Next Article in Journal
Microgrid Protection through Adaptive Overcurrent Relay Coordination
Next Article in Special Issue
Peak Shaving with Battery Energy Storage Systems in Distribution Grids: A Novel Approach to Reduce Local and Global Peak Loads
Previous Article in Journal
Repowering Feasibility Study of a Current Hybrid Renewable System. Case Study, Galapagos Islands
Previous Article in Special Issue
Electric Vehicles as a Flexibility Provider: Optimal Charging Schedules to Improve the Quality of Charging Service
 
 
Due to scheduled maintenance work on our servers, there may be short service disruptions on this website between 11:00 and 12:00 CEST on March 28th.
Font Type:
Arial Georgia Verdana
Font Size:
Aa Aa Aa
Line Spacing:
Column Width:
Background:
Article

Optimization of 1D/3D Electro-Thermal Model for Liquid-Cooled Lithium-Ion Capacitor Module in High Power Applications

1
Research Group MOBI—Mobility, Logistics and Automotive Technology Research Centre, Vrije Universiteit Brussel, Pleinlaan 2, 1050 Brussels, Belgium
2
Flanders Make, 3001 Heverlee, Belgium
*
Author to whom correspondence should be addressed.
Electricity 2021, 2(4), 503-523; https://doi.org/10.3390/electricity2040030
Submission received: 28 September 2021 / Revised: 19 October 2021 / Accepted: 29 October 2021 / Published: 4 November 2021
(This article belongs to the Special Issue Recent Advances in Energy Storage Systems)

Abstract

:
Lithium-ion capacitor technology (LiC) is well known for its higher power density compared to electric double-layer capacitors (EDLCs) and higher energy density compared to lithium-ion batteries (LiBs). However, the LiC technology is affected by a high heat generation problem in high-power applications when it is continuously being charged/discharged with high current rates. Such a problem is associated with safety and reliability issues that affect the lifetime of the cell. Therefore, for high-power applications, a robust thermal management system (TMS) is essential to control the temperature evolution of LiCs to ensure safe operation. In this regard, developing accurate electrical and thermal models is vital to design a proper TMS. This work presents a detailed 1D/3D electro-thermal model at module level employing MATLAB/SIMULINK® coupled to the COMSOL Multiphysics® software package. The effect of the inlet coolant flow rate, inlet coolant temperature, inlet and outlet positions, and the number of arcs are examined under the cycling profile of a continuous 150 A current rate without a rest period for 1400 s. The results prove that the optimal scenario for the LCTMS would be the inlet coolant flow rate of 500 mL/min, the inlet temperature of 30 °C, three inlets, three outlets, and three arcs in the coolant path. This scenario decreases the module’s maximum temperature (Tmax) and temperature difference by 11.5% and 79.1%, respectively. Moreover, the electro-thermal model shows ±5% and ±4% errors for the electrical and thermal models, respectively.

1. Introduction

Electric vehicles (EVs) are becoming popular due to their zero emissions by employing electrical energy storage systems (ESSs) for traction [1]. The most-used ESSs are electric double-layer capacitors (EDLC) and lithium-ion batteries (LiBs) [2]. EDLCs show longer lifetime and higher power ratios, while they suffer from low energy density [3]. Although LiBs are exceptional solutions for high energy densities, low power density is their major drawback [4]. In this respect, lithium-ion capacitors (LiCs) have emerged that are hybrid ESSs [5]. The main benefits of LiCs are higher power compared to LiBs and higher energy compared to EDLCs, which make LiCs very reliable in high-power applications [6]. Nevertheless, excessive heat generation in high-power applications can reduce their performance and lifetime [7]. Thus, a robust cooling system should be designed to control the LiC’s temperature [8].
Before designing a thermal management system (TMS), the development of accurate electrical and thermal models is vital for further optimization of the developed system to guarantee the robustness of the proposed system [9]. In this context, following the development of a 1D electro-thermal model, a 3D thermal model should be developed [10]. A 3D thermal model is a computational fluid dynamics (CFD) model aiming for system optimization [11]. A 1D electrical model is responsible for extracting the electrical parameters, such as internal resistance, capacitance, and open-circuit voltage (OCV) [12], which will be used to extract the heat loss of the cell through the 1D thermal model [13]. The 3D thermal model will then employ the extracted power loss to predict the LiC’s thermal behavior [14]. The 1D model in this work was developed in the MATLAB/SIMULINK® environment, and the 3D model was built in the COMSOL Multiphysics® software package.
Generally, active and passive cooling systems are the main methods to control the ESSs [15,16]. Passive systems include heat sinks [17], heat pipes [18], and phase change materials (PCM) [19]. Heat sinks are metal plates to enhance the heat flow away from a heat source [20]. Heat pipes are highly thermally conductive substances that remove the generated heat from heat sources; they have some drawbacks, such as complex design [21], low performance in high-power applications [22], and gravity dependency [23]. PCMs are materials that absorb and reject heat generation (thermal energy) when they are melted and frozen [24]. During the thermal cycling process, PCMs change their phase from solid to liquid. The major problem of PCMs is their very low thermal conductivity, which limits their applications [25]. Therefore, other highly conductive materials, such as heat pipes [26], graphite [27], nanomaterials [28], nanofluids [29], copper foams [30], or aluminum foams [31], should be added to PCMs to cope with this drawback.
On the other hand, active cooling systems comprise air and liquid cooling methods [32,33]. Air-cooled TMSs are reasonable solutions at low ambient temperatures when the inlet and outlet positions are well-structured and the inlet flow velocity is set accordingly [34]. The heat transfer rate of liquid-cooled TMSs is higher than air, making them a perfect candidate in high-power applications. Karimi et al. [34] developed an air cooling system for a LiC 2300 F cell and decreased the maximum temperature of the cell by 14%. Akbarzadeh et al. [35] compared an air cooling system with a liquid cooling system for a module of LiB, in which they proved that the temperature uniformity of the liquid-cooled system was better than that of the air cooling system. Gungor et al. [36] proposed a liquid cooling design for EVs. They proved that a canopy-to-canopy architecture has high thermal performance to maintain the battery cell in the desired range. Tang et al. [37] designed and optimized a lightweight cooling system for four prismatic batteries. Their proposed design had 1.88% and 2.36% weight ratios. Tang et al. [38] designed an automatic calibrated model for TMS based on the SVR model with RBF kernel. Cao et al. [39] upgraded a liquid cooling TMS using composite PCMs. They showed that the battery’s maximum temperature and temperature uniformity were below 46 °C and 4 °C, respectively. Rui et al. [40] established a 3D thermal runaway propagation (TRP) model with liquid-cooled structures and showed that the criticality boundary could guide the safety design aspects for the TMS.
To the best of the authors’ knowledge, no work in the literature has proposed a liquid-cooled system for a module of 12 LiC cells cycled under a 150 A harsh current rate. This paper continues the work published in [41], in which two cold plates cooled a LiC cell. Moreover, in this article, a detailed 1D/3D electro-thermal model is developed at module level employing MATLAB/SIMULINK® coupled to the COMSOL Multiphysics® software package, used to optimize the proposed cooling system. The design optimization parameters are the effect of the inlet coolant flow rate, inlet coolant temperature, inlet and outlet positions, and the number of arcs. Finally, a conclusion is made at the end of this work that combines all the optimized design parameters to yield the most optimized liquid-cooled TMS (LCTMS) regarding the proposed cooling system’s architecture and geometry.

