Abstract
The impact of climate change has made weather events more extreme, unpredictable and frequent. In the last 4 years, Mozambique has been devastated by 8 major cyclones, resulting in material and human damage and affecting the functioning of basic local services, such as in the water and health sectors. In this study, we explored the environmental components of the climate–water quality–disease relationship that could drive the dynamics of waterborne diseases. Statistical models and geospatial information technologies (GITs) were used to analyse water quality and the relationship with waterborne diseases between 2016 and 2023. Results indicate that water quality is the main element, between precipitation natural disasters and waterborne diseases, on which a relevant public health intervention can act to ameliorate the future negative impacts of climate change and disease incidence. The results of this study also showed that the quality of water affected mainly by heavy rain events varies in different regions and in different seasons.
1. Introduction
Global climate change increases the likelihood and severity of natural disasters, altering exposure patterns and increasing vulnerability to all hazards due to long-term socioeconomic effects, requiring public policies and mitigating measures in various sectors of governance [1,2].
Natural disasters are deadly and devastating extreme events, particularly in developing countries, where economic, social, political and cultural factors increase vulnerability to natural hazards [3].
In Mozambique, natural disasters put the population and livelihoods at risk. Floods, tropical cyclones and prolonged droughts are common events in Mozambique and are exacerbated by climate change. These force the adoption of legal principles and mechanisms to help with efficient and effective management to reduce the negative effects on Mozambican communities [4].
In the last 4 years, there have been around 16 water-related tropical cyclones and storms in Mozambique, representing more than 50% of the most devastating natural disasters, causing more than 900 deaths and destroying more than 922,900 pieces of urban infrastructure (health units, houses and schools, among others) and over 1.6 million hectares of crops [5].
In addition to the high frequency, intensity and devastating repercussions of these cyclones in Mozambique, these events have also had negative impacts on water quality in river basins. Furthermore, there is ample epidemiological evidence on the health impacts of flooding, and several recent studies have shed light on potential links between floods, waterborne diseases and biological vectors such as mosquitoes [6,7]. Furthermore, the natural disasters impacts, such as flooding due to cyclones, on human health include not only direct injuries or deaths, but also indirect impacts on water supply, energy and individual nutrition levels due to losses in food production. Although these issues are highly evident in developing countries, economically developed countries could also face food security problems if climate change persists [8]. Water supply and sanitation infrastructures are vulnerable to climate change, including changes in temperature, precipitation and the frequency and intensity of extreme weather events. Climate change also implies changes in the ecosystem, with a significant impact on habitat. This association between climate change and living organisms can increase health risks, since most infectious diseases, such as those linked to water, are transmitted to humans via pathogens. These pathogens can alter the timing, intensity and distribution of waterborne diseases according to fluctuations in temperature and precipitation [9]. For example, rising temperatures can cause water shortages, which can have a negative impact on people’s health and productivity. Long-term increases in precipitation can cause groundwater levels to rise, which can decrease the efficiency of natural purification processes and increase the risk of waterborne diseases. For instance, regarding the Idai and Keneth cyclones (2019), it was reported that these extreme phenomena contributed directly to the deaths of more than 600 people, around 6768 cholera cases, 219,493 malaria cases and more than 1640 incidences of serious injuries [10,11].
This article aims to improve understanding of the risks posed by natural disasters to water quality and population health. This is performed in order to support decision-making for the formulation of robust, evidence-based strategies and public policies for integrated water resource management and minimization of gaps associated with non-compliance with indicators of the Sustainable Development Goals (SDGs) focused on health and water in Mozambique.
2. Study Area
Located in south-east Africa, Mozambique is bordered by the Indian Ocean to the east, Tanzania to the north, Malawi and Zambia to the north-west, Zimbabwe to the west and Eswatini and South Africa to the south-west. The sovereign state is separated from the Comoros and Madagascar by the Mozambique Channel to the east (Figure 1). Mozambique has an area of 801,590 square kilometres and a population of 32,419,747 inhabitants. The terrain varies from coastal plains to high plateaus in the north-west and mountains in the west, and a subtropical to tropical climate (south to north). Mozambique is situated at a relatively low average altitude of 345 metres, and the city of Beira, which is plagued by IDAI, has an average altitude of 14 metres above sea level [11].
The country is divided into 11 provinces spread over three regions: north (Niassa, Cabo Delgado and Nampula), centre (Zambézia, Sofala, Manica and Tete) and south (Inhambane, Gaza, Maputo and Maputo City). Mozambique is endemic for tropical infectious diseases, including malaria, yellow fever and waterborne diseases such as diarrhoea, by different pathogens such as rotavirus and cholera. As a low-income country, its population faces poverty and food insecurity, and the government faces financial constraints that severely jeopardise integrated water resource management and the national health system [12,13]. In addition, the areas around major cities such as Beira, Quelimane, Nampula and Nacala are densely populated, but the sanitation system is poor, contributing to cases of infectious diseases.
Mozambique has considerable water resources for agricultural development and hydroelectric potential through its river basins, which allow for the development of small, medium and large-scale hydroelectric and agro-industrial projects of all kinds [14,15,16]. In Mozambique, water management in river basins is challenged by climatic, socio-economic and political factors, which can cause divergent water demands and availability, as well as multilateral dynamics, resulting in the evolution of conflicts and trade-offs [17,18].
