Next Article in Journal
Harnessing Deep Learning for Enhanced MPPT in Solar PV Systems: An LSTM Approach Using Real-World Data
Next Article in Special Issue
Combined Power Generating Complex and Energy Storage System
Previous Article in Journal
Increasing Renewable Energy Penetration on Low-Voltage Networks: An Expert Knowledge Approach
 
 
Font Type:
Arial Georgia Verdana
Font Size:
Aa Aa Aa
Line Spacing:
Column Width:
Background:
Article

A Novel Non-Unit Protection Method for MMC-HVDC Transmission Lines Based on the Ratio of Line-Mode Voltage Second Derivative †

Department of Electrical Engineering, Xi’an University of Technology, Xi’an 710048, China
*
Author to whom correspondence should be addressed.
This paper is the extended version of our conference paper, Ouyang, J.; Wang, Y.; Ma, Z.; Liang, D.; Fan, S.; Bai, M. Ultra-high speed non-unit protection for flexible DC transmission lines based on the ratio of second derivative of line-mode voltage. In Proceedings of the 20th International Conference on AC and DC Power Transmission 2024 (ACDC 2024), Shanghai, China, 12–15 July 2024.
Electricity 2024, 5(4), 826-842; https://doi.org/10.3390/electricity5040041
Submission received: 13 September 2024 / Revised: 21 October 2024 / Accepted: 24 October 2024 / Published: 1 November 2024
(This article belongs to the Special Issue Recent Advances in Power and Smart Grids)

Abstract

The modular multilevel converter (MMC) high-voltage direct current (HVDC) transmission technology is essential for overcoming the challenges of large-scale renewable energy integration. Line protection is critical for ensuring system safety. However, existing protection methods for MMC-HVDC transmission lines face difficulties in withstanding both high resistance and noise interference, frequently leading to failures in detecting internal high-resistance faults or triggering false operations due to noise. This paper first derives the theoretical expression of the line-mode voltage through analytical methods. By analyzing the second derivative of the line-mode voltage under different fault conditions, this paper constructs a criterion based on the ratio of the integrals of the positive and negative components of the second derivative of the line-mode voltage. This criterion enables effective fault discrimination by utilizing the characteristic differences in the second-derivative waveform. The proposed criterion allows for precise fault identification, requiring only a 0.5 ms time window to detect faults. Additionally, this criterion is highly resistant to transition resistance, remaining unaffected by resistances up to 500 Ω. Moreover, an entropy-based auxiliary criterion is introduced to prevent false operations caused by noise interference. Simulation results using PSCAD/EMTDC demonstrate that the proposed protection scheme can swiftly and reliably detect faults, with a detection time of 0.5 ms and robust performance against both high transition resistance and noise interference.

1. Introduction

Modular multilevel converter (MMC) high-voltage direct current (HVDC) transmission technology enables the efficient integration of large-scale renewable energy and facilitates interconnection with traditional AC grids. This makes it an effective solution for advancing the development of a power system with new energy generation. MMC-HVDC transmission demonstrates great potential in long-distance transmission, high-capacity power transfer, and renewable energy grid integration due to its superior control capabilities and stability [1,2]. However, as MMC-HVDC transmission technology evolves, the protection systems face increasing demands and challenges. The protection of MMC-HVDC transmission lines must meet the requirements of rapid response and high reliability to ensure the safe and stable operation of the system [3,4,5]. Research shows that existing fault protection methods often struggle with high-impedance faults and noise disturbance, making it essential to develop more selective and reliable algorithms [6].
Line protections can be categorized into non-unit protections and unit protections depending on the different types of fault information utilized. Non-unit protection primarily detects faults by monitoring electrical quantities at one end of the transmission line. A non-unit protection method based on the Levenberg–Marquardt algorithm proposed in [7] constructs protection criteria by analyzing the propagation characteristics of fault traveling waves in flexible DC transmission lines. The authors in [8] examine the variations in the dominant frequency components of the initial traveling wave under internal and external fault conditions in flexible DC transmission lines, proposing a non-unit protection scheme that relies on the dominant frequency component of the initial traveling wave for fault identification. This scheme operates rapidly and is easy to set up, but the algorithm for extracting the dominant frequency component is relatively complex. Studies in [9] theoretically analyze the frequency-domain characteristics of line mode-power traveling waves under internal and external fault conditions. It employs the S-transform to convert the line-mode power. The method analyzes the amplitude differences between low and high frequencies and constructs the ratio of low-frequency-to-high-frequency amplitudes as the protection criterion, achieving high-precision fault identification. This method does not depend on a communication system and is adaptable for various complex grid environments. These approaches can accurately detect and locate faults, especially in scenarios where fast response and independence are critical. However, non-unit protection relies solely on electrical quantities from one end to determine faults. This reliance sometimes makes it difficult to protect the whole line. It also makes the system more susceptible to noise and other electromagnetic interferences, resulting in lower immunity to disturbances.
Unit protection methods monitor electrical quantities at both ends of the transmission line simultaneously, comparing them to determine faults. Unit protections effectively distinguish between internal and external faults, thereby enhancing the accuracy and reliability of fault identification. Studies in [10] propose a unit protection scheme for modular multilevel converter MMC-HVDC grids. The method extracts transient voltage and current characteristics at both ends, using Variational Mode Decomposition (VMD) and Hilbert transform, and then calculates the Hilbert phase difference to identify fault types and directions. Studies in [11] investigate a novel pilot protection scheme based on differential voltage for hybrid LCC/MMC HVDC transmission lines. The scheme calculates differential voltages at two setting points along the line to accurately detect internal faults, with the advantages of high-fault-resistance tolerance and simplified calculation processes. However, the system can be affected by communication delays and high levels of noise, which may impact its speed and reliability. Studies in [12] introduce a unit protection principle for MMC-HVDC transmission systems based on the two-dimensional space projection of dual differential currents for lines connecting MMC-HVDC systems. The scheme analyzes the trajectory of dual differential currents to differentiate between the internal currents. It also adapts to different operating modes and has low computational complexity, making it suitable for practical engineering. And the protection scheme used in this paper employs a 2 ms time window. However, there is still room for improvement in terms of the protection’s speed of operation.
Although unit protection offers significant reliability and accuracy advantages in MMC-HVDC transmission systems, it relies on a highly reliable communication system, which increases costs and complexity and introduces delay issues for protection operation. Additionally, some unit protection schemes also struggle with poor tolerance to transition resistance, and there is still room for improvement in protection sensitivity and noise immunity.
To address the existing challenges in MMC-HVDC transmission-line protections, this paper proposes a highly reliable ultra-high-speed non-unit protection scheme. The structure of the paper is as follows:
Section 2 and Section 3 derive the time-domain analytical expressions for the first wave of fault line-mode voltages by transforming higher-order complex frequency domain expressions into several single-exponential components. This approach yields time-domain analytical expressions, which provide the foundation for fault characteristic analysis. Section 4 and Section 5 analyze the second derivatives of the fault line-mode voltages. Based on these analyses, the paper develops fault discrimination criteria and introduces information entropy as an auxiliary criterion to enhance the reliability of protection judgments. Section 6 validates the effectiveness of the proposed method through various simulation tests.