2. Numerical Solution

The present work introduces a 1D electro-thermal model coupled to a 3D thermal model to validate and optimize a forced liquid-cooled TMS (LCTMS). The proposed LCTMS is responsible for cooling down the LiC 2300 F in high-power applications. In this regard, a high current rate of 150 A is applied to the module continuously without a rest period for 1400 s. The characteristics of the target cell used in the module are listed in Table 1.
In this experimental and numerical study, the 1D/3D numerical simulation analysis has been carried out using MATLAB SIMULINK® and COMSOL Multiphysics®. In the coupled 1D/3D model, the 1D electrical model identifies the electrical parameters used while the 1D thermal model extracts the thermal parameters. The heat dissipation of the cell is extracted using the 1D model. Then, the system’s heat loss is imported into the 3D thermal model to develop the LCTMS CFD simulation and optimization. The 1D electrical and thermal models are developed in the MATLAB SIMULINK® environments, while the 3D thermal model is developed in COMSOL Multiphysics®. This coupled 1D/3D model development reduces the simulation time. Figure 1 exhibits how the 1D electrical and thermal models are linked to the 3D CFD model.

2.1. LiC 2300 F Electrical Model

The 1D electrical model is developed to identify the internal electrical parameters (open-circuit voltage (OCV [V]), ohmic resistance ( R 0 [Ω]), polarization resistance ( R P [Ω]), and polarization capacitance ( C P [F])) of 2300 F LiC under high current rates ( I [A]) within a wide range of temperatures (T [°C]). The electrical model is a second-order equivalent circuit model (ECM) that includes two RC circuits. RC denotes the resistance and capacitance of the LiC cell. Based on the governing equations and the chosen second-order ECM, the electrical parameters of the LiC are identified. The terminal voltage ( V t [V]) of the 2300 F LiC is expressed as [12]:
V t = O C V S o C , T I L R 0 S o C , T , I L V C P 1 S o C , T , I L V C P 2 S o C , T , I L
d V C P i d t = 1 R P i C P i V C P i + 1 C P i I L
τ i = R P i C P i
The extracted parameters for the second-order ECM at 25 °C under a high current rate of 150 A for 100% SoC values are listed in Table 2. As is evident, all these parameters depend highly on temperature. Figure 2 shows the current and voltage applied to the cell. It is revealed that the heat loss of the cell increases sharply at the beginning of the cycling, following a slight decrease that comes from the temperature change of the cell during the charge and discharge processes.

2.2. LiC 2300 F Thermal Model

The thermal model of the LiC is divided into one-dimensional and three-dimensional models. The first one is responsible for extracting the heat loss of the cell. In contrast, the second one uses the extracted loss to simulate the LiC under various operating conditions for validation purposes and optimization analysis.

2.2.1. 1D Thermal Model

In this work, the surface temperature of the LiC is modeled to estimate the thermal parameters precisely. The essential parameters of the model are the heat loss of the LiC, the initial temperature of the cell, and ambient temperature. The heat loss of the cell is divided into reversible and irreversible heat that stems from the entropy changes and internal resistance of the cell, respectively. The entropy change (reversible heat) can be positive or negative, but the internal resistance (irreversible heat) is always positive. In this regard, the power loss of the cell is expressed as [13]:
P l o s s = I L 2 R 0 S o C , T , I L + I R P 1 2 R P 1 S o C , T , I L + I R P 2 2 R P 2 S o C , T , I L I L T c e l l O C V T c e l l , S o C T c e l l
where P l o s s [W] denotes the heat loss of the LiC cell and T c e l l [°C] is the temperature of the LiC. Figure 3 demonstrates the heat loss under fast charge/discharge with a continuous 150 A current rate during the 1400 s experimental test.
The generated heat of the LiC regarding its dimensions for a 150 A fast charging and fast discharging profile is listed in Table 3, which demonstrates that the generated heat of the LiC is 3.5 times larger than the normal heat generation condition of LiBs [42].

2.2.2. 3D Thermal Model

Heat generation of the LiC during its operation occurs mainly because of the ion migration process, which incorporates the electrochemical reaction, the side reaction, and the Joule losses [43]. The losses related to side reactions can be neglected due to the LiC’s operation at safe temperatures [44]. As mentioned in the 1D thermal modeling subsection, the reversible ( q ˙ r e v ) and irreversible ( q ˙ i r r ) heat sources are the main contributors to the heat generation of the LiC ( q ˙ g e n ), which come from entropy change and internal resistance, respectively [45]. In addition, cell and tab domains are considered in the heat generation modeling of the LiC due to the non-uniform temperature distribution. The heat generation of the cell domain can be expressed as:
q ˙ g e n = q ˙ i r r + q ˙ r e v = I   U V I   T   U T
For the tab domain, the heat generation is expressed as:
q ˙ g e n = R   I 2 V t a b
Based on the density ( ρ ) and specific heat ( C p ) in the 3D thermal model, the energy conservation is expressed as:
ρ C p Δ V T t = Δ U A x T x + Δ U A y T y + Δ U A z T z + Δ q ˙ g e n
For the liquid cooling system model, the Reynolds number determines the turbulent or laminar flow, which directly depends on the hydraulic diameter ( d c ), coolant density ( ρ c ), and velocity ( v c ):
R e = ρ c v c d c u c
d c = 4 A c P c 4 π r c 2 2 π r c
where A c , P c , and r c represent the channel cross-sectional area, perimeter, and radius. In the present work, the length of the channel is much larger than its cross-sectional area. Therefore, the flow should be considered as a fully developed flow. The Gnielinski correlation is employed to obtain the convective heat transfer coefficient [46]:
N u c o o l = ( f c o o l 8 ) ( R e c o o l 1000 ) P r c o o l 1 + 12.7 ( f c o o l 8 ) 1 / 2   ( P r c o o l 0.66 1 ) ,    2300 < R e c o o l < 5 × 10 6
The Darcy friction factor ( f c o o l ) for the coolant is achieved by having the channel’s aspect ratio ( γ ) [47]:
f c o o l = 1.0875 0.1125 γ · f c o o l , 0
Considering the channel length ( L ) and diameter ( D ), the pressure drop of the LCTMS is expressed as:
Δ P = i = 1 n f c o o l ρ c o o l ( L D ) e q v v c o o l 2 2
The system’s parameters, initial conditions, and boundaries are set in the 3D CFD model to verify the numerical simulations against the experiments. Table 4 shows the initial conditions and boundaries of the LCTMS.
The next step would be mesh generation and setting the step time and solver directly related to the system’s complexity and computational time. After analyzing different grid densities, the mesh element number of 6,426,351 was utilized with a 1 s time step.

3. Experimental Test Bench

The facilities used in the experimental investigation are a module of 12 LiC cells, 13 cold plates, a battery management system (BMS), a data logger, eight k-type thermocouples, a radiator, a pump, a power supply, a battery tester, and a computer.