Surface water resources are the main source of water in the country, with more than 104 rivers that drain into the Indian Ocean. Within this extensive hydrological system, there are 13 main river basins (Figure 1), of which 9 are shared with the riparian countries of the Southern African Development Community—SADC [19]. These transboundary river basins account for the majority of the country’s water resources and more than 50 percent (approximately 116,200 Mm3) of their total annual runoff originates in the upstream countries. Most of the river basin systems have a notable seasonal and torrential flow regime, with high flows during 3–4 months and low flows during the rest of the year [20,21].
In Mozambique, the existing institutional framework for water resource management is deeply rooted in the decentralization of functions and responsibilities from government institutions at the central level to institutions at the basin level. The process of managing water resources at the local level in Mozambique began with the approval of the Water Law (1991), the National Water Policy (1995), the National Water Resources Management Strategy (2007), the revised Water Policy (Resolution no. 46/2007) and the Water Policy in its current wording (Resolution no. 42/2016). These policy documents were based on the Integrated Water Resources Management (IWRM) approach. The decentralization of water resource management at the river basin level included the creation and establishment of Regional Water Administrations (ARAs) for the operational management of river basins at the regional level, designated according to their location: ARA-Sul (southern region of Mozambique), ARA-Centro (central region of Mozambique) and ARA-Norte (northern region of Mozambique).
Figure 1.
Study area map showing sampling locations of river water: (a) Map of Mozambique showing river basin and location of central provinces (Tete, Manica, Sofala and Zambézia), (b) Watersheds with sampling locations, (c) Annual rainfall of the last 10 years (Own elaboration with data from [21,22]).
Figure 1.
Study area map showing sampling locations of river water: (a) Map of Mozambique showing river basin and location of central provinces (Tete, Manica, Sofala and Zambézia), (b) Watersheds with sampling locations, (c) Annual rainfall of the last 10 years (Own elaboration with data from [21,22]).

3. Materials and Methods
In this study, analyses of the relevant literature, data related to national disasters (cyclones), meteorology (temperature and precipitation), water quality parameters and population health (waterborne diseases) were conducted to investigate global trends in floods and their impacts on water quality and human health.
3.1. Systematic Review
In this study, a systematic review of the literature on cyclones that have occurred in the country in the last 4 years was carried out. This review enabled us to investigate trends in these disasters and their impacts on water quality at the basin level and on human health, as well as research gaps.
The literature review was primarily conducted using the Scopus interdisciplinary database, with an additional contribution from the Google Scholar database. The Scopus search used keywords (natural disaster) AND (“Mozambique”); (“Natural Disaster” OR “Cyclones”) AND (“Impacts on Mozambican Rivers”); (natural disaster) AND (“impacts in sub-Saharan Africa”); (“flooding in Mozambique”) AND (“health impact”). The Scopus articles included in the study were peer-reviewed and published in English between 2019 and 2023. The criteria also included human health impacts caused by flooding and social, economic or political factors. Articles on Google Scholar were searched using the keywords “Water pollution”, “flood”, “health” and “socio-economic and political factors”, and we selected articles published in English and also in Portuguese from 2019 to 2023. This resulted in around 1200 articles, reduced to 120 articles by screening titles and, finally, to 50 articles after screening abstracts. In total, 27 articles were reviewed to analyse the main impacts of floods on water quality at the basin level and health at the level of the central region of the country and to determine the regional distribution of these impacts on the water resources sector and health (Figure 2). Nine reports on the websites of the above-mentioned non-governmental organisations were also selected after screening.
Figure 2.
Flowchart of the article and report selection process [23].
Of all the studies analysed, none addressed the combined impact of cyclones on water quality at the basin level and on the population’s health.
3.2. Data Collection
3.2.1. Satellite Data
We used Landsat 7 Enhanced Thematic Mapper Plus (ETM+) and Landsat 8 Operational Land Imager (OLI) images from April of each year, from 2019 to 2023, before and after the disasters (Table 1). The Landsat 7 ETM+ and Landsat 8 OLI data have an acceptable spatial resolution of around 30 m and were downloaded from [24].
Table 1.
Summary of GIS input data.
3.2.2. Water Quality Data
The ARA-Centro provided quarterly data (from 2017 to 2023) on water quality and hydrometry at 38 monitoring stations. Water quality parameters include temperature, electrical conductivity (EC), dissolved oxygen (DO), turbidity, total dissolved solids (TDS) and pH of the river water. The biological parameters, such as total coliforms, were extracted from the database for the Búzi watershed, as these parameters are not monitored in the other two basins [21]. The 38 sampling points described in Figure 1 have been designated by the watershed initials Z1 to Z18 for the Zambezi basin (18), P1 to P12 for Púngue (12) and B1 to B8 for Búzi (8). Samples were taken and physico-chemical parameters were analysed quarterly in the 3 river basins, with 1 sample at each monitoring point, totalling 72 for Zambezi, 48 for Púngue and 32 for Búzi annually. This periodicity was defined according to the ARA-Centro technical and financial capacity.
The samples were characterised and all the analyses were carried out in accordance with the methods established by Standard Methods [25]. The most relevant methods and equipment used are listed below. Dissolved oxide was determined using a NAHITA Model 912/5 Oximeter (Lardero-La Rioja, Spain). A Hach 2100 N turbidimeter (Hach, Loveland, CO, USA) was used to analyse turbidity. The pH determinations and adjustments were carried out using a Hanna 3510 potentiometer (Jenway, Cole-Parmer, UK). Total suspended solids (TSS) were determined by gravimetry. Microbiological analyses (total coliforms) were carried out using the ISO 9308–2:2012 method. The electrical conductivity was measured using a HI2315 conductivity meter from HANNA instruments (V. Nova de Gaia, Portugal).