2. Modeling of MMC-HVDC Transmission System and Theoretical Foundations of Traveling Wave Analysis

2.1. Model of MMC-HVDC Transmission System

Figure 1 illustrates the topology of a two-terminal MMC-HVDC system. The system utilizes overhead transmission for 500 km lines, with a voltage rating of ±500 kV. In the figure, R represents the protection devices installed on either side of the line, and Lb denotes the current-limiting reactor. The positive direction of the current is defined as flowing from the DC bus to the line. For the protection device R, line fault f1 is categorized as an internal fault, f3, is a backward external fault, and f2, is a forward external fault.
This paper establishes the theoretical basis for rapid line protection principles by analyzing the first traveling wave under various fault conditions. The following subsections explain the decoupling of electrical quantities, describe the MMC converter model, outline the propagation characteristics of the line, and present the simplified model of the DC transmission line.

2.2. The Phase-Mode Transformation

In a bipolar DC system, the voltages and currents of the two poles exhibit electromagnetic coupling. By applying the phase-mode transformation, the positive and negative pole electrical quantities can be decoupled into line-mode and zero-mode components, as shown in Equation (1) [13].
F 0 F 1 = 1 2 1 1 1 1 F P F n
where Fp and Fn represent the electrical quantities of the positive and negative poles, respectively; and F0 and F1 denote the zero-mode and line-mode components, respectively.
Compared to line-mode traveling waves, zero-mode waves experience greater attenuation and more significant dispersion during propagation. Therefore, this paper focuses on analyzing line-mode voltage. All electrical quantities mentioned in the following sections refer to line-mode components, unless otherwise specified.

2.3. Analysis of the MMC Converter Model

For a half-bridge MMC converter, the control system has inherent time-delay characteristics. It is generally assumed that the impedance parameters of the converter remain essentially constant during the capacitor discharge phase. This assumption holds before the MMC submodules are blocked. The equivalent impedance, ZM, of the MMC converter can be represented by an RLC second-order series circuit during the fault transient period [14].
Z M = 1 s C eq + s L eq + R eq
where Ceq represents the submodule capacitance involved in discharging after a fault, and it is expressed as Ceq = 6C/n, where C is the submodule DC capacitance and n is the number of submodules. Leq reflects the influence of the arm inductors, Larm, with its expression given by Leq = 2Larm/3. Req is derived from the arm resistance, R0, and is expressed as Req = 2R0/3.

2.4. Analysis of Line Propagation Characteristics

According to the fault traveling-wave theory, dispersion phenomena occur as the traveling wave propagates along the transmission line [15]. By neglecting the propagation delay of the traveling wave, the line transfer function can be approximately represented as shown in Equation (3):
A ( s ) = K 1 + s T
where K represents the line attenuation ratio, and T denotes the line-dispersion time constant.

2.5. Equivalent Model of the DC Transmission Line

For a distributed-parameter DC transmission line, the Bergeron equivalent method [16] can be used to approximate it as two lumped-parameter subcircuits, as shown in Figure 2. In the figure, UM(s), UN(s), IM(s), and IN(s) represent the voltages and currents at the M and N terminals, respectively. BMN(s) and BNM(s) denote the Bergeron equivalent voltage sources, and the two subcircuits are interconnected through the relationship in Equation (4).
B MN ( s ) = 2 A ( s ) F N ( s ) B NM ( s ) = 2 A ( s ) F M ( s )
where FN(s) and FM(s) represent the forward-traveling waves at the N and M terminals, respectively.

3. Analytical Analysis of the First Traveling Wave of Fault Line-Mode Voltage

3.1. Internal Fault

Taking a positive pole grounding fault as an example, when a positive pole fault occurs at fault point f1, the equivalent model of the line-mode component at the fault port and the protection measurement port of the MMC-HVDC transmission system is shown in Figure 3. This paper analyzes only the transient process caused by the first traveling wave, neglecting subsequent wave reflections, as the subsequent wave reflections and refractions caused by the traveling waves will interfere with the analysis of the first incident wave of the line-mode voltage; thus, in subcircuit II, the line Bergeron equivalent voltage source is BfM1(s) = 0.
The equivalent excitation line-mode voltage source for the fault is as follows:
U f 1 ( s ) = 2 Z c 1 U f Z c 1 + Z c 0 + 4 R f 1 s
where Uf is the DC voltage at the fault point before the fault occurs, which can be approximated as the rated voltage of the DC line. Zc1 represents the line-mode wave impedance of the line, Zc0 represents the zero-mode wave impedance of the line, and Rf is the transition resistance.
The Bergeron equivalent voltage source at the protection port is as follows:
B M f 1 ( s ) = 2 A ( s ) U f 1 ( s )
During the transient process, the MMC can be approximated as an RLC model. Since the energy of the traveling wavefront is primarily concentrated in the high-frequency range, the resistance and capacitance in the MMC equivalent circuit have negligible effects during the fault traveling wave phase and can be ignored. Therefore, the equivalent impedance at the protection back end can be expressed as follows:
s L m = s ( L b + L eq )
The voltage measured by the protection system is as follows:
U in ( s ) = s L m s L m + Z c 1 B M f 1 ( s )
Rewrite Equation (8) in the form of a sum of rational fractions:
U in ( s ) = k a a 1 s + p 1 a 2 s + p 2
The full expressions for each coefficient are provided in Table 1. The “/” symbol indicates the absence of an index coefficient.
The inverse Laplace transform of Equation (9) yields the time-domain analytical expression for the first traveling wave of line-mode voltage during an internal solid pole-to-ground fault:
U i n ( t ) = L 1 U in ( s ) = k a a 1 e p 1 t k a a 2 e p 2 t
Consider a solid pole-to-ground fault occurring 100 km from the distance protection, R1. The analytical curve is plotted based on Equation (10) and then compared with the simulated waveform, as shown in Figure 4. The results indicate that the time-domain analytical expression for the first traveling wave of line-mode voltage under an internal solid pole-to-ground fault accurately reflects the fault line-mode voltage waveform, validating the effectiveness of the analytical results. The system parameters are set as follows: Zc1 = 250 Ω, Zc0 = 396 Ω, Lb = 200 mH, LMMC = 53.3 mH, UN = 500 kV, K = 0.98, and T = 1.21 × 10−5 s.