3.1. Battery Management System (BMS)

The most vital element of the module used to monitor and control the voltage of all the cells, balance the state of charge (SoC), and monitor the temperature of each cell is the battery management system (BMS). The BMS is necessary to protect the cells against over-charging/discharging, and they are connected in series. The importance of the BMS lies in overcoming the voltage and SoC imbalance among the cells. In this work, a passive BMS is used to balance the LiC cells with low costs. The main functions of the utilized BMS are:
  • Parameter measurement (voltage, current, resistance, and temperature);
  • Safety and protection against over-charging/discharging, over-temperature, current limit;
  • Communication through CAN-bus or RS-485 port.
In this work, the BMS is used to equalize the LiC voltages by using 10 ohmic resistors called the switched shunt resistor. Figure 4 exhibits the block diagram of the experimental test bench for the LiC module while employing a BMS for balancing the cells and protecting the module. This can be done by monitoring the module’s temperature, voltage, and current at each time step. The current of the module is measured by a low-side precision shunt ohmic resistor with 0.25% accuracy. Additionally, the voltage drop of the module is measured by the shunt ohmic resistor thanks to its four-wire Kelvin connection. The BMS is connected to the shunt ohmic resistor via a short shielded cable. The ADC (analog to digital converter) with high accuracy filters out the noise or the current spikes. The temperature profile of the module is monitored by the K-type thermocouples and a data logger. Two small fans and a heat sink are added to protect the BMS from over-heating. The prototype of the used BMS and the wiring/connections is depicted in Figure 5.

3.2. Test Bench Setup

A forced LCTMS is used for cooling purposes in this work to cool down the temperature rise of the LiC 2300 F module in harsh operating conditions. The module is composed of 12 prismatic LiC cells connected in series. The LCTMS is composed of 13 cold plates, meaning that every two cold plates are attached to the left and right sides of the larger surface of the LiC cell. In the main case study, the inlet flow rate is set at 100 mL/min with an initial temperature of 23 °C. The pump is responsible for drawing the coolant from the tank storage to the cold plates. The coolant flow path is from the first cold plate to the last cold plate. Therefore, it is expected that the first cells experience a lower temperature, while the middle cells to the last should be hotter. The last cell (cell #12) is expected to be colder than the adjacent cells due to the heat flux, since one side of this cell is exposed to the ambient temperature. Figure 6 demonstrates the facilities used in this work.
As is depicted in Figure 7, the computer is connected to the BMS through a CAN-bus or RS-485 port. On the other side, the computer is connected to the data logger to monitor the module’s temperature evolution during the experiments. The battery tester is responsible for applying the current and voltage to the module for cycling the cells. Two fans and a heat sink are embedded in the BMS part to cool it down in order to avoid failure of the BMS. The radiator cools down the coolant coming from the outlet of the cold plates. The coolant outlet temperature is directly proportional to the heat generation rate, but the inlet temperature of the coolant is almost 23 °C, thanks to the highly efficient radiator. The pump flows the coolant from the storage tank to the inlet of the LCTMS. In addition, 8 K-type thermocouples monitor the temperature at each time step, for which, in this work, the time step of the data logger and thermocouples is set to 1 s. This means that the thermocouples and the data logger save the temperature data every 1 s. The position of the thermocouples is shown in Figure 8. Based on the temperature of the cells, from colder to hotter cells, the number of the thermocouples was set to be more apparent from colder to hotter points in the graphical temperature evolution curves. The expected results would be colder temperatures for the T1 to T4 thermocouples and hotter temperatures for the T5 to T8 thermocouples. The experimental results are explained in the next section.

3.3. Experimental Results

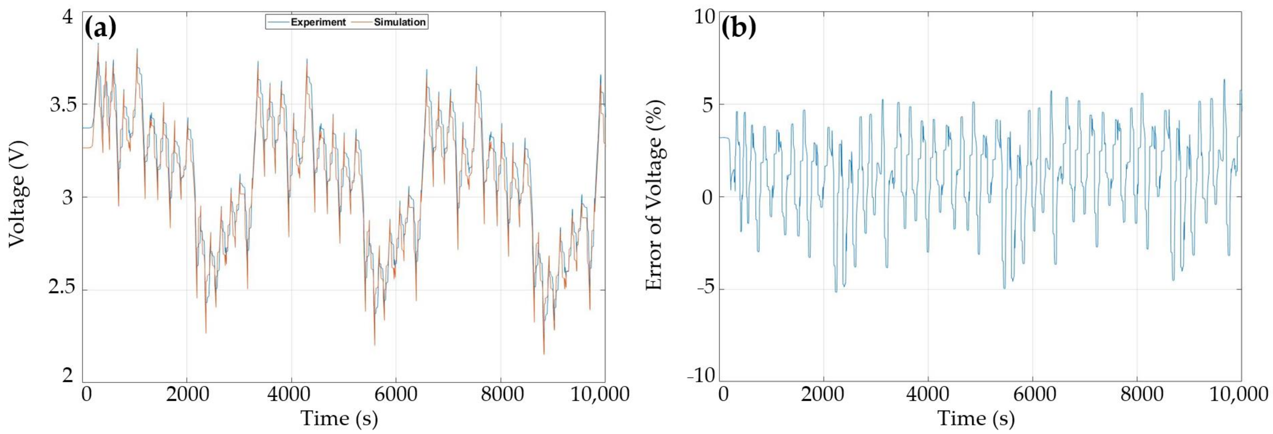
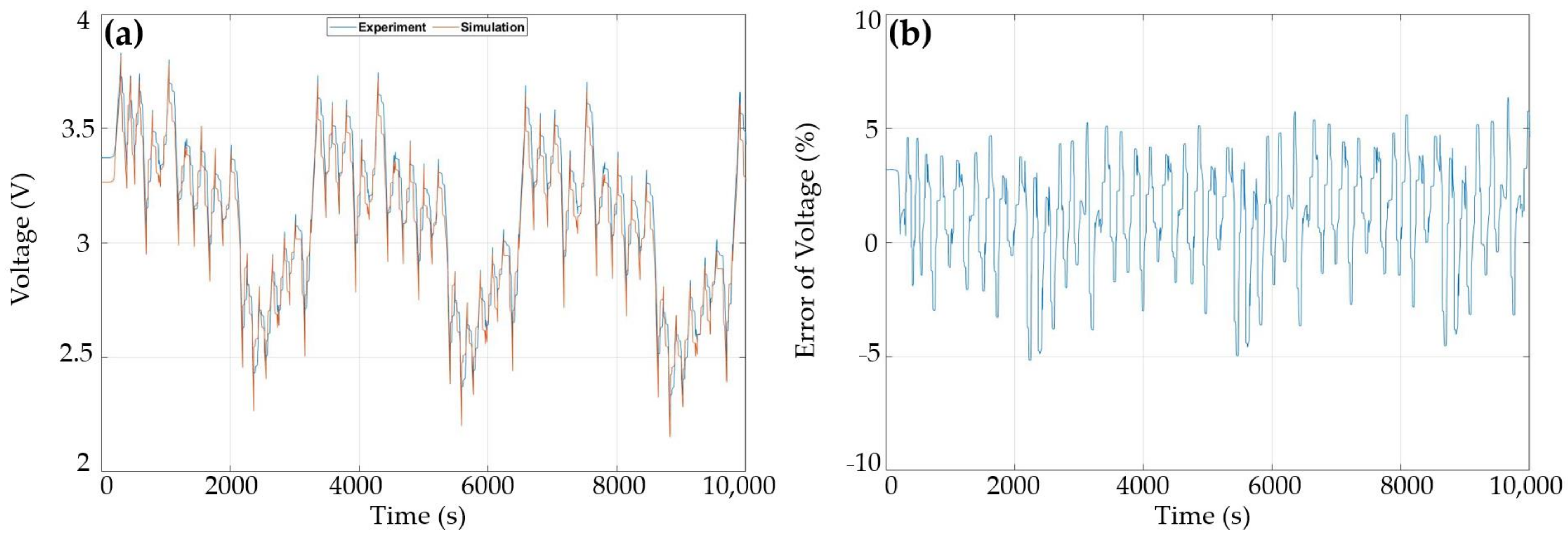
The experimental results have two parts: electrical results and thermal results. The electrical part explains the results of the extracted parameters for the electrical model. Figure 9 shows the open circuit voltage of the LiC versus SoC for the discharging of the cell at a 10 A current rate. Figure 10 demonstrates the validation of the electrical model regarding the extracted parameters within a heavy-duty driving profile with high current rates. The voltage simulation results are compared with the experiments in Figure 10a, which shows ±5% and ±3% for current rates higher than 100 A and lower than 100 A, respectively, as is seen in Figure 10b.
The experiments for thermal studies were conducted under the 150 A current profile for the LiC module when using LCTMS as the proposed cooling system. Before using the LCTMS, the thermal performance of the module without any cooling system under natural convection (NC) was evaluated. In this case, the maximum temperature of the module under NC is around 70 °C, which is much higher than the safe operating temperature of 40 °C announced by the manufacturer (JSR company). Therefore, an adequate cooling regime should be applied to the system to control its temperature. The temperature evolution of the module for all the thermocouples is depicted in Figure 11, in which the expected explained temperature rise for the cells within the module is proven. As is observed, the T1, T2, and T3 thermocouples are mounted on the top surface of the cell at the beginning of the module, where the coolant air is still cold. Therefore, their temperature rise is lower than that of the other cells. The T4 thermocouple relates to cell number 12, which is the last cell, and there are no cells after this cell. Therefore, T4 is exposed to the environment from one side, causing this cell to be colder than the other cells in the middle of the module. The T5, T6, T7, and T8 thermocouples relate to the cells in the middle, so from one side, their heat sources are generating heat, and from another side, the conduction effect is the dominant phenomenon between two adjacent cells. Thus, the middle cells to the last cell are much higher than the rest of the module (the first five cells).