3.2.3. Population Health Data
A set of data on the number of occurrences, total number of deaths, people affected and damaged area were provided by the Institute for Disaster Risk Management (INGD) [26]. The health data (malaria, cholera and diarrhoea) due to natural disasters were provided by the National Health Institute (INS) [27].
3.3. Methods of Analysis
3.3.1. Analysing Flooded Areas
Given that disasters are spatial phenomena, the application of Geospatial Information Technologies (GIT) is essential to the natural disaster management process. GITs were used to create damage and flood assessment maps based on satellite analysis using pre- and post-disaster image data. Initially, all satellite images were georeferenced using the UTM (Universal Transverse Mercator) coordinate system. The process consisted of four main stages: data collection; pre-processing of satellite data, which included cloud detection, atmospheric correction and geometric correction; modelling and analysis with GIS; and design of cyclone analysis maps.
For flood analysis, ArcGIS 10.8 was used, which made it possible to integrate, analyse and model satellite-derived data and images to create flood and damage analysis charts for the central region of the country. In addition, the distribution of factors related to the incidence of waterborne diseases and other relevant information were analysed using GIT.
3.3.2. Statistical Analysis
The extracted data were analysed and synthesised to provide a comprehensive overview of the state of water quality in the basin and the incidence of post-disaster waterborne diseases in Mozambique. Appropriate statistical methods (Excel 365, 2021) were also applied to summarise the quantitative data. The data on water quality and water-related diseases were analysed using Origin 2022b, OriginLab, 2022, which made it possible to design interactive scientific graphics and statistical data analyses. The water quality parameters’ conformity assessment was carried out under the Ministerial Diploma 180/2004 of the Mozambican Ministry of Health and with the help of the Guidelines for Drinking Water Quality, according to the World Health Organisation, which recommends the maximum admissible limits in water for human consumption [28]. Pearson’s correlation coefficient (PCC) was used to correlate waterborne diseases with climatic variables (precipitation and temperature). The PCC only takes on values between −1 and 1. The Pearson correlation coefficient does not change with the location and scale of the variables. When PCC = −1, the two variables are negatively correlated. When PCC = 1, the two variables are positively correlated. The absolute values of r can be described in intervals: 0.8–1.0 (high linear correlation); 0.6–0.8 (strong linear correlation); 0.4–0.6 (medium linear correlation); 0.2–0.4 (weak linear correlation) and 0.0–0.2 (no correlation) [29,30].
4. Results and Discussion
4.1. Impacts of Natural Disasters (Cyclones)
Mozambique has been hit by numerous natural disasters over the years. Some of these major events include the worst floods on record in 2000, which almost completely submerged the Beira region, killing 800 people and leaving behind at least 100,000 refugees. In addition, natural disasters, such as cyclones that occurred between 2019 and 2023 (Table 2), were the most devastating ever seen in southern Africa, resulting in material and human damage, affecting the functioning of basic local services and interrupting vital infrastructure, such as in the water and health sectors. The effects of the cyclones IDAI, KENETH and FREDDY are still being felt to this day and continue to impact the National Water Resources System, the National Health System, the development of agriculture and the achievement of food security in Mozambique [31,32].
Cyclones occur in Mozambique during the cyclonic rainy season, from October to April, every year, leading to frequent natural disasters. On average, they happen about four times per year. Characteristically, most cyclones not only enter Mozambique’s sphere of influence, but also hit the coast. Only a few storms deviate beforehand. The most affected regions are Nampula, Zambézia and Sofala [11]. The most severe cyclone to make landfall in Mozambique in the last four years was IDAI. It reached speeds of up to 213 km/h near the city of Beira on 14 March 2019 and had a diameter of 185 km at the time. According to the international classification on the Saffir–Simpson scale [33], this corresponds to a Category 4 cyclone. More recently, in 2023, cyclone Freddy recorded speeds of up to 256 km/h (Category 5) in the province of Inhambane [34].
Mozambique’s geographical location and climate change aggravate its vulnerability to cyclones. The widespread risk of natural disasters faced by developing countries emphasizes that conditions of poverty, lack of information about disaster risk, poor telecommunications and inadequate infrastructure often exacerbate the effects of natural disasters [14,35].
Mozambique is the only representative of Africa among the 10 countries with the highest risk values, ranking 7th out of 193 countries in the world, in a list led by the Philippines. The ranking ranges from 0 to 100, and Mozambique scored 34.61, 18.10, 66.17, 65.78, 64.15 and 68.65 in the World Risk Index, Exposure, Vulnerability, Susceptibility, Lack of Coping Capacities and Lack of Adaptive Capacities pillars, respectively [35].
Current studies show that cyclonic activity has a significant impact on water quality and the health of residents. Studies show that cyclones such as Amphan can cause unsafe water sources and open defecation, destroying water, sanitation, hygiene and health facilities [36]. Also, as a result of sediment re-suspension and nutrient run-off, cyclones have the potential to increase chlorophyll concentrations in water, which affects water quality in the catchment [37].
After a cyclone, water quality worsens due to high levels of total coliforms and turbidity jeopardising drinking water supplies and requiring community monitoring to protect public health [38].
In addition, the cyclone season (2019–2023) severely impacted the population of the three river basins (9,263,753 inhabitants, about 77.1% of the population of central Mozambique) [11,27]. For example, cyclone Idai in 2019 (Table 3) resulted in more than 500 direct deaths from injuries in the main localities of the 3 river basins, with 17,253 cases of diarrhoea recorded in the Búzi basin (attack rate: 1185.1 cases per 100,000 inhabitants) with 27 deaths (fatality rate: 0.16%); 21,500 in the Zambezi basin (attack rate: 372.9 cases per 100,000 inhabitants) with 22 deaths (fatality rate: 0.10%) and 14,856 in the Púngue basin (attack rate: 727.3 cases per 100,000 inhabitants) with 15 deaths (fatality rate: 0.10%).