3.2. Backward External Fault

The equivalent model of the positive pole in the MMC-HVDC grid is shown in Figure 5 for when a backward external fault (f3) occurs. Since the positive and negative poles within the converter station operate independently without any coupling effect, the additional fault voltage source, Uf(s), is transmitted to the end of the DC line through the line boundary current-limiting reactor, forming an equivalent fault-induced voltage source Uf(s). Then, after line-mode transformation, the line-mode voltage measured at the protection point is given by the following:
U b 1 o u t ( s ) = 2 Z 0 Z 1 + Z 0 U f ( s ) = 2 Z 0 Z 1 + Z 0 U f s L 1 R f + s L 1 Z c Z c + s L b 1 s
where Zc represents the pole wave impedance, L 1 = L eq L b L eq + L b , Z 0 = Z c 0 / / s L m = Z c 0 s L m Z c 0 + s L m , and Z 1 = Z c 1 / / s L m = Z c 1 s L m Z c 1 + s L m .
Equation (12) can be decomposed into a sum of rational fractions with first-order denominators:
U b 1 o u t ( s ) = k b ( b 1 s + q 1 + b 2 s + q 2 + b 3 s + q 3 )
The full expressions for each coefficient are provided in Table 2, where d = L m / 2 ( Z c 0 / / Z c 1 ) .
Taking the inverse Laplace transform of Equation (12) yields the time-domain analytical expression for the first traveling wave of line-mode voltage during a backward external fault:
U b 1 o u t ( t ) = L 1 U b 1 o u t ( s ) = k b b 1 e q 1 t + k b b 2 e q 2 t + k b b 3 e q 3 t
As an example, consider a solid pole-to-ground fault occurring on the backward external DC bus side. The analytical curve is plotted based on Equation (13), with Rf = 0 Ω, Zc = 310 Ω, and the remaining parameters as in Section 3.1. The results, shown in Figure 6, validate the accuracy of the analytical solution.

3.3. Forward External Fault

When a forward external fault (f2) occurs, the process is similar to that of a backward external fault. The additional fault voltage source passes through the line boundary, forming the equivalent fault-induced voltage source, Uf1(s). This voltage then enters the line and is decoupled to obtain the line-mode fault-induced voltage. The traveling wave generated by this voltage propagates along the line to the initial end, where the protection system measures the voltage, expressed as follows:
U f 1 o u t ( s ) = 2 Z 0 Z 1 + Z 0 U f s s L 1 R f + s L 1 Z c Z c + s L b 2 s L m s L m + Z c 1 K 1 + s T
Similarly, decompose Equation (14) into a sum of rational fractions with first-order denominators:
U f 1 o u t ( s ) = k c ( c 1 s + r 1 + c 2 s + r 2 + c 3 s + r 3 + c 4 s + r 4 + c 5 s + r 5 )
The full expressions for each coefficient are provided in Table 3.
The inverse Laplace transform of Equation (15) yields the time-domain analytical expression for the first traveling wave of line-mode voltage during a forward external fault:
U f 1 o u t ( t ) = L 1 U f 1 o u t ( s ) = k c c 1 e r 1 t + k c c 2 e r 2 t + k c c 3 e r 3 t + k c c 4 e r 4 t + k c c 5 e r 5 t
The analytical curve for a solid forward external fault is plotted using Equation (16) and compared with the simulation curve, as shown in Figure 7, validating the accuracy of the analytical results.

4. Analysis of Line-Mode Voltage Second Derivative

In this section, the initial analytical expression of fault voltage derived in Section 3 is used to analyze the second derivative of the line-mode voltage. This analysis aims to reveal the relationship between the second derivative of line-mode voltage at different fault locations, providing a theoretical basis for protection schemes under various fault scenarios.

4.1. Analysis of Internal Fault

The expression for the second derivative of the line-mode voltage during an internal fault, calculated using Equation (10), is as follows:
U in ( t ) = k a p 1 2 a 1 e p 1 t k a p 2 2 a 2 e p 2 t
This section analyzes the second derivative of line-mode voltage during internal faults at different fault locations and transition resistances. The line remains in a steady state before the fault; to ensure the integrity of the first traveling-wave signal, the time window is set from 0.05 ms before the fault to 0.5 ms after. The pre-fault voltage is set to zero due to the use of fault components. Figure 8 and Figure 9 show the second derivative waveforms of line-mode voltage for internal faults under fault conditions with different fault location and fault resistance. The results indicate two extrema—one negative and one positive—with similar magnitudes. As fault distance and transition resistance increase, the magnitudes of these extrema slightly decrease, but their absolute values remain close. The area enclosed by the positive part of the second derivative curve and the 0-time axis is nearly equal to the area enclosed by the negative part and the 0-time axis.