4. Numerical Investigation and Optimization

The experimental analysis is validated with numerical simulations in this section to prove the accuracy of the 1D/3D models. Later, the developed 3D model is optimized to obtain the best design for the proposed solution.

4.1. Forced Liquid-Cooled Simulation Results

The results of the 3D thermal model are presented in this section, thanks to the COMSOL Multiphysics software package. In the software, the heat transfer in solids module is employed to model the heat source and the general physics of the system, while the fluid flow module (k-ε turbulent flow) is used to model the cooling system and the coolant. The initial conditions, boundary conditions, materials, parameters, and geometry of the system are set in the software, and the mesh is generated in the last step. The simulation results are shown in Figure 12 for the main case study regarding Table 4. Comparing the simulation and experimental results exhibits less than 3% error, which shows the precision of the developed 1D electro-thermal model’s extracted parameters and the accuracy of the designed 3D thermal model. The graphical thermal results of the LCTMS for the LiC module are depicted in Figure 13. This provides a better insight into the temperature distribution over each module cell, resulting in better optimization of the system. As can be seen, the coldest cell is the first cell, and the hottest one is cell number 8 in the middle-end of the module.
Two performance indicators are evaluated in the numerical simulations:
  • Tmax: the maximum temperature on the LiC module’s surface that is monitored by eight thermocouples.
  • ΔTmax: the temperature difference between the maximum and minimum temperatures that are sensed by the thermocouples.

4.2. Impact of the Inlet Flow Rate

The inlet flow rate of the coolant medium is a critical controlling factor for the LCTMS that directly affects the thermal performance and power consumption of the system. In order to study the impact of the inlet flow rate on the thermal performance of the LiC module, under the initial conditions and boundaries in Table 4, the inlet flow rate was set as 200 mL/min, 300 mL/min, 400 mL/min, 500 mL/min, and 1000 mL/min, where the inlet and outlet positions and the tube diameter were kept constant. The thermal performance of the LiC module is depicted in Figure 14 for all six case studies, where the inlet flow rate of the main case study is 100 mL/min. The main reason for ΔTmax along the module is the inconsistency of the heat transfer rate of each LiC cell in the module, which is due to the tube structure, cell location, and other factors. Therefore, when the liquid enters the copper tube, the cells’ temperature changes rapidly, widening the temperature gap between the coldest and hottest points monitored by the thermocouples.
Table 5 shows Tmax and ΔTmax for the proposed inlet flow rates. Based on the table, increasing the coolant’s inlet flow rate reduces the maximum module’s temperature and ΔTmax along with the cells. This reduction trend diminishes more when the inlet flow rate exceeds 500 mL/min. Nevertheless, increasing the inlet flow rate would increase the parasitic power consumption exponentially, which will lead to gradually weakening the advantages of increasing the inlet flow rate and increasing the corresponding costs [48].

4.3. Impact of the Inlet Temperature

The inlet temperature of the coolant is one of the crucial structural parameters to uniformize the temperature alongside the cells in the module, which is evaluated in this section, as shown in Figure 15. The coolant inlet temperature affects the cooling performance parameters such as ΔTmax between the coldest and hottest points of the module monitored by the thermocouples. As can be seen, when increasing the inlet temperature of the coolant, the heat transfer of the cells is faster and closer to the coolant’s temperature, leading to gradually decreasing ΔTmax. However, Tmax remains almost constant—both inlet temperatures of 30 °C and 40 °C exhibit good thermal performance under high current rates.
Tmax and ΔTmax are evaluated in detail in Table 6. According to the data in Table 6, Tmax and ΔTmax with an inlet temperature of 30 °C are 40.4 °C and 3.9 °C, respectively, in which ΔTmax is reduced by 57% compared with the main case study, where the inlet temperature of the coolant is 23 °C. In addition, for the inlet temperature of 40 °C, ΔTmax is diminished by 84% compared to the main case study, showing the importance of this factor in the design of the LCTMS.

4.4. Optimization of the Inlet and Outlet Positions

In the LiC module with the LCTMS as a cooling solution, the heat from the LiCs is transferred to the liquid medium through the copper pipes to the aluminum cold plates. The inlet and outlet positions have a significant impact on the performance of the proposed TMS. Therefore, the thermal performance of the LiC module with LCTMS is evaluated in detail at different inlet and outlet positions when the inlet flow rate, inlet temperature, and the other initial and boundary conditions are kept constant. In this regard, four different topologies are proposed based on Figure 16. P1 has two inlets in the first and the last cold plates, where its two outlets are placed in the middle of the module. P2 has two inlets in the first cold plate, and the middle of the module, where one of the outlets is in the middle and the other one is placed in the last cold plate. P3 has three inlets and three outlets, and P4 has four inlets and four outlets.
As the temperature distribution of the module for four various inlet and outlet positions is exhibited in Figure 17 and is listed in Table 7, P1 does not show good performance regarding Tmax and ΔTmax. Compared to the main case study, the P2 case study shows better performance than P1 while decreasing Tmax by 1.7% and ΔTmax by 25.2%. The P3 and P4 case studies behave almost the same, showing that increasing the number of inlets and outlets may result in a better outcome, but a greater increase will not guarantee a greater reduction in terms of ΔTmax or Tmax. P3 can be the best choice in this section due to better results and optimum inlet and outlet points. This case study decreases Tmax by 3.5% and ΔTmax by 63.7%, respectively.

4.5. The Impact of the Number of Arcs in the Coolant Path

The number of arcs in the tube is of high importance for thermal performance analysis. In this context, the number of arcs is increased from two arcs (the main case study) to three arcs in the LCTMS (Figure 18). As is shown in Figure 19 and Table 8, by increasing the number of arcs in the coolant path design, Tmax is decreased by 7.5%. In comparison, ΔTmax is decreased by 63.7%, compared to the main case study.