Table 3.
Number of injuries, waterborne disease suspected cases, deaths, attack rate and fatality rate by watershed (March–June 2019), Mozambique. Adapted from [18,21,27].
Table 2.
Cyclone occurrence history in Mozambique from 2019 to 2023. Adapted from [5,11,21,35].
Table 2.
Cyclone occurrence history in Mozambique from 2019 to 2023. Adapted from [5,11,21,35].
| Cyclone | Saffir-Simpson Scale (Category) | Wind Speed (Km/h) | Diameter (Km) | Air Pressure (mbar) | Affected Population (hab) | Killed People | Destroyed Infrastructures | Affected River Basins | Occurrence Date | Affected Provinces |
|---|---|---|---|---|---|---|---|---|---|---|
| Freddy | 3–5 | 183–256 | 556 | 957 | 1,300,000 | 165 | 236,000 | Licungo and Zambeze | 2 March 2023 | Zambézia, Tete and Inhambane |
| Gombe | 3 | 183 | 630 | 954 | 736,015 | 63 | 78,635 | Monapo, Ligonha, Zambeze and Rovuma | 8 March 2023 | Nampula, Niassa and Tete |
| Ana | tempestade tropical | 93 | 148 | 993 | 120,000 | 18 | 23,400 | Monapo, Ligonha and Zambeze | 23 January 2022 | Nampula and Tete |
| Guambe | 2 | 161 | 1185 | 957 | 36,135 | 2 | 78,635 | Licungo, Púngoé and Lipompo | 11 February 2021 | Gaza, Inhambane and Sofala |
| Eloise | tempestade tropical | 157 | 1259 | 965 | 469,831 | 11 | 17,000 | Púngoé, Zambeze and Lipompo | 11 January 2021 | Zambézia, Sofala and Gaza |
| Chalane | 1 | 124 | 982 | 975 | 73,254 | 11 | 25,365 | Licungo, Púngoé; Zambeze and Búzi | 4 January 2021 | Zambézia, Sofala and Manica |
| Kenneth | 4 | 226 | 148 | 934 | 289,987 | 45 | 240,000 | Rovuma and Messalo | 21 April 2021 | Cabo Delgado |
| Idai | 4 | 213 | 185 | 940 | 1,514,662 | 603 | 223,947 | Licungo, Púngoé, Zambeze, Búzi, Ligonha, Melúli and Monapo | 4 March 2019 | Zambézia, Nampula, Niassa, Sofala and Manica |
4.2. Flooded Areas Analysis
The flood assessment maps (Figure 3) are based on satellite analysis using pre- and post-disaster image data—in this case, images from before 15 March and from April 2019. The analysed area (76,907 km2) of the central zone—which includes parts of the Búzi, Púngue and Zambezi basins on a small scale, about 731,020 km2 (44.95%), 1,328,480 km2 (82.42%) and 1,198,658 (23.09%), respectively—was flooded, mainly for areas in the Búzi watershed. According to the population data for the localities in the Búzi watershed, around 91.26% of the people were potentially exposed to or lived in the flooded area. Furthermore, these people were dependent on the basin’s resources [21,39].
Figure 3.
Flooded areas and affected population during the IDAI cyclone.
4.3. Water Quality Analysis
The results of the analysis of water quality parameters in the three watersheds are shown in Table 4 for the 38 river water sampling points; the average values of the water quality parameters are as follows: temperature—21.6, 27.4, 28.5 °C; turbidity—215.4, 107, 393; pH—7.6, 8.1, 6.7; DO—0.5, 10.2, 7.5 mg/L; EC—77, 279.4, 180.7 μS/cm and TDS—39, 93, 110 mg/L, for Búzi, Púngue and Zambezi, respectively.
Table 4.
Standard water quality parameters for 38 sampling points in the Búzi (8), Púngue (12) and Zambezi (18) watersheds (quarterly averages).
Of this set of water quality parameters, high values were recorded at almost all the sampling points in the three basins for turbidity (Figure 3). The DO exceeded the limits at points P2 to P3 and Z15. The pH observed at the sampling points in the Búzi and Zambezi basins did not comply with the maximum (B1 and B3) and minimum admissible values (B2, B4, Z12 and Z16). The quality standards and their admissible limits are defined by Ministerial Diploma 180/2004 of the Mozambican Ministry of Health: DO (10 mg/L), temperature (40 °C), pH (6.5–8.5), TDS (60 mg/L) and turbidity (20 NTU). The same regulation does not establish admissible limits for the EC parameter.
In terms of annual evolution (Figure 4), values above the maximum limit were recorded: DO in 2019, 2020 and 2023 for Púngue; Turbidity in 2019 to 2023 for the Púngue basin and in all years for Zambezi and Búzi; TDS in all years for Púngue (except 2022) and Zambezi. The other parameters (temperature, pH and EC) are in line with or close to the limits permitted by Mozambican regulations for this type of water.

Figure 4.
Variation in water quality parameters in Púngue (1), Zambezi (2) and Búzi (3).