4.2. Analysis of External Fault

After solving the second derivatives of Equations (13) and (16), the analytical expressions for the second derivatives of line-mode voltage under backward external faults and forward external faults are obtained as follows:
U b 1 o u t ( t ) = k b q 1 2 b 1 e q 1 t + k b q 2 2 b 2 e q 2 t + k b q 3 2 b 3 e q 3 t U f 1 o u t ( t ) = k c r 1 2 c 1 e r 1 t + k c r 2 2 c 2 e r 2 t + k c r 3 2 c 3 e r 3 t + k c r 4 2 c 4 e r 4 t + k c r 5 2 c 5 e r 5 t
Using the same method as in Section 4.1, the second derivative waveforms of line-mode voltage under forward and backward external faults are analyzed, along with the distribution and magnitude characteristics of the extrema.
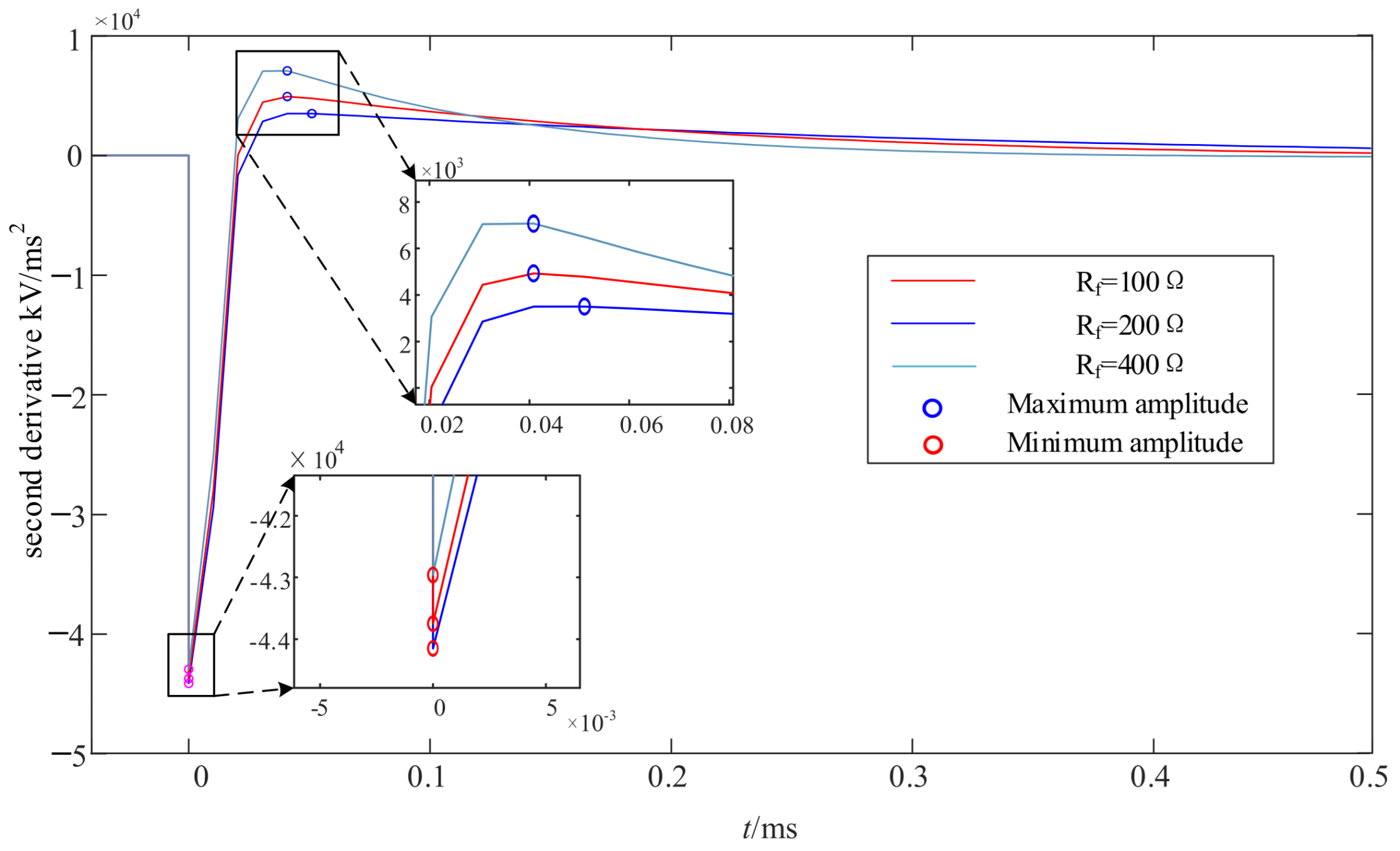
The analysis results for Figure 10 and Figure 11 indicate that during an external fault, the second derivative of the line-mode voltage exhibits two extrema, one positive and one negative, with a significant difference in magnitude. As the transition resistance increases, the overall characteristics of the second derivative waveform change minimally. Both the positive and negative extrema decrease slightly in magnitude, but the difference between them remains unchanged. Additionally, it can be inferred that in the case of an external fault, the area enclosed by the negative part of the second derivative curve and the 0-time-axis is significantly larger than the area enclosed by the positive part and the 0-time-axis, and this result is largely unaffected by the transition resistance.

4.3. Integral Ratio of the Second Derivative of Line-Mode Voltage

Based on the above analysis, the waveform characteristics of the second derivative of line-mode voltage show significant differences between internal and external faults. For internal faults, the integral areas of the positive and negative parts of the second derivative are nearly equal. In contrast, for external faults, the integral area of the negative part is significantly larger than that of the positive part.
Based on this characteristic difference, this paper establishes a protection criterion. The time window is set from 0.05 ms before the protection is triggered to 0.5 ms after it. Within this window, the positive and negative parts of the second derivative of line-mode voltage are integrated to obtain u″+ and u″−, respectively. The ratio KR is then calculated as the ratio of u″+ to u″−.
K R = u + u = d 2 u / d t 2 + d 2 u / d t 2
The fault location is determined based on the value of KR.
It is important to note that this analysis focuses on the first wave of line-mode voltage at the moment the fault occurs. To eliminate the influence of subsequent traveling waves, the wavefront position is extracted using the wavelet modulus maxima method. This ensures that the interference from later waves is excluded. If there is only one maximum within the time window, it indicates that no subsequent waves have arrived. If there are multiple maxima, data before the second maximum are recorded, and the second derivative after the time corresponding to this data point is set to 0 until the complete time window to ensure uniformity.

4.4. Analysis of the Impact of Noise on the Second Derivative

Given that the second derivative inherently involves differentiating the original signal twice, and differentiation tends to amplify noise, it is crucial to consider the impact of noise when using the KR value as a criterion. Figure 12a–c compare the second derivative waveforms of line-mode voltage for faults f1, f2, and f3 with and without 10 dB Gaussian white noise added.
Figure 12 shows that after adding white noise, the positive and negative extrema of the second derivative of line-mode voltage for internal faults remain similar to those without noise. However, for external faults, the second derivative waveform becomes significantly disturbed, appearing more chaotic and complex after adding noise. For external faults, the addition of white noise affects the position and magnitude of the extrema, thereby altering the integral areas of the positive and negative portions. This change reduces the accuracy of distinguishing between internal and external faults solely based on the positive-to-negative integral ratio, KR. However, the analysis indicates that the level of disorder in the second derivative of line-mode voltage for external faults increases significantly compared to internal faults when noise is present.
To enhance the reliability of fault discrimination, this paper introduces the concept of information entropy to assist in identifying fault types at different locations. Information entropy quantifies the complexity of time-series signals, aiding in the analysis of power-system transients, identification of abnormal signal patterns, and fault diagnosis [17,18,19]. Suppose a discrete random variable has n possible outcomes with probabilities p1, p2, …pn. The Shannon information entropy H is then defined as follows:
H = i = 1 n p i log p i
The fluctuation of the second derivative of line-mode voltage directly affects the value of information entropy. If the second derivative fluctuates significantly within a certain time period, the disorder and complexity of the signal are high, resulting in a higher information entropy value. Conversely, if the second derivative remains relatively stable over a period, the disorder and complexity are lower, leading to a lower information entropy value [20]. After adding Gaussian white noise, the fluctuation, disorder, and complexity of the second derivative of line-mode voltage are significantly greater under external fault conditions than under internal fault conditions.
To better illustrate the differences in disorder between internal and external faults under noise interference, the second derivative waveforms of line-mode voltage for both fault types were sorted by magnitude after adding noise. The sorted waveforms are shown in Figure 13. In the case of internal faults, the distribution of the second derivative values is highly concentrated, whereas, for external faults, the values exhibit a broader range of fluctuations, indicating higher disorder. A corresponding probability distribution histogram based on the magnitude of the second derivative is presented in Figure 14. The histogram is created by assigning the sorted second derivative values to several predefined, equally spaced bins. The number of data points in each bin is then counted. This process reflects the frequency of occurrence for each value. The probability for each bin is calculated by dividing the number of data points in that bin by the total number of data points, with the height of each bar in the histogram representing the corresponding probability, as denoted by pi in Equation (20). Figure 14 shows that the probability distribution histogram for internal faults is highly concentrated, indicating a low information entropy value; in contrast, the histogram for external faults is more dispersed, reflecting a higher information entropy value. Therefore, this analysis demonstrates that the magnitude of the information entropy derived from the second derivative waveform of line-mode voltage can effectively differentiate external faults under noise interference.

5. Protection Scheme

5.1. The Startup Criterion

This paper utilizes an improved voltage gradient algorithm to rapidly activate the protection, with the computational expression as follows:
Δ u 1 k = j = 0 2 u 1 k j j = 3 5 u 1 k j > Δ set
where u1(kj) represents the voltage sample value at the jth sampling period before the current sample, and the k in it is the sampling point; Δu1(k) is the voltage gradient at the current sampling time; and Δset is the threshold value. If the phase voltage gradient satisfies Equation (21), the line protection algorithm is activated, and the time corresponding to the sampling point k is recorded as the activation time.

5.2. Fault Identification Criterion

Based on the analysis in Section 4, this paper proposes the ratio KR of the second derivative of line-mode voltage to distinguish between internal and external faults. To avoid the influence of second derivative values near zero on the comparison result, the second derivative values greater than uset are defined as the set um1, and their integral is denoted as u″+; second derivative values smaller than −uset are defined as the set um2, and their integral is denoted as u″−:
u + = u ( k ) u m 1 N u ( k ) u = u ( k ) u m 2 N u ( k )
where k is the sampling sequence index, and N is the number of sampling points corresponding to the 0.5 ms data window. In this paper, uset = 3.3 × 103. The integral ratio KR of the second derivative of line-mode voltage can then be expressed as follows:
K R = u + u
Based on the theoretical analysis presented in this paper, the corresponding identification criteria are as follows:
K R < K Rset  
where KRset is the threshold value for fault determination. Considering a certain margin, KRset is set as 0.8 in this paper. If the calculated KR satisfies Equation (24), the fault is identified as an external fault; otherwise, the fault is identified as an internal fault.

5.3. Interference Identification Criterion

Based on the analysis in Section 4.4, this paper utilizes the information entropy of the second derivative waveform of line-mode voltage to enhance the resistance of the protection system to noise interference. The amplitude of the second derivative of line-mode voltage is divided into continuous intervals. The number of data points within each interval is calculated. This determines the distribution of different line-mode voltage amplitudes across these intervals and provides the corresponding probabilities, pi. The information entropy, H, of the second derivative of line-mode voltage is then calculated as follows:
p i = c i i = 1 n c i H = i = 1 n p i ln p i
where pi represents the probability of the ith interval in the probability distribution histogram, and ci represents the number of data points within the ith interval.
The fault criterion is established as follows:
H > H s e t
where Hset is the threshold value for fault determination and is set as 1.2. If the calculated H satisfies Equation (26), the fault indicates an external fault under noise conditions; otherwise, the fault is identified as an internal fault.

5.4. Protection Process

The schematic diagram of the proposed protection scheme is shown in Figure 15.

6. Simulation Verification

The topology of the four-terminal MMC-HVDC grid, as depicted in Figure 1, was constructed in PSCAD. The protection system operates with a sampling frequency of 100 kHz and is simulated for validation using protection R.
For the internal fault simulation, a positive pole-to-ground fault is set every 100 km along the DC line. The external fault simulation includes a forward external fault (f2) and a backward external fault (f3). All faults are tested under transition resistance conditions of 0 Ω, 200 Ω, 300 Ω, and 500 Ω. The fault occurrence time is set to 1 s. The simulation results are shown in Table 3, where a result of 1 indicates an internal fault, and 2 indicates an external fault.
As shown in Table 4, the fault identification criterion proposed in this paper accurately distinguishes between internal and external faults. The KR for internal faults remains nearly constant as the fault distance increases. Additionally, the proposed fault identification criterion reliably operates even under a 500 Ω transition resistance, demonstrating strong tolerance to high transition resistance.
In practical engineering, sampling data are often affected by noise. To test the reliability of the fault identification criterion proposed in this paper, 10 dB Gaussian white noise is applied. The simulation results are shown in Table 5.
Comparing the fault analysis data in Table 4 and Table 5 under different conditions shows that the KR criterion reliably identifies internal faults, but it becomes ineffective for external faults under noise conditions. However, introducing the information entropy, H, of the line-mode voltage as an auxiliary criterion allows for effective differentiation between internal and external faults. Extensive simulation verification shows that the fault identification criterion proposed in this paper still accurately identifies internal and external faults even under 10 dB noise.
A four-terminal MMC-HVDC grid test system was built in PSCAD to test the applicability of the proposed protection criterion across different system topologies, as shown in Figure 16. The system includes four bipolar MMC stations, and Rij (i = 1, 2, 3, 4; j = 1, 2) represents the protection measurement points at the end of each line, with Lb = 200 mH. Taking protection R11 for transmission line L1 as an example to test the protection performance, typical internal faults, f1; backward external faults, f3; and forward external fault, f2, are considered to verify the effectiveness of the proposed protection method.
In the test, the threshold values of the protection scheme are still applicable in the four-terminal MMC-HVDC grid. The results in Table 6 indicate that the proposed protection method can accurately identify internal and external faults in a four-terminal MMC-HVDC grid.

7. Conclusions

To address the challenge in existing MMC-HVDC transmission line protection systems of balancing speed and anti-interference capabilities, this paper proposes a non-unit traveling wave protection method based on the ratio of the second derivative of line-mode voltage. The specific conclusions are as follows:
(1)
This paper derives the time-domain analytical expression for the first traveling wave of line-mode voltage and analyzes the differences in the second derivative characteristics of line-mode voltage under different fault conditions, using the theoretical expression. The analysis results show that internal faults feature two extrema with similar magnitudes. In contrast, external faults feature two extrema with significantly different magnitudes.
(2)
This paper constructs a protection criterion based on the integral ratio of the second derivative of fault line-mode voltage, utilizing less than 1 ms of fault information to ensure a high-speed performance. And this paper introduces the information entropy of the second derivative of line-mode voltage as an auxiliary criterion, enhancing the reliability of protection under noise interference.
(3)
Extensive simulation results demonstrate that the proposed protection method can quickly and effectively distinguish between internal and external faults in DC lines and exhibit strong tolerance to transition resistance and noise interference.
This paper derives the time-domain analytical expression for the first traveling wave of line-mode voltage and analyzes the differences in the second derivative characteristics of line-mode voltage under different fault conditions, using the theoretical expression. The analysis results show that internal faults feature two extrema with similar magnitudes. In contrast, external faults feature two extrema with significantly different magnitudes.
This paper constructs a protection criterion based on the integral ratio of the second derivative of fault line-mode voltage, utilizing less than 1 ms of fault information to ensure a high-speed performance. And this paper introduces the information entropy of the second derivative of line-mode voltage as an auxiliary criterion, enhancing the reliability of protection under noise interference.
Extensive simulation results demonstrate that the proposed protection method can quickly and effectively distinguish between internal and external faults in DC lines and exhibit strong tolerance to transition resistance and noise interference.

Author Contributions

Methodology, Y.W.; software, J.O.; validation, Y.W. and J.O.; formal analysis, J.O.; data curation, J.O. and Z.S.; writing—original draft preparation, J.O.; writing—review and editing, Y.W., Z.S. and S.F.; supervision, Y.W.; project administration, Y.W.; funding acquisition, Y.W. All authors have read and agreed to the published version of the manuscript.

Funding

This research was funded by “China Postdoctoral Science Foundation, grant number 2021M690126”; and “Project of Shaanxi Provincial Department of Science and Technology”, grant number 2024JC-YBMS-285”.

Data Availability Statement

The datasets generated and/or analyzed during the current study are not publicly available but are available from the corresponding author upon reasonable request.

Conflicts of Interest

The author declares no conflicts of interest.

References

  1. Tang, G.; He, Z.; Pang, H. Discussion on Applying The VSC-HVDC Technology in Global Energy Interconnection. Glob. Energy Interconnect. 2016, 4, 116–123. [Google Scholar]
  2. Freytes, J.; Akkari, S.; Rault, P.; Belhaouane, M.M.; Gruson, F.; Colas, F.; Guillaud, X. Dynamic Analysis of MMC-Based MTDC Grids: Use of MMC Energy to Improve Voltage Behavior. IEEE Trans. Power Deliv. 2019, 34, 137–148. [Google Scholar] [CrossRef]
  3. Franck, C. HVDC Circuit Breakers: A Review Identifying Future Research Needs. IEEE Trans. Power Deliv. 2011, 26, 998–1007. [Google Scholar] [CrossRef]
  4. Langwasser, M.; Carne, G.; Liserre, M.; Biskoping, M. Fault Current Estimation in Multi-Terminal HVDC Grids Considering MMC Control. IEEE Trans. Power Syst. 2019, 34, 2179–2189. [Google Scholar] [CrossRef]
  5. Perez, M.; Bernet, S.; Rodriguez, J.; Kouro, S.; Lizana, R. Circuit Topologies, Modeling, Control Schemes, and Applications of Modular Multilevel Converters. IEEE Trans. Power Electron. 2015, 30, 4–17. [Google Scholar] [CrossRef]
  6. Xiang, W.; Yang, S.; Adam, P.G.; Zhang, H.; Zuo, W.; Wen, J. DC Fault Protection Algorithms of MMC-HVDC Grids: Fault Analysis, Methodologies, Experimental Validations, and Future Trends. IEEE Trans. Power Deliv. 2021, 36, 11245–11263. [Google Scholar] [CrossRef]
  7. Zhang, C.; Li, Y.; Song, G.; Dong, X. Fast and Sensitive Non-unit Protection Method for HVDC Grids Using Levenberg–Marquardt Algorithm. IEEE Trans. Ind. Electron. 2022, 69, 9064–9074. [Google Scholar] [CrossRef]
  8. Deng, F.; Zhang, Z.; Zhong, H.; Zeng, Z. Single-ended Traveling Wave Protection for Flexible DC Transmission Lines Based on the Main Frequency Component of the Initial Traveling Wave. Proc. CSEE 2022, 43, 5797–5808. (In Chinese) [Google Scholar]
  9. Tong, X.; Zhao, Z.; Wang, Y.; Dong, X. The Single-Ended Protection of Flexible HVDC Transmission Line Based on Traveling Wave Power Amplitude Ratios Using S-Transform. J. Electr. Eng. Technol. 2023. [Google Scholar] [CrossRef]
  10. He, Y.; Zheng, X.; Tai, N.; Wang, J.; Nadeem, M.H.; Liu, J. A DC Line Protection Scheme for MMC-Based DC Grids Based on AC/DC Transient Information. IEEE Trans. Power Deliv. 2020, 35, 2800–2811. [Google Scholar] [CrossRef]
  11. Han, K.; Chen, Y.; Wen, M.; Ma, R. A Novel Pilot Protection Scheme Based on Differential Voltage for Hybrid LCC/MMC HVDC Transmission Lines. IEEE Trans. Power Deliv. 2024, 39, 1816–1826. [Google Scholar] [CrossRef]
  12. Liang, Y.; Ren, Y.; Zhang, Z. Pilot Protection Based on Two-Dimensional Space Projection of Dual Differential Currents for Lines Connecting MMC–HVDC Stations. IEEE Trans. Ind. Electron. 2023, 70, 4356–4368. [Google Scholar] [CrossRef]
  13. Tang, L.; Dong, X.; Shi, S.; Kong, M.; Qiu, Y. Principle and Implementation of Ultra-High-Speed Travelling Wave Based Protection for Transmission Line of Flexible HVDC Grid. Power Syst. Technol. 2018, 42, 3176–3186. (In Chinese) [Google Scholar]
  14. Leterme, W.; Van Hertem, D. Reduced Modular Multilevel Converter Model to Evaluate Fault Transients in Dc Grids. In IET International Conference Developments in Power System Protection; IET: Copenhagen, Denmark, 2014. [Google Scholar]
  15. Liu, L.; Lekić, A.; Popov, M. Robust Traveling Wave-Based Protection Scheme for Multiterminal DC Grids. IEEE Trans. Power Deliv. 2023, 38, 3117–3129. [Google Scholar] [CrossRef]
  16. Wang, Y.; Fan, X.; Zhang, B. The Analytical Analysis and Protection Setting of Traveling Wave Protection in VSC-HVDC Grid. Proc. CSEE 2019, 39, 3201–3212. (In Chinese) [Google Scholar]
  17. Frank, S. How to Read Probability Distributions as Statements about Process. Entropy 2014, 16, 6059–6098. [Google Scholar] [CrossRef]
  18. Ognjenovic, V.; Brtka, V.; Stojanov, J.; Brtka, E.; Berkovic, I. The Cuts Selection Method Based on Histogram Segmentation and Impact on Discretization Algorithms. Entropy 2022, 24, 675. [Google Scholar] [CrossRef] [PubMed]
  19. Zhang, G.; Zhong, H. Review and Prospect of Information Entropy and Its Applications in Power Systems. Proc CSEE 2023, 43, 6155–6181. (In Chinese) [Google Scholar]
  20. Havrylenko, Y.; Kholodniak, Y.; Halko, S.; Vershkov, O.; Miroshnyk, O.; Suprun, O.; Dereza, O.; Shchur, T.; Śrutek, M. Representation of a Monotone Curve by a Contour with Regular Change in Curvature. Entropy 2021, 23, 923. [Google Scholar] [CrossRef] [PubMed]
Figure 1. Topology of two-terminal MMC-HVDC system.
Figure 1. Topology of two-terminal MMC-HVDC system.
Electricity 05 00041 g001
Figure 2. Bergeron equivalent model of the two-terminal DC transmission line in the complex frequency domain.
Figure 2. Bergeron equivalent model of the two-terminal DC transmission line in the complex frequency domain.
Electricity 05 00041 g002
Figure 3. Equivalent circuit of the line during an internal fault.
Figure 3. Equivalent circuit of the line during an internal fault.
Electricity 05 00041 g003
Figure 4. Comparison between theoretical analysis and PSCAD simulation of the line-mode voltage waveform for internal faults.
Figure 4. Comparison between theoretical analysis and PSCAD simulation of the line-mode voltage waveform for internal faults.
Electricity 05 00041 g004
Figure 5. Equivalent circuit of the positive pole during a backward external short-circuit fault.
Figure 5. Equivalent circuit of the positive pole during a backward external short-circuit fault.
Electricity 05 00041 g005
Figure 6. Comparison between theoretical analysis and PSCAD simulation line-mode voltage waveform for backward fault.
Figure 6. Comparison between theoretical analysis and PSCAD simulation line-mode voltage waveform for backward fault.
Electricity 05 00041 g006
Figure 7. Comparison between theoretical analysis and PSCAD simulation line-mode voltage waveform for forward fault.
Figure 7. Comparison between theoretical analysis and PSCAD simulation line-mode voltage waveform for forward fault.
Electricity 05 00041 g007
Figure 8. Second derivative waveforms of line-mode voltage at different fault distances for internal faults.
Figure 8. Second derivative waveforms of line-mode voltage at different fault distances for internal faults.
Electricity 05 00041 g008
Figure 9. Second derivative waveforms of line-mode voltage at different transition resistances for internal faults.
Figure 9. Second derivative waveforms of line-mode voltage at different transition resistances for internal faults.
Electricity 05 00041 g009
Figure 10. Second derivative waveforms of line-mode voltage with different transition resistances for forward external faults.
Figure 10. Second derivative waveforms of line-mode voltage with different transition resistances for forward external faults.
Electricity 05 00041 g010
Figure 11. Second derivative waveforms of line-mode voltage with different transition resistances for backward external faults.
Figure 11. Second derivative waveforms of line-mode voltage with different transition resistances for backward external faults.
Electricity 05 00041 g011
Figure 12. Second derivative waveform of line-mode voltage for: (a) internal fault, (b) backward external fault, and (c) forward external fault.
Figure 12. Second derivative waveform of line-mode voltage for: (a) internal fault, (b) backward external fault, and (c) forward external fault.
Electricity 05 00041 g012
Figure 13. Sorted waveforms of the second derivative of line-mode voltage for internal and external faults with 10 dB noise added.
Figure 13. Sorted waveforms of the second derivative of line-mode voltage for internal and external faults with 10 dB noise added.
Electricity 05 00041 g013
Figure 14. Probability distribution histogram of the second derivative of line-mode voltage for internal and external faults with 10 dB noise added.
Figure 14. Probability distribution histogram of the second derivative of line-mode voltage for internal and external faults with 10 dB noise added.
Electricity 05 00041 g014
Figure 15. Schematic diagram of the proposed protection scheme.
Figure 15. Schematic diagram of the proposed protection scheme.
Electricity 05 00041 g015
Figure 16. Topology of the four-terminal MMC-HVDC grid.
Figure 16. Topology of the four-terminal MMC-HVDC grid.
Electricity 05 00041 g016
Table 1. Coefficients of the first traveling-wave expression for line-mode voltage under internal fault conditions.
Table 1. Coefficients of the first traveling-wave expression for line-mode voltage under internal fault conditions.
Proportional CoefficientIndex Coefficient
k a = 2 2 Z c 1 U f K Z c 1 + Z c 0 + 4 R f /
a 1 = L m L m Z c 1 T p 1 = 1 T
a 2 = Z c 1 L m L m Z c 1 T p 2 = Z c 1 L m
Table 2. Coefficients of the first traveling-wave expression for line-mode voltage under backward external fault conditions.
Table 2. Coefficients of the first traveling-wave expression for line-mode voltage under backward external fault conditions.
Proportional CoefficientIndex Coefficient
k b = 2 2 U f L 1 Z c /
b 1 = L 1 R f L m / Z c 1 ( L 1 Z c R f L b ) ( L 1 R f p ) q 1 = R f L 1
b 2 = L b L m Z c / Z c 1 ( L b R f Z c L 1 ) ( L b Z c p ) q 2 = Z c L b
b 3 = p L m / Z c 1 ( p R f L 1 ) ( Z c p L b ) q 3 = 1 p
Table 3. Coefficients of the first traveling-wave expression for line-mode voltage under forward external fault conditions.
Table 3. Coefficients of the first traveling-wave expression for line-mode voltage under forward external fault conditions.
Proportional CoefficientIndex Coefficient
k c = 2 2 K Z c T L b U f /
c 1 = ( 1 / d ) 1 / 2 d + ( 1 / d ) Z c 1 / ( Z c 0 + Z c 1 ) ( 1 / T 1 / d ) ( 1 / d + Z c / L b ) ( 1 / d + R f / L 1 ) ( 1 / d + Z c 1 / L m ) r 1 = 1 d
c 2 = Z c 1 / L m × 1 / 2 d Z c 1 / L m ) × Z c 1 / ( Z c 0 + Z c 1 ) ( 1 / T Z c 1 / L m ) ( Z c 1 / L m + 1 / d ) ( Z c 1 / L m + Z c / L b ) ( Z c 1 / L m + R f / L 1 ) r 2 = Z c 1 L m
c 3 = 1 / T 1 / d + 1 / T Z c 1 / ( Z c 0 + Z c 1 ) ( 1 / T + 1 / 2 d ) ( 1 / T + Z c / L b ) ( 1 / T + R f / L 1 ) ( 1 / T + Z c 1 / L m ) r 3 = 1 T
c 4 = Z c / L b 1 / 2 d + Z c / L b Z c 1 / ( Z c 0 + Z c 1 ) ( 1 / T Z c / L b ) ( Z c / L b + 1 / d ) ( Z c / L b + R f / L 1 ) ( Z c / L b + Z c 1 / L m ) r 4 = Z c L b
c 5 = R f / L 1 1 / 2 d + R f / L 1 Z c 1 / ( Z c 0 + Z c 1 ) ( 1 / T R f / L 1 ) ( R f / L 1 + 1 / d ) ( R f / L 1 + Z c / L b ) ( R f / L 1 + Z c 1 / L m ) r 5 = R f L 1
Table 4. Test results of positive pole-to-ground faults.
Table 4. Test results of positive pole-to-ground faults.
Fault LocationRf = 0 ΩRf = 300 ΩRf = 500 Ω
KRHResultsKRHResultsKRHResults
f1 (100 km)1.0210.78611.0130.28411.0110.3511
f1 (200 km)1.0180.37811.0120.37811.0070.3781
f1 (300 km)1.0150.37811.0100.47111.0090.4711
f1 (400 km)1.0190.47111.0090.47111.0080.5381
f20.000/20.428/20.688/2
f30.341/20.390/20.543/2
Table 5. Test results of positive pole-to-ground faults (with 10 dB noise).
Table 5. Test results of positive pole-to-ground faults (with 10 dB noise).
Fault LocationRf = 0 ΩRf = 300 ΩRf = 500 Ω
KRHResultsKRHResultsKRHResults
f1 (100 km)1.0120.41710.9960.39810.9920.3781
f1 (200 km)1.0130.36411.0100.54411.0100.7141
f1 (300 km)1.0110.37811.0000.50510.9870.5321
f1 (400 km)1.0120.47111.0310.47111.0120.5791
f21.0262.32421.0352.37821.1412.4342
f30.9242.15021.0352.11421.0102.0982
Table 6. Test results of four-terminal positive pole-to-ground fault.
Table 6. Test results of four-terminal positive pole-to-ground fault.
Fault LocationRf = 0 ΩRf = 300 ΩRf = 500 Ω
KRHResultsKRHResultsKRHResults
f1 (50 km)1.010.2811.010.2811.010.281
f1 (50 km 10 dB)1.000.2811.010.3511.000.381
f1 (100 km)1.010.2811.010.2811.010.371
f1 (100 km 10 dB)1.000.2811.000.4311.000.351
f1 (150 km)1.010.2811.020.2811.030.281
f1 (150 km 10 dB)1.000.2811.000.2811.000.351
f20.00/20.48/20.68/2
f2 (10 dB)0.932.5921.092.9221.032.692
f30.00/20.08/20.42/2
f3 (10 dB)0.912.5721.052.7421.022.642
Disclaimer/Publisher’s Note: The statements, opinions and data contained in all publications are solely those of the individual author(s) and contributor(s) and not of MDPI and/or the editor(s). MDPI and/or the editor(s) disclaim responsibility for any injury to people or property resulting from any ideas, methods, instructions or products referred to in the content.

Share and Cite

MDPI and ACS Style

Wang, Y.; Ouyang, J.; Shi, Z.; Fan, S. A Novel Non-Unit Protection Method for MMC-HVDC Transmission Lines Based on the Ratio of Line-Mode Voltage Second Derivative. Electricity 2024, 5, 826-842. https://doi.org/10.3390/electricity5040041

AMA Style

Wang Y, Ouyang J, Shi Z, Fan S. A Novel Non-Unit Protection Method for MMC-HVDC Transmission Lines Based on the Ratio of Line-Mode Voltage Second Derivative. Electricity. 2024; 5(4):826-842. https://doi.org/10.3390/electricity5040041

Chicago/Turabian Style

Wang, Yanting, Jiayuan Ouyang, Zhaoyuan Shi, and Shunyue Fan. 2024. "A Novel Non-Unit Protection Method for MMC-HVDC Transmission Lines Based on the Ratio of Line-Mode Voltage Second Derivative" Electricity 5, no. 4: 826-842. https://doi.org/10.3390/electricity5040041

APA Style

Wang, Y., Ouyang, J., Shi, Z., & Fan, S. (2024). A Novel Non-Unit Protection Method for MMC-HVDC Transmission Lines Based on the Ratio of Line-Mode Voltage Second Derivative. Electricity, 5(4), 826-842. https://doi.org/10.3390/electricity5040041

Article Metrics

Back to TopTop