4.6. The Selected Optimal Solutions

In this section, two optimal solutions are proposed to evaluate the performance of the developed 1D/3D thermal model with the optimized boundaries. The best scenarios of the numerical simulations have been selected to set in the LCTMS cooling system to conclude with the most optimal solution regarding the proposed geometry and structure. In this context, the inlet flow rate of 500 mL/min, with an inlet temperature of 30 °C, was set in the model. In addition, the P3 inlet and outlet position where three inlets and three outlets have been designed in the system was selected as the inlet and outlet topology. With the defined conditions mentioned above, two arcs per tube were selected for the first optimized solution, while the second optimized solution uses three arcs per tube.
By mixing such optimal cases for two arcs in the first optimized solution, Tmax and ΔTmax are 37.1 °C and 1.4 °C, respectively. This trend shows 8% and 85% improvement compared with the main case study in Tmax and ΔTmax, respectively. The temperature distribution of this optimal solution is depicted in Figure 20.
The second optimized case using three arcs per channel in the cooling path can control Tmax at 35.7 °C, showing an 11.5% improvement compared to the main case study. In addition, this case study reduced the temperature uniformity by 79.1%. Overall, the optimal solution #2 would be better due to the lower Tmax and temperature uniformity below 2 °C. The comparative study based on the explained results is shown in Table 9.

5. Conclusions

In the present article, a module of 12 LiCs was used to evaluate a liquid-cooled thermal management system (LCTMS). Prior to testing the module, predicting the electrical parameters is of high importance since the extracted electrical and thermal parameters can lead to predicting the heat loss with high precision. Therefore, a 1D electro-thermal model was developed from −30 °C to +60 °C. Moreover, high current rates were applied, including 0.1 A to 500 A as a loading profile. The open-circuit voltage, the resistances and capacitance of the cell, and thermal parameters were extracted in this regard. The voltage error was ±5% and ±3% for current rates higher than 100 A and lower than 100 A, respectively. Then, the 3D thermal model evaluation was performed experimentally and optimized numerically, thanks to the extracted parameters from the electro-thermal model. The effects of the inlet coolant flow rate, inlet coolant temperature, inlet and outlet positions, and the number of arcs were examined. The cycling profile consisted of a 1400 s continuous 150 A current rate without a rest period. The conclusions can be drawn as follows:
  • In the case of cycling the module under the 150 A current profile, the maximum temperature (Tmax) of the module exceeds 70 °C, which may lead to thermal runaway.
  • The LCTMS with a 100 mL/min inlet flow rate, 23 °C inlet temperature, and two arcs in the coolant channel (main case study) can control Tmax at 40.3 °C, which shows 42.4% improvement compared to the natural convection. ΔTmax was 9.1 °C, which can be improved.
  • The 1D electro-thermal model extracted the electrical and thermal parameters with high precision, used in the 3D thermal model. The 3D thermal model was validated against the experiments with an error lower than 2%, employed for optimization purposes. The optimization parameters were the inlet coolant flow rate, inlet coolant temperature, inlet and outlet positions, and the number of arcs per coolant channel.
  • Increasing the inlet flow rate of the coolant from 100 mL/min to 500 mL/min decreased Tmax and ΔTmax by 9.7% and 25.2%, respectively. By increasing the inlet flow rate to 1000 mL/min, these values were 17.6% and 43.9%, showing the importance of the inlet flow rate to minimize Tmax and ΔTmax.
  • Increasing the inlet temperature did not significantly impact Tmax but was enhanced ΔTmax. By increasing the inlet temperature from 23 °C to 30 °C and 40 °C, ΔTmax was reduced by 57% and 84%, respectively.
  • Inlet and outlet configuration had a significant effect on Tmax and ΔTmax. The best scenario for the LCTMS would be three inlets and three outlets, where Tmax and ΔTmax were decreased by 3.5% and 63.7%, respectively.
  • Compared to the main case study, increasing the number of arcs in the coolant path design reduced Tmax by 7.5% and ΔTmax by 63.7%.
  • The most optimal scenario for the LCTMS would be the inlet coolant flow rate of 500 mL/min, the inlet temperature of 30 °C, three inlets and three outlets, and three arcs in the coolant path. This scenario decreased Tmax and ΔTmax by 11.5% and 79.1%, respectively.

Author Contributions

Conceptualization, methodology, software, validation, formal analysis, investigation, writing—original journal draft by D.K.; writing—review and editing by H.B., M.A. and S.K.; supervision, writing—review and editing by J.V.M. and M.B. All authors have read and agreed to the published version of the manuscript.

Funding

This research received no external funding.

Institutional Review Board Statement

Not applicable.

Informed Consent Statement

Not applicable.

Data Availability Statement

Not applicable.

Acknowledgments

This research is based on work supported by JSR Micro NV and Flanders Make.

Conflicts of Interest

The authors declare no conflict of interest.

References

  1. Gandoman, F.H.; Jaguemont, J.; Goutam, S.; Gopalakrishnan, R.; Firouz, Y.; Kalogiannis, T.; Omar, N.; van Mierlo, J. Concept of reliability and safety assessment of lithium-ion batteries in electric vehicles: Basics, progress, and challenges. Appl. Energy 2019, 251, 113343. [Google Scholar] [CrossRef]
  2. Soltani, M.; Jaguemont, J.; Boninsegna, M.; Berckmans, G.; Abdel-monem, M. Thermal management system for a Lithium-ion Capacitor Module with air cooling strategy. In Proceedings of the International Electric Vehicle Symposium and Exhibition (EVS), Stuttgart, Germany, 9–11 October 2017; pp. 1–10. [Google Scholar]
  3. Soltani, M.; Ronsmans, J.; Jaguemont, J.; van Mierlo, J.; van den Bossche, P.; Omar, N. A Three-dimensional thermal model for a commercial lithium-ion capacitor battery pack with non-uniform temperature distribution. In Proceedings of the 2019 IEEE International Conference on Industrial Technology (ICIT), Melbourne, Australia, 13–15 February 2019; pp. 1126–1131. [Google Scholar] [CrossRef]
  4. Khaleghi, S.; Karimi, D.; Beheshti, S.H.; Hosen, S.; Behi, H.; Berecibar, M.; van Mierlo, J. Online health diagnosis of lithium-ion batteries based on nonlinear autoregressive neural network. Appl. Energy 2021, 282, 116159. [Google Scholar] [CrossRef]
  5. Soltani, M.; de Sutter, L.; Ronsmans, J.; van Mierlo, J. A high current electro-thermal model for lithium-ion capacitor technology in a wide temperature range. J. Energy Storage 2020, 31, 101624. [Google Scholar] [CrossRef]
  6. Soltani, M.; Ronsmans, J.; Kakihara, S.; Jaguemont, J.; van den Bossche, P.; van Mierlo, J.; Omar, N. Hybrid battery/lithium-ion capacitor energy storage system for a pure electric bus for an urban transportation application. Appl. Sci. 2018, 8, 1176. [Google Scholar] [CrossRef] [Green Version]
  7. Karimi, D.; Khaleghi, S.; Behi, H.; Beheshti, H.; Hosen, M.S.; Akbarzadeh, M.; van Mierlo, J.; Berecibar, M. Lithium-ion capacitor lifetime extension through an optimal thermal management system for smart grid applications. Energies 2021, 14, 2907. [Google Scholar] [CrossRef]
  8. Behi, H.; Karimi, D.; Jaguemont, J.; Gandoman, F.H.; Kalogiannis, T.; Berecibar, M.; van Mierlo, J. Novel thermal management methods to improve the performance of the Li-ion batteries in high discharge current applications. Energy 2021, 224, 120165. [Google Scholar] [CrossRef]
  9. Hosen, M.S.; Karimi, D.; Kalogiannis, T.; Pirooz, A.; Jaguemont, J.; Berecibar, M.; van Mierlo, J. Electro-aging model development of nickel-manganese-cobalt lithium-ion technology validated with light and heavy-duty real-life profiles. J. Energy Storage 2020, 28, 101265. [Google Scholar] [CrossRef]
  10. Karimi, D.; Behi, H.; Akbarzadeh, M.; van Mierlo, J.; Berecibar, M. Holistic 1D Electro-Thermal Model Coupled to 3D Thermal Model for Hybrid Passive Cooling System Analysis in Electric Vehicles. Energies 2021, 14, 5924. [Google Scholar] [CrossRef]
  11. Karimi, D.; Behi, H.; Jaguemont, J.; el Baghdadi, M.; van Mierlo, J.; Hegazy, O. Thermal Concept Design of MOSFET Power Modules in Inverter Subsystems for Electric Vehicles. In Proceedings of the 2019 9th International Conference on Power and Energy Systems (ICPES), Perth, Australia, 10–12 December 2019; pp. 1–6. [Google Scholar] [CrossRef]
  12. Zhang, C.; Allafi, W.; Dinh, Q.; Ascencio, P.; Marco, J. Online estimation of battery equivalent circuit model parameters and state of charge using decoupled least squares technique. Energy 2018, 142, 678–688. [Google Scholar] [CrossRef]
  13. Samba, A.; Omar, N.; Gualous, H.; Firouz, Y.; van den Bossche, P.; van Mierlo, J.; Boubekeur, T.I. Development of an Advanced Two-Dimensional Thermal Model for Large size Lithium-ion Pouch Cells. Electrochim. Acta 2014, 117, 246–254. [Google Scholar] [CrossRef]
  14. Firouz, Y.; Omar, N.; van den Bossche, P.; van Mierlo, J. Electro-thermal modeling of new prismatic lithium-ion capacitors. IEEE Veh. Power Propuls. Conf. 2014, 2, 1–6. [Google Scholar] [CrossRef]
  15. Behi, H.; Karimi, D.; Youssef, R.; Patil, M.S.; van Mierlo, J.; Berecibar, M. Comprehensive Passive Thermal Management Systems for Electric Vehicles. Energies 2021, 14, 3881. [Google Scholar] [CrossRef]
  16. Karimi, D.; Behi, H.; Jaguemont, J.; Berecibar, M.; van Mierlo, J. A refrigerant-based thermal management system for a fast charging process for lithium-ion batteries. In Proceedings of the International Conference on Renewable Energy Systems and Environmental Engineering (IRESE), Brussels, Belgium, 18 December 2020; pp. 1–6. [Google Scholar]
  17. Behi, H.; Karimi, D.; Jaguemont, J.; Gandoman, F.H.; Khaleghi, S.; van Mierlo, J.; Berecibar, M. Aluminum heat sink assisted air-cooling thermal management system for high current applications in electric vehicles. In Proceedings of the 2020 AEIT International Conference of Electrical and Electronic Technologies for Automotive (AEIT AUTOMOTIVE), Turin, Italy, 18–20 November 2020; pp. 1–6. [Google Scholar]
  18. Behi, H.; Behi, M.; Karimi, D.; Jaguemont, J.; Ghanbarpour, M.; Behnia, M.; Berecibar, M.; van Mierlo, J. Heat pipe air-cooled thermal management system for lithium-ion batteries: High power applications. Appl. Therm. Eng. 2020, 183, 116240. [Google Scholar] [CrossRef]
  19. Behi, H.; Karimi, D.; Gandoman, F.H.; Akbarzadeh, M.; Khaleghi, S.; Kalogiannis, T.; Hosen, M.S.; Jaguemont, J.; van Mierlo, J.; Berecibar, M. PCM assisted heat pipe cooling system for the thermal management of an LTO cell for high-current profiles. Case Stud. Therm. Eng. 2021, 25, 100920. [Google Scholar] [CrossRef]
  20. Karimi, D.; Behi, H.; Jaguemont, J.; Berecibar, M.; van Mierlo, J. Investigation of extruded heat sink assisted air cooling system for lithium-ion capacitor batteries. In Proceedings of the International Conference on Renewable Energy Systems and Environmental Engineering (IRESE), Brussels, Belgium, 18 December 2020; pp. 1–6. [Google Scholar]
  21. Behi, H.; Behi, M.; Ghanbarpour, A.; Karimi, D.; Azad, A.; Ghanbarpour, M.; Behnia, M. Enhancement of the Thermal Energy Storage Using Heat-Pipe-Assisted Phase Change Material. Energies 2021, 14, 6176. [Google Scholar] [CrossRef]
  22. Behi, H.; Karimi, D.; Behi, M.; Jaguemont, J.; Ghanbarpour, M.; Behnia, M.; Berecibar, M.; van Mierlo, J. Thermal management analysis using heat pipe in the high current discharging of lithium-ion battery in electric vehicles. J. Energy Storage 2020, 32, 101893. [Google Scholar] [CrossRef]
  23. Behi, H.; Karimi, D.; Jaguemont, J.; Berecibar, M.; van Mierlo, J. Experimental study on cooling performance of flat heat pipe for lithium-ion battery at various inclination angels. Energy Perspect. 2020, 1, 77–92. [Google Scholar]
  24. Karimi, D.; Jaguemont, J.; Behi, H.; Berecibar, M.; van den Bossche, P.; van Mierlo, J. Passive cooling based battery thermal management using phase change materials for electric vehicles. In EVS33 International Electric Vehicle Symposium; The Electric Drive Transportation Association (EDTA): Washington, DC, USA, 2020; pp. 1–12. [Google Scholar]
  25. Jaguemont, J.; Karimi, D.; van Mierlo, J. Investigation of a Passive Thermal Management System for Lithium-Ion Capacitors. IEEE Trans. Veh. Technol. 2019, 68, 10518–10524. [Google Scholar] [CrossRef]
  26. Karimi, D.; Hosen, M.S.; Behi, H.; Khaleghi, S.; Akbarzadeh, M.; van Mierlo, J.; Berecibar, M. A hybrid thermal management system for high power lithium-ion capacitors combining heat pipe with phase change materials. Heliyon 2021, 7, e07773. [Google Scholar] [CrossRef]
  27. Murali, G.; Sravya, G.S.N.; Jaya, J.; Vamsi, V.N. A review on hybrid thermal management of battery packs and it’s cooling performance by enhanced PCM. Renew. Sustain. Energy Rev. 2021, 150, 111513. [Google Scholar] [CrossRef]
  28. Kumar, P.; Chaudhary, D.; Varshney, P.; Varshney, U.; Yahya, S.M.; Rafat, Y. Critical review on battery thermal management and role of nanomaterial in heat transfer enhancement for electrical vehicle application. J. Energy Storage 2020, 32, 102003. [Google Scholar] [CrossRef]
  29. Behi, M.; Shakorian-poor, M.; Mirmohammadi, S.A.; Behi, H.; Rubio, J.I.; Nikkam, N.; Farzaneh-Gord, M.; Gan, Y.; Behnia, M. Experimental and numerical investigation on hydrothermal performance of nanofluids in micro-tubes. Energy 2020, 193, 116658. [Google Scholar] [CrossRef]
  30. Pu, L.; Zhang, S.; Xu, L.; Ma, Z.; Wang, X. Numerical study on the performance of shell-and-tube thermal energy storage using multiple PCMs and gradient copper foam, Renew. Energy 2021, 174, 573–589. [Google Scholar] [CrossRef]
  31. Karimi, D.; Behi, H.; Jaguemont, J.; Sokkeh, M.A.; Kalogiannis, T.; Hosen, M.S.; Berecibar, M.; van Mierlo, J. Thermal performance enhancement of phase change material using aluminum-mesh grid foil for lithium-capacitor modules. J. Energy Storage 2020, 30, 101508. [Google Scholar] [CrossRef]
  32. Möller, S.; Karimi, D.; Vanegas, O.; el Baghdadi, M.; Kospach, A.; Lis, A.; Hegazy, O.; Abart, C.; Offenbach, Â.B.Â. Application considerations for Double Sided Cooled Modules in Automotive Environment. 2020. Available online: https://ieeexplore.ieee.org/document/9097721 (accessed on 16 November 2020).
  33. Behi, H.; Karimi, D.; Behi, M.; Ghanbarpour, M.; Jaguemont, J.; Sokkeh, M.A.; Gandoman, F.H.; Berecibar, M.; van Mierlo, J. A new concept of thermal management system in Li-ion battery using air cooling and heat pipe for electric vehicles. Appl. Therm. Eng. 2020, 174, 115280. [Google Scholar] [CrossRef]
  34. Karimi, D.; Behi, H.; Jaguemont, J.; Berecibar, M.; van Mierlo, J. Optimized air-cooling thermal management system for high power lithium-ion capacitors. Energy Perspect. 2020, 1, 93–105. [Google Scholar]
  35. Akbarzadeh, M.; Kalogiannis, T.; Jaguemont, J.; Jin, L.; Behi, H.; Karimi, D.; Beheshti, H.; van Mierlo, J.; Berecibar, M. A comparative study between air cooling and liquid cooling thermal management systems for a high-energy lithium-ion battery module. Appl. Therm. Eng. 2021, 198, 117503. [Google Scholar] [CrossRef]
  36. Gungor, S.; Cetkin, E.; Lorente, S. Canopy-to-canopy liquid cooling for the thermal management of lithium-ion batteries, a constructal approach. Int. J. Heat Mass Transf. 2022, 182, 121918. [Google Scholar] [CrossRef]
  37. Tang, Z.; Liu, Z.; Li, J.; Cheng, J. A lightweight liquid cooling thermal management structure for prismatic batteries. J. Energy Storage 2021, 42, 103078. [Google Scholar] [CrossRef]
  38. Tang, X.; Guo, Q.; Li, M.; Wei, C.; Pan, Z.; Wang, Y. Performance analysis on liquid-cooled battery thermal management for electric vehicles based on machine learning. J. Power Sources 2021, 494, 229727. [Google Scholar] [CrossRef]
  39. Cao, J.; Wu, Y.; Ling, Z.; Fang, X.; Zhang, Z. Upgrade strategy of commercial liquid-cooled battery thermal management system using electric insulating flexible composite phase change materials. Appl. Therm. Eng. 2021, 199, 117562. [Google Scholar] [CrossRef]
  40. Rui, X.; Feng, X.; Wang, H.; Yang, H.; Zhang, Y.; Wan, M.; Wei, Y.; Ouyang, M. Synergistic effect of insulation and liquid cooling on mitigating the thermal runaway propagation in lithium-ion battery module. Appl. Therm. Eng. 2021, 199, 117521. [Google Scholar] [CrossRef]
  41. Karimi, D.; Behi, H.; Hosen, M.S.; Jaguemont, J.; Berecibar, M.; van Mierlo, J. A compact and optimized liquid-cooled thermal management system for high power lithium-ion capacitors. Appl. Therm. Eng. 2021, 185, 116449. [Google Scholar] [CrossRef]
  42. Fan, L.; Khodadadi, J.M.; Pesaran, A.A. A parametric study on thermal management of an air-cooled lithium-ion battery module for plug-in hybrid electric vehicles. J. Power Sources 2013, 238, 301–312. [Google Scholar] [CrossRef]
  43. Bernardi, D. A General Energy Balance for Battery Systems. J. Electrochem. Soc. 1985, 132, 5. [Google Scholar] [CrossRef] [Green Version]
  44. Zhang, J.; Huang, J.; Li, Z.; Wu, B.; Nie, Z.; Sun, Y.; An, F.; Wu, N. Comparison and validation of methods for estimating heat generation rate of large-format lithium-ion batteries. J. Therm. Anal. Calorim. 2014, 117, 447–461. [Google Scholar] [CrossRef]
  45. Panchal, S.; Dincer, I.; Agelin-Chaab, M.; Fraser, R.; Fowler, M. Experimental and theoretical investigations of heat generation rates for a water cooled LiFePO4 battery. Int. J. Heat Mass Transf. 2016, 101, 1093–1102. [Google Scholar] [CrossRef]
  46. Gnielinski, V. New equations for heat and mass transfer in turbulent pipe and channel flow. Int. Chem. Eng. 1976, 16, 359–368. [Google Scholar]
  47. Karwa, R.; Solanki, S.C.; Saini, J.S. Heat transfer coefficient and friction factor correlations for the transitional flow regime in rib-roughened rectangular ducts. Int. J. Heat Mass Transf. 1999, 42, 1597–1615. [Google Scholar] [CrossRef]
  48. Tan, X.; Lyu, P.; Fan, Y.; Rao, J.; Ouyang, K. Numerical investigation of the direct liquid cooling of a fast-charging lithium-ion battery pack in hydrofluoroether. Appl. Therm. Eng. 2021, 196, 117279. [Google Scholar] [CrossRef]
Figure 1. The 1D electro-thermal model coupled to the 3D CFD model.
Figure 1. The 1D electro-thermal model coupled to the 3D CFD model.
Electricity 02 00030 g001
Figure 2. A segment of the applied current and voltage (up), and power loss of the LiC under fast charge/discharge with continuous 150 A current rate during 1400 s experimental test (down).
Figure 2. A segment of the applied current and voltage (up), and power loss of the LiC under fast charge/discharge with continuous 150 A current rate during 1400 s experimental test (down).
Electricity 02 00030 g002
Figure 3. The power loss of the LiC single cell under fast charge/discharge with continuous 150 A current rate during 1400 s experimental test.
Figure 3. The power loss of the LiC single cell under fast charge/discharge with continuous 150 A current rate during 1400 s experimental test.
Electricity 02 00030 g003
Figure 4. The block diagram of the experimental test bench for the LiC module.
Figure 4. The block diagram of the experimental test bench for the LiC module.
Electricity 02 00030 g004
Figure 5. The prototype of the used BMS and the wiring/connections.
Figure 5. The prototype of the used BMS and the wiring/connections.
Electricity 02 00030 g005
Figure 6. The forced LCTMS experimental test bench for the LiC module.
Figure 6. The forced LCTMS experimental test bench for the LiC module.
Electricity 02 00030 g006
Figure 7. The schematic of the test bench for the proposed LCTMS.
Figure 7. The schematic of the test bench for the proposed LCTMS.
Electricity 02 00030 g007
Figure 8. The position of 8 K-type thermocouples regarding their temperature values; T1 is the lowest and T8 is the hottest (top view).
Figure 8. The position of 8 K-type thermocouples regarding their temperature values; T1 is the lowest and T8 is the hottest (top view).
Electricity 02 00030 g008
Figure 9. The OCV–SoC curve for discharging of the LiC cell at 10 A current.
Figure 9. The OCV–SoC curve for discharging of the LiC cell at 10 A current.
Electricity 02 00030 g009
Figure 10. Verification of the electrical model: (a) the voltage simulation results against experiments, and (b) the voltage error percentage.
Figure 10. Verification of the electrical model: (a) the voltage simulation results against experiments, and (b) the voltage error percentage.
Electricity 02 00030 g010
Figure 11. The experimental results: the temperature evolution of the module regarding the eight thermocouples embedded on top surfaces of the cells.
Figure 11. The experimental results: the temperature evolution of the module regarding the eight thermocouples embedded on top surfaces of the cells.
Electricity 02 00030 g011
Figure 12. The simulation results: the temperature evolution of the module regarding the eight thermocouples embedded on top surfaces of the cells.
Figure 12. The simulation results: the temperature evolution of the module regarding the eight thermocouples embedded on top surfaces of the cells.
Electricity 02 00030 g012
Figure 13. The temperature distribution of the module after 1400 s.
Figure 13. The temperature distribution of the module after 1400 s.
Electricity 02 00030 g013
Figure 14. The temperature distribution of the module with different inlet flow rates.
Figure 14. The temperature distribution of the module with different inlet flow rates.
Electricity 02 00030 g014
Figure 15. The temperature distribution of the module with different inlet temperatures.
Figure 15. The temperature distribution of the module with different inlet temperatures.
Electricity 02 00030 g015
Figure 16. The proposed schematic of different inlet and outlet positions.
Figure 16. The proposed schematic of different inlet and outlet positions.
Electricity 02 00030 g016
Figure 17. The temperature distribution of the module with different inlet and outlet positions.
Figure 17. The temperature distribution of the module with different inlet and outlet positions.
Electricity 02 00030 g017
Figure 18. Various arc numbers per tube in the path of the cold plate.
Figure 18. Various arc numbers per tube in the path of the cold plate.
Electricity 02 00030 g018
Figure 19. The temperature distribution of the module when using two different tube structures.
Figure 19. The temperature distribution of the module when using two different tube structures.
Electricity 02 00030 g019
Figure 20. The temperature distribution of the module when using the LCTMS with the optimal solutions as the main parameters.
Figure 20. The temperature distribution of the module when using the LCTMS with the optimal solutions as the main parameters.
Electricity 02 00030 g020
Table 1. LiC 2300 F specifications.
Table 1. LiC 2300 F specifications.
ParametersValueUnit
Nominal capacity1Ah
Voltage2.2–3.8V
DC-IR @25 °C0.7
Energy density14Wh/L
Power density14.7kW/L
Heat generation76,477W/m3
Table 2. Extracted parameters of the electrical model at 25 °C, 150 A current rate, and 100% SoC.
Table 2. Extracted parameters of the electrical model at 25 °C, 150 A current rate, and 100% SoC.
Extracted ParametersValueSymbols
Open-circuit voltage3.8OCV [V]
Ohmic resistance0.0011 R 0 [Ω]
Polarization resistance0.00013 R P [Ω]
Time constant0.1336 τ [s]
Table 3. The generated heat of the LiC regarding its dimensions for a 150 A current profile.
Table 3. The generated heat of the LiC regarding its dimensions for a 150 A current profile.
LiC Dimensions (mm)Heat Generation (W/m3)
150 × 91.5 × 15.576,477
Table 4. Initial conditions and boundaries of the 3D thermal system.
Table 4. Initial conditions and boundaries of the 3D thermal system.
DomainConditionValueUnit
Module domainTinit23°C
Cold platesTinit23°C
Type of coolantwater--
Coolant pressureReference level1atm
Coolant domainTinlet23°C
Coolant flow rateQinlet100mL/min
Coolant flow rateTurbulentIncompressible-
Coolant tubewallNo-slip-
Coolant outletPOutletTo ambient-
Coolant outletQoutletSuppressed outflow-
Table 5. The thermal performance of the system with various inlet flow rates.
Table 5. The thermal performance of the system with various inlet flow rates.
Inlet Flow RateTmax (°C)ΔTmax (°C)
100 mL/min (Main case)40.39.1
200 mL/min39.77.6
300 mL/min38.77.9
400 mL/min37.57.4
500 mL/min36.46.8
1000 mL/min33.25.1
Table 6. The thermal performance of the system with various inlet temperatures.
Table 6. The thermal performance of the system with various inlet temperatures.
Inlet Temperature (°C)Tmax (°C)ΔTmax (°C)
23 (°C) (Main case)40.39.1
30 (°C)40.43.9
40 (°C)40.41.4
Table 7. The thermal performance of the system with different inlet and outlet positions.
Table 7. The thermal performance of the system with different inlet and outlet positions.
Inlet Temperature (°C)Tmax (°C)ΔTmax (°C)
Main case study40.39.1
P140.310.1
P239.66.8
P338.93.3
P438.83.1
Table 8. The thermal performance of the system with different arc numbers.
Table 8. The thermal performance of the system with different arc numbers.
Inlet Temperature (°C)Tmax (°C)ΔTmax (°C)
Two arcs (main case)40.39.1
Three arcs37.32.9
Table 9. The thermal performance of the system for the optimal solutions.
Table 9. The thermal performance of the system for the optimal solutions.
Inlet Temperature (°C)Tmax (°C)ΔTmax (°C)
Two arcs (Main case)40.39.1
Optimal case #137.11.4
Optimal case #235.71.9
Publisher’s Note: MDPI stays neutral with regard to jurisdictional claims in published maps and institutional affiliations.

Share and Cite

MDPI and ACS Style

Karimi, D.; Behi, H.; Akbarzadeh, M.; Khaleghi, S.; Van Mierlo, J.; Berecibar, M. Optimization of 1D/3D Electro-Thermal Model for Liquid-Cooled Lithium-Ion Capacitor Module in High Power Applications. Electricity 2021, 2, 503-523. https://doi.org/10.3390/electricity2040030

AMA Style

Karimi D, Behi H, Akbarzadeh M, Khaleghi S, Van Mierlo J, Berecibar M. Optimization of 1D/3D Electro-Thermal Model for Liquid-Cooled Lithium-Ion Capacitor Module in High Power Applications. Electricity. 2021; 2(4):503-523. https://doi.org/10.3390/electricity2040030

Chicago/Turabian Style

Karimi, Danial, Hamidreza Behi, Mohsen Akbarzadeh, Sahar Khaleghi, Joeri Van Mierlo, and Maitane Berecibar. 2021. "Optimization of 1D/3D Electro-Thermal Model for Liquid-Cooled Lithium-Ion Capacitor Module in High Power Applications" Electricity 2, no. 4: 503-523. https://doi.org/10.3390/electricity2040030

APA Style

Karimi, D., Behi, H., Akbarzadeh, M., Khaleghi, S., Van Mierlo, J., & Berecibar, M. (2021). Optimization of 1D/3D Electro-Thermal Model for Liquid-Cooled Lithium-Ion Capacitor Module in High Power Applications. Electricity, 2(4), 503-523. https://doi.org/10.3390/electricity2040030

Article Metrics

Back to TopTop