Higher temperature values are associated with increased bacterial growth and the decomposition of organic matter, raising levels of biological pollution. As for pH, it showed values ranging from 5.5 to 14.0, with extreme values indicating possible conditions of acidic or alkaline pollution. The first is related to different activities such as mining and agro-industrial along the basin and the second is related to measurement errors. The low pH affects aquatic life and safety for human consumption [40]. High EC values suggest a higher concentration of ions in the water, which can indicate favourable conditions for the proliferation of pathogenic microorganisms, and low EC is related to a low concentration of dissolved ions in the water [41]. In addition, dilution of the water by heavy rainfall or snowmelt can temporarily reduce the EC. The DO in surface water is utilised by all forms of aquatic life, so this constituent is usually measured to assess the state of rivers in catchments.
In general, the results show that cold water can contain more DO than warm water. The formation of hypoxic waters has been associated with the discharge of nutrients such as nitrogen and phosphorus into rivers as a result of agro-industrial activity, indicating possible organic pollution or eutrophication, negatively affecting aquatic life and creating a favourable environment for bacterial growth [42,43]. In addition, eutrophic water sources might flood water supply and sanitation infrastructures will increase the risk of waterborne diseases. In these cases, the number of microorganisms in the water would increase rapidly, consuming a large amount of dissolved oxygen, which would be reflected in a decrease in the concentration of DO in the water [44]. DO concentrations in surface water have considerable influence on the increased risk of disease. On the one hand, these water quality indicators can affect the reproduction of diarrhoea pathogens in surface waters, altering water quality and predisposition in surface water microorganisms. Specifically, many types of pathogenic organisms can cause infectious diseases, including aerobic and facultative anaerobic bacteria that depend on oxygen to survive and reproduce in the aquatic environment. Therefore, the continuous decrease in DO concentrations in surface water provides a more suitable living environment for these disease-causing agents, which eventually leads to an increased risk of the incidence of these diseases [45,46]. Turbidity and TDS are indicators of suspended particles and dissolved salts in the water, respectively, and high values indicate pollution by sediment or organic matter, affecting the transparency of the water. Total coliforms ranged from 90 NMP/100 mL to 2100 NMP/100 mL, with higher values indicating faecal contamination and increasing risk of waterborne diseases.
4.4. Waterborne Diseases and Basins’ Affected Population
According to the data analysed on waterborne diseases, a total of 177,615 (2019) and 115,306 (2022) cases of diarrhoea occurred in the 16 localities/cities in the Zambezi, Púngue and Búzi river basins, with many cases occurring in the summer, mainly in January, February and March (Table 5). In 2019, of all cases registered, 81,934 were recorded in 5,765,244 inhabitants of the Zambezi basin, 53,328 cases in 1,455,780 inhabitants of the Búzi basin and 42,352 cases in 2,042,730 inhabitants of the Púngue basin. For every 100,000 inhabitants, there was an incidence of 1400, 3700 and 2100 cases of diarrhoea in Zambezi, Búzi and Púngue, respectively. The cases for 2022 suggest a reduction in diarrhoea cases of up to 41% (Zambezi) and 29% (Búzi and Púngue) between March and June, compared to the same period in 2019. Many cases of diarrhoea occurred in individuals under 5 years of age in March in the Zambezi basin (12,809). These statistics indicate an increase in the incidence and risk of diarrhoea cases in children under 5 years. Population density, water, sanitation and hygiene conditions increase the risk of disease in climate change scenarios, characterized by heavy rains and extreme temperatures, aggravating the occurrence of outbreaks of diarrhoeal diseases [7,47].
Table 5.
Monthly frequency of diarrhoea cases reported in 2019 and 2022 in the Zambezi, Búzi and Púngue watersheds.
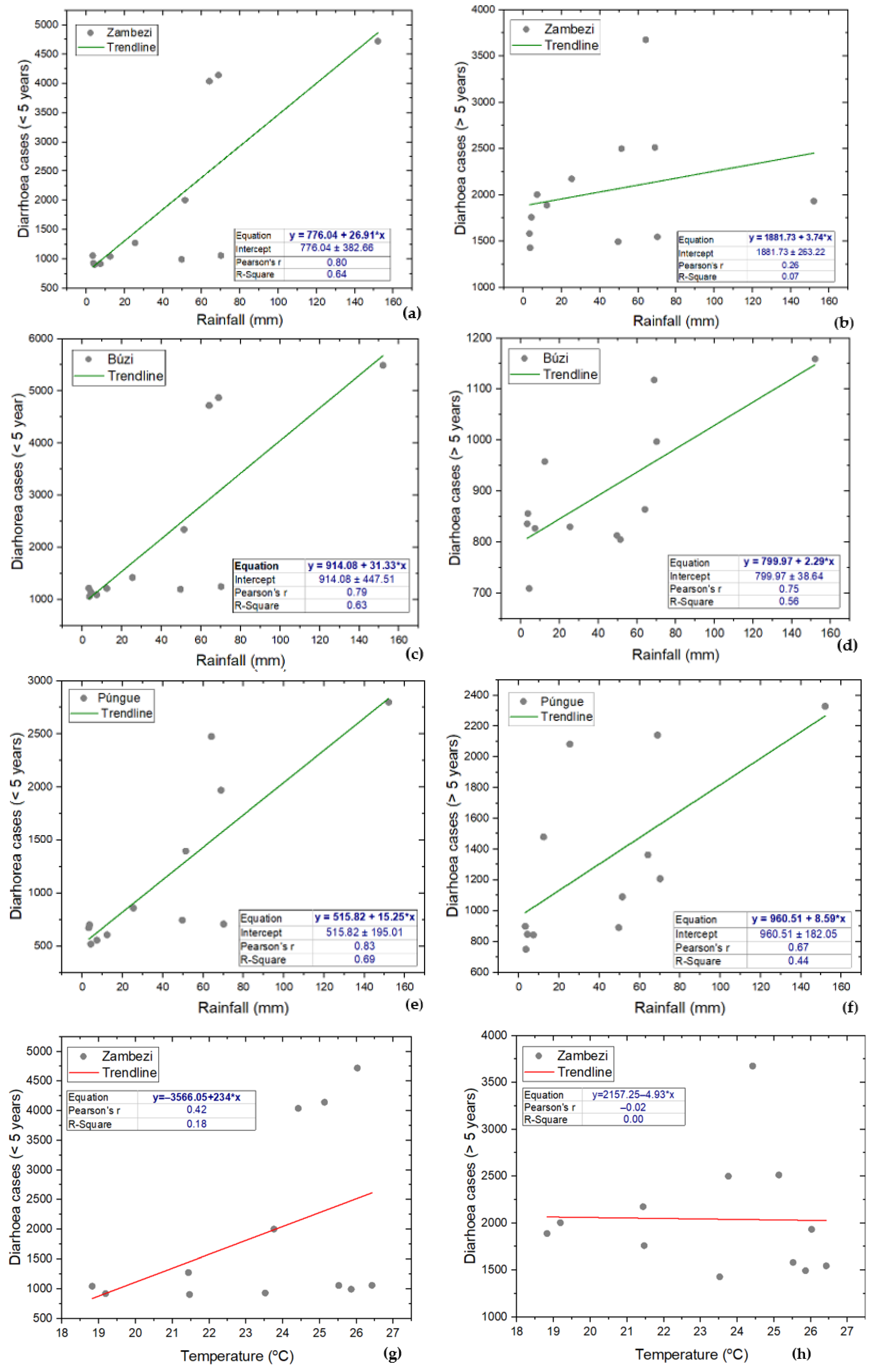
4.5. Correlation between Climate Parameters and Waterborne Diseases
Correlation always requires the assumption of a linear relationship. Examining the correlations in Figure 5 for all statistics, PCC values for rainfall vary between 0.79 and 0.80 for diarrhoea cases for individuals under the age of 5, considerably higher than the correlations (0.26 to 0.75) for individuals over the age of 5. There is a highly linear degree of correlation for diarrhoea cases < 5 years and a weak–medium–strong correlation for diarrhoea cases > 5 years. Therefore, a large PCC implies that there is a large linear component of the relationship, which means that diarrhoea cases < 5 years are strongly influenced by water-related events. PCC for temperature ranges from 0.42 to 0.45 for diarrhoea cases < 5 years and falls between −0.02 and 0.38 for diarrhoea cases > 5 years. In this case, there is a medium correlation (diarrhoea cases < 5 years) and a weak or no correlation (diarrhoea cases > 5 years, Zambezi basin). A lower or zero correlation coefficient implies that the number of diarrhoea cases for >5 years is not strongly or not at all related to air temperature.

Figure 5.
Relationship between diarrhoea cases and climate parameters: rainfall (a–f) and temperature (g–l).
Results from other studies in the basin context have shown that the incidence of diarrhoea due to high temperatures increases significantly after extreme rainfall. These studies aimed to investigate the impact of rainfall on water quality, cases of diarrhoea in children under 5 and the water quality impact on childhood diarrhoea. This study showed that, during the rainy season, rainfall had a significant impact on diarrhoea in children under 5. Rainfall and temperature predicted an increase in the concentration of Escherichia coli in rivers, which is also positively correlated with cases of diarrhoea. However, the process of occurrence of extreme phenomena is linked to the incidence of infectious diarrhoea [48]. Furthermore, theoretical studies into the mechanism of extreme precipitation leading to diarrhoea have concluded that water quality is probably the main intermediate link [49].
4.6. Water, Sanitation and Hygiene (WASH) and Waterborne Disease Incidence
Figure 6 shows the correlation between water quality parameters and waterborne diseases for the Búzi watershed from 2017 to 2023. The increase in total coliforms contributed to the numbers in cases of diarrhoea between 2017 and 2018 (14.44%), 2018 and 2019 (28.98%) and 2020 and 2021 (5.76%). Between 2022 and 2023, there was an appreciable drop, with data only available for the first quarter of 2023, but comparing the quarterly data for the same year shows an increase of around 26%. The same holds for the malaria case profile, with a peak in 2019 and a 30.12% increase in cases compared to 2018. There is a relationship between the increase in turbidity and the increase in malaria and diarrhoea cases in 2019, and a contribution from temperature and pH to the increase in these diseases in 2018 and 2020.
Figure 6.
Influence of water quality standards on diarrhoea and malaria in the Búzi watershed.
The diarrhoea pathogens, introduced mainly through faecal–oral transmission, contaminate surface water, leading to an increased risk of infectious diarrhoea. In this case, high levels of faecal coliforms in surface water were associated with an increased risk of diarrhoea. In addition, the existence of nitrogen sources in the water and other nutrients is important for microorganisms. When pathogens that cause diarrhoea and other microorganisms enter surface waters from atmospheric environments or soil, the nitrogen in surface waters is rapidly consumed. In this case, low nitrogen concentrations in surface water are associated with an increased risk of diarrhoea [50].
Using National Water and Sanitation Information System (SINAS) data [51], a map of the spatial distribution of total coliforms and WASH was created for the Búzi watershed (Figure 7). A total of 67 WASH element points were represented: sanitary units (14) with water points and schools (53) with traditional latrines (11) and improved latrines (15). However, there are schools without toilets (10) and, even worse, without latrines (7). Total coliforms with values above 251 (NMP/100 mL) are distributed throughout the sub-basin areas (upper Révué, lower Búzi and upper Lucite), the lowest being in lower Révué, with 90 NMP/100 mL.
Figure 7.
Spatial distribution of WASH components and total coliforms in the Buzi watershed.
In areas with intense agricultural activity, low economic levels and low depth of sanitary latrines, there are more human and animal faeces enriched with pathogens that cause diarrhoea. Surface runoff from extreme events in these regions is more significant, contributing to an increase in DO and faecal coliforms in rivers. Regarding the association between DO and infectious diarrhoea, when human or animal faeces enter surface waters, their concentration in the water increases significantly [52].
5. Conclusions
The main environmental components related to extreme rainfall events and their impacts on water quality and public health were analysed.
Results indicate that there is a strong correlation between the basin and the population affected by natural precipitation disasters. Natural disasters, in turn, affect water quality in the basin, increasing the risk and incidence of waterborne diseases. Factors such as poverty, local beliefs and customs, lack of robust public policies on water and natural disaster risk management, poor WASH systems, human actions and poor wastewater treatment, coupled with the intensification and frequency of unpredictable weather events, increase the incidence of waterborne diseases. This study aims to provide insight into integrated water management issues in the three watersheds for decision-makers in development and climate change scenarios, in order to eliminate gaps in the fulfilment of SDG indicators in the water, sanitation, hygiene and in the health and well-being. Several limitations are apparent in this study:
- i.
- The distribution of water pollution sources associated with natural disasters is heterogeneous, including agricultural practices, livestock farming, industry and open-air faecal farming. There are no monitoring data on land use and utilisation in the regions affected by cyclones, making it difficult to map polluting sources;
- ii.
- The current water quality standards are geared towards human consumption and several parameters are not monitored, ignoring the environmental and ecological significance of surface water versus influence on human health. In the future, standards will need to be further updated to guide water quality monitoring and management interventions in river basins in a more meaningful way;
- iii.
- There is complexity in obtaining complete water quality data for the three basins. Despite having 327 measuring stations (192 pluviometric, 115 hydrometric and 20 evaporimetric), only 38 are fully functional, which sometimes limits the monitoring of water quality parameters such as faecal coliforms, COD, BOD5 and DO, among others, due to the lack of reagents.
As final considerations and to improve the limitations presented above, we recommend the following:
- ▪
- A sufficiently large distance (better than 50 m) between latrines/bathrooms outside homes and water wells, to reduce the likelihood of faecal–oral pathogens entering water wells, the main source of drinking water in peri-urban areas;
- ▪
- Innovative actions such as the construction of rainwater retention basins and detention reservoirs along the sub-basins, as ways of storing rainwater and wastewater from heavy rainfall and domestic sewage, respectively. These actions could reduce the concentrations of faecal coliforms and other types of microbial contamination downstream after an episode of heavy rain due to cyclones;
- ▪
- Mozambican legislation has made the ARAs responsible for the local implementation of Integrated Water Resources Management at the river basin level. This decentralisation must be accompanied by the necessary funds and technical resources to improve the monitoring and management processes of the three basins at the regional level.
Author Contributions
S.M.C.: Conceptualisation, methodology, validation, formal analysis, software, investigation, data curation, writing—original draft preparation, writing—review and editing and visualisation. A.P.M.: Conceptualisation, methodology, writing—original draft preparation, formal analysis, investigation, writing—review and editing and visualisation. X.V.M.: formal analysis, investigation, review and editing and visualisation. N.A.M.: Data curation and formal analysis. H.d.S.P.: Conceptualisation, methodology and validation. E.S.G.: Data curation and validation. T.M.: Data curation and validation. S.G.-L.: Methodology, formal analysis, writing—review and editing and supervision. M.L.: Conceptualisation, methodology, validation, formal analysis, writing—review and editing and supervision. All authors have read and agreed to the published version of the manuscript.
Funding
We acknowledge financial support to CESAM by FCT/MCTES (UIDP/50017/2020+UIDB/50017/2020+LA/P/0094/2020), through national funds. Sérgio Chilaule thanks the Fundação Calouste Gulbenkian for the financial support provided through the doctoral scholarship FCG/258218/2022. Xadreque Macuacua thanks the Coordenação de Aperfeiçoamento de Pessoal de nível Superior (CAPES) for the financial support provided through the doctoral scholarship PPGCASA 2023/2028.
Data Availability Statement
Data are available from the corresponding author upon request.
Conflicts of Interest
The authors declare no conflicts of interests.
References
- Da Silva, A.C.P.; Pinto, R.W.P.; de Freitas, M.M. Avaliação de políticas públicas relacionadas aos desastres naturais no Brasil, entre 1990–2014 Políticas públicas revisadas relacionadas a desastres naturais no Brasil entre 1990–2014. Rev. Ambiecia 2016, 12, 885–900. [Google Scholar] [CrossRef]
- UN Office for Disaster Risk Reduction (UNDRR). O Deslocamento por Desastres:como Reduzir o Risco, Abordar os Impactos e Reforçar a Resiliência. Available online: https://www.undrr.org/sites/default/files/2023-03/WiA_report_11_1_23_Portuguese-Web-final.pdf (accessed on 15 January 2024).
- Herold, S.; Michael, C.; Sawada. A Review of Geospatial Information Technology for Natural Disaster Management in Developing Countries. Int. J. Appl. Geospat. Res. 2012, 3, 24–62. [Google Scholar] [CrossRef]
- GoM, 2018 Governo de Moçambique (GoM). Plano Anual de Contingência 2019, 2018. Available online: https://sheltercluster.s3.eu-central-1.amazonaws.com/public/docs/pc_2019_aprovado_pelo_conselho_de_ministros_2018.11.20.pdf (accessed on 12 January 2024).
- Instituto Nacional de Gestão e Redução do Risco de Desastres (INGD). Relatório de Emergência da época Chuvosa e Ciclonica 2022–2023. Available online: https://www.ingd.gov.mz/ (accessed on 15 January 2024).
- Lee, J.; Perera, D.; Glickman, T.; Taking, L. Water-related disasters and their health impacts: A global review. Prog. Disaster Sci. 2020, 8, 100123. [Google Scholar] [CrossRef]
- Mugabe, V.A.; Gudo, E.S.; Inlamea, O.F.; Kitron, U. Natural disasters, population displacement and health emergencies: Multiple public health threats in Mozambique. BMJ Glob. Health 2021, 6, e006778. [Google Scholar] [CrossRef] [PubMed]
- Jung, Y.-J.; Kim, H.; Namkoong, S. Impact of Climate Change on Waterborne Diseases: Directions towards Sustainability. Water 2023, 15, 1298. [Google Scholar] [CrossRef]
- Braks, M.; Giglio, G.; Tomassone, L.; Sprong, H.; Leslie, T. Making vector-borne disease surveillance work: New opportunities from the SDG perspectives. Front. Vet. Sci. 2019, 6, 232. [Google Scholar] [CrossRef]
- UNICEF. Ciclone Idai e Kenneth. 2019. Available online: https://www.unicef.org/mozambique/ciclone-idai-e-kenneth (accessed on 15 January 2024).
- Instituto Nacional de Gestão e Redução do Risco de Desastres (INGD). Relatório de Emergência da época Chuvosa e Ciclónica 2021–2022, 2022. Available online: https://www.ingd.gov.mz/ (accessed on 15 January 2024).
- Instituto Nacional de Estatística (INE). Population in 2023. 2024. Available online: https://www.ine.gov.mz/en/ (accessed on 10 January 2024).
- Cambaza, E.; Mongo, E.; Anapakala, E.; Nhambire, R.; Singo, J.; Machava, E. Outbreak of Cholera Due to Cyclone Kenneth in Northern Mozambique, 2019. Int. J. Environ. Res. Public Health 2019, 16, 2925. [Google Scholar] [CrossRef] [PubMed]
- Miguel, M. Uamusse, Kamshat Tussupova, Kenneth M Persson. Climate Change Effects on Hydropower in Mozambique. Appl. Sci. 2020, 10, 4842. [Google Scholar] [CrossRef]
- Baptista, J.A. Disturbing ‘Development’: The Water Supply Conflict in Canhane, Mozambique. J. South. Afr. Stud. 2010, 36, 169–188. [Google Scholar] [CrossRef]
- OCHA. Mozambique: How does Armed Conflict in Cabo Delgado Affect Access to Basic Services like Water, Sanitation and Health? 2023. Available online: https://reliefweb.int/report/mozambique/mozambique-how-does-armed-conflict-cabo-delgado-affect-access-basic-services-water-sanitation-and-health (accessed on 31 January 2024).
- SWP (Sustenable Water Partneship). Water Resources Profile Series. 2024. Available online: https://winrock.org/wp-content/uploads/2021/08/Mozambique_Country_Profile-Final.pdf (accessed on 31 January 2024).
- Instituto Nacional de Gestão e Redução do Risco de Desastres (INGD). Relatório de Emergência da época Chuvosa e Ciclónica 2019–2020, 2020. Available online: https://www.ingd.gov.mz/ (accessed on 15 January 2024).
- ZAMCOM (Zambezi Watercourse Commission). Annual Reports. 2024. Available online: https://zambezicommission.org/ (accessed on 31 January 2024).
- Da Maia, R.; Nhambiu, B.; Cuna, J.; Amid, U.; Vilanculos, A.; Machele, J. Mozambique Country-Specific Risk and Vulnerability Profile Report. 2019. Available online: https://www.riskreductionafrica.org/assets/files/Mozambique%20Risk%20Profile%20Report_compressed_1pdf.io.pdf (accessed on 10 January 2024).
- Regional Water Administrations (ARA-Centro). Estrada Nacional Nº7, Cidade de Tete, Mozambique, 2024. Available online: https://aracentroip.gov.mz/ (accessed on 15 January 2024).
- CCKP. Climate Data. Available online: https://climateknowledgeportal.worldbank.org/download-data (accessed on 10 January 2024).
- PRISMA. 2020. Available online: http://www.prisma-statement.org/ (accessed on 12 November 2023).
- United States Geological Survey (USGS). Available online: https://earthexplorer.usgs.gov/ (accessed on 11 November 2023).
- APHA. Standard Methods for the Examination of Water and Wastewater, 23rd ed.; American Public Health Association: Washington, DC, USA, 2017. [Google Scholar]
- Instituto Nacional de Gestão e Redução do Risco de Desastres (INGD). Database on Cyclone Cccurrence (2019–2023) in Mozambique, 2024. Available online: https://www.ingd.gov.mz/ (accessed on 15 January 2024).
- Instituto Nacional de Saúde (INS). Database on Water-Borne and Vector-Borne Diseases in the Centre Region (2017–2023). Mozambique, 2024. Available online: https://ins.gov.mz/ (accessed on 15 January 2024).
- World Health Organization (WHO). Guidelines for Drinking-Water Quality, 4th ed.; Incorporating The 1st Addendum; WHO: Geneva, Switzerland, 2017; ISBN 978-92-4-154995-0.
- Hui, L. Wind Forecasting in Railway Engineering; Elsevier: Changsha, