends. Energies 2023, 16, 7566. [Google Scholar] [CrossRef]
- Moghaddam, I.N.; Chowdhury, B.H.; Mohajeryami, S. Predictive Operation and Optimal Sizing of Battery Energy Storage With High Wind Energy Penetration. IEEE Trans. Ind. Electron. 2018, 65, 6686–6695. [Google Scholar] [CrossRef]
- Qing, K.; Huang, Q.; Chen, S.; Hu, W.; Wang, J. Optimized Operating Strategy for a Distribution Network Containing BESS and Renewable Energy. In Proceedings of the IEEE PES Innovative Smart Grid Technologies Asia (ISGT Asia), Kuala Lumpur, Malaysia, 22–25 April 2019; pp. 1593–1597. [Google Scholar] [CrossRef]
- Bowen, T.; Chernyakhovskiy, I.; Denholm, P. Grid-Scale Battery Storage: Frequently Asked Questions; U.S. Department of Energy: Golden, CO, USA, 2019. Available online: https://www.nrel.gov/docs/fy19osti/74426.pdf (accessed on 24 February 2024).
- Denholm, P.L.; Margolis, R.M. The Potential for Energy Storage to Provide Peaking Capacity in California Under Increased Penetration of Solar Photovoltaics; National Renewable Energy Lab. (NREL): Golden, CO, USA, 2018. [CrossRef]
- IEEE Std 1547-2018; IEEE Standard for Interconnection and Interoperability of Distributed Energy Resources with Associated Electric Power Systems Interfaces. IEEE: Nwe York, NY, USA, 2018. [CrossRef]
- Yoshizawa, S.; Yanagiya, Y.; Ishii, H.; Hayashi, Y.; Matsuura, T.; Hamada, H.; Mori, K. Voltage-Sensitivity-Based Volt-VAR-Watt Settings of Smart Inverters for Mitigating Voltage Rise in Distribution Systems. IEEE Open Access J. Power Energy 2021, 8, 584–595. [Google Scholar] [CrossRef]
- Mirafzal, B.; Adib, A. On Grid-Interactive Smart Inverters: Features and Advancements. IEEE Access 2020, 8, 160526–160536. [Google Scholar] [CrossRef]
- Amako, E.A.; Arzani, A.; Mahajan, S.M. BESS Scheduling for Two Communities of an Active Distribution Network. In Proceedings of the 2025 IEEE Texas Power and Energy Conference (TPEC), Houston, TX, USA, 20–22 February 2025; pp. 1–6. [Google Scholar] [CrossRef]
- OpenDSS Documentation. Power Delivered to the Circuit. Available online: https://opendss.epri.com/Powerdeliveredtothecircuit.html (accessed on 24 February 2024).
- ANSI C84.1-2020; Electric Power Systems and Equipment–Voltage Ratings (60 Hz). ANSI: Washington, DC, USA, 2020.
- Parsopoulos, K.E.; Vrahatis, M.N. On the computation of all global minimizers through particle swarm optimization. IEEE Trans. Evol. Comput. 2004, 8, 211–224. [Google Scholar] [CrossRef]
- Xue, B.; Zhang, M.; Browne, W.N. Particle Swarm Optimization for Feature Selection in Classification: A Multi-Objective Approach. IEEE Trans. Cybern. 2013, 43, 1656–1671. [Google Scholar] [CrossRef] [PubMed]
- Shi, Y.; Eberhart, R. A modified particle swarm optimizer. In Proceedings of the 1998 IEEE International Conference on Evolutionary Computation, IEEE World Congress on Computational Intelligence, Anchorage, AK, USA, 4–9 May 1998; pp. 69–73. [Google Scholar] [CrossRef]
- Mashayekhi, M.; Harati, M.; Estekanchi, H.E. Development of an alternative PSO-based algorithm for simulation of endurance time excitation functions. Eng. Rep. 2019, 1, e12048. [Google Scholar] [CrossRef]
- Montenegro, D.; Dugan, R.C.; Reno, M.J. Open Source Tools for High Performance Quasi-Static-Time-Series Simulation Using Parallel Processing. In Proceedings of the 2017 IEEE 44th Photovoltaic Specialist Conference (PVSC), Washington, DC, USA, 25–30 June 2017; pp. 3055–3060. [Google Scholar] [CrossRef]
- Arritt, R.F.; Dugan, R.C. The IEEE 8500-Node Test Feeder. In Proceedings of the IEEE PES T&D 2010, New Orleans, LA, USA, 19–22 April 2010; pp. 1–6. [Google Scholar] [CrossRef]
- EPRI. Distributed Energy Resource Value Estimation Tool (DER-VET™ v1.2); Program 94; EPRI: Palo Alto, CA, USA, 2022. [Google Scholar]
- EPRI. Modeling High-Penetration PV for Distribution Interconnection Studies: Smart Inverter Function Modeling in OpenDSS, Rev. 3; 3002011305; EPRI: Palo Alto, CA, USA, 2017. [Google Scholar]
- Karanki, S.B.; Xu, D. Optimal Capacity and Placement of Battery Energy Storage Systems for Integrating Renewable Energy Sources in Distribution System. In Proceedings of the 2016 National Power Systems Conference (NPSC), Mumbai, India, 13–15 December 2016; pp. 1–6. [Google Scholar] [CrossRef]
- National Renewable Energy Laboratory (NREL). NSRDB: National Solar Radiation Database. Available online: https://nsrdb.nrel.gov/data-viewer (accessed on 24 February 2025).













| Specification | Details |
|---|---|
| Architecture | Intel(R) Core(TM) i7-13700 |
| Core and Thread Count | 16 Cores, 24 Threads |
| Base Speed | 2.10 GHz |
| Memory | 4 × 32 GB DDR5-4400 MT/s |
| Component | Community 1 | Community 2 | Community 3 | Community 4 |
|---|---|---|---|---|
| Demand Active Power [kW] | 473 | 477 | 464 | 615 |
| Demand Reactive Power [kVAr] | 120.1 | 120.6 | 118.9 | 154 |
| PV Power [kW] | 500 | 500 | 500 | 500 |
| BESS Power [kW] | 321 | 330 | 321 | 425 |
| BESS Energy [kWh] | 1631 | 1646 | 1600 | 2120 |
| Scenario | Parameter | Without PSO (Stage 1) | With PSO (Stage 2) | % Reduction |
|---|---|---|---|---|
| Cloudy Irradiance | Peak Demand [kW] | 9727 | 9466.81 | 2.675 |
| [kW] | 1097.1 (8026.7) | 1016.4 (7970.4) | 7.356 | |
| Energy Shaved [kWh] | 1760.1 | 1757.9 | 0.125 |
| Scenario | Parameter | Without PSO (Stage 1) | With PSO (Stage 2) | % Reduction |
|---|---|---|---|---|
| Cloudy Irradiance | Peak Demand [kW] | 9587.1 | 9451.96 | 1.409 |
| [kW] | 1079.8 (7990.1) | 989.5 (7988.7) | 8.363 | |
| Energy Shaved [kWh] | 3010.64 | 2850.09 | 5.333 |
| Parameter | No DER | Without SI Functions | % Reduction | |||
|---|---|---|---|---|---|---|
| VV | CPF | VW | VV/VW | |||
| Total Energy [MWh] | 200.26 | 191.27 | 0.017 (0.032) MWh | 0.037 (0.071) | 0.065 (0.12) | 0.114 (0.21) |
| Total DN Loss [MWh] | 15.78 | 14.62 | 0.228 (0.033) MWh | 0.397 (0.058) | 0.096 (0.014) | 0.484 (0.071) |
| POI Phases | VV | CPF | VW | VV/VW | ||||||||||||
|---|---|---|---|---|---|---|---|---|---|---|---|---|---|---|---|---|
| Community | Community | Community | Community | |||||||||||||
| 1 | 2 | 3 | 4 | 1 | 2 | 3 | 4 | 1 | 2 | 3 | 4 | 1 | 2 | 3 | 4 | |
| node a | 14.05 | 12.54 | 12.61 | 9.66 | 20.89 | 14.42 | 14.81 | 14.73 | 0.56 | 0.87 | 0.45 | 0.48 | 17.96 | 15.99 | 12.66 | 11.32 |
| node b | 4.41 | 6.28 | 1.92 | 7.46 | 10.29 | 10.06 | 13.77 | 10.94 | 0.10 | 0.28 | 0.12 | 0.18 | 35.45 | 32.17 | 28.81 | 31.45 |
| node c | 4.01 | 1.78 | 0.41 | 1.93 | 15.54 | 9.05 | 11.22 | 17.00 | 0.95 | 14.81 | 14.45 | 12.96 | 15.96 | 37.63 | 34.29 | 26.71 |
Disclaimer/Publisher’s Note: The statements, opinions and data contained in all publications are solely those of the individual author(s) and contributor(s) and not of MDPI and/or the editor(s). MDPI and/or the editor(s) disclaim responsibility for any injury to people or property resulting from any ideas, methods, instructions or products referred to in the content. |
© 2025 by the authors. Licensee MDPI, Basel, Switzerland. This article is an open access article distributed under the terms and conditions of the Creative Commons Attribution (CC BY) license (https://creativecommons.org/licenses/by/4.0/).
Share and Cite
Amako, E.A.; Arzani, A.; Mahajan, S.M. Heuristic-Based Scheduling of BESS for Multi-Community Large-Scale Active Distribution Network. Electricity 2025, 6, 36. https://doi.org/10.3390/electricity6030036
Amako EA, Arzani A, Mahajan SM. Heuristic-Based Scheduling of BESS for Multi-Community Large-Scale Active Distribution Network. Electricity. 2025; 6(3):36. https://doi.org/10.3390/electricity6030036
Chicago/Turabian StyleAmako, Ejikeme A., Ali Arzani, and Satish M. Mahajan. 2025. "Heuristic-Based Scheduling of BESS for Multi-Community Large-Scale Active Distribution Network" Electricity 6, no. 3: 36. https://doi.org/10.3390/electricity6030036
APA StyleAmako, E. A., Arzani, A., & Mahajan, S. M. (2025). Heuristic-Based Scheduling of BESS for Multi-Community Large-Scale Active Distribution Network. Electricity, 6(3), 36. https://doi.org/10.3390/electricity6030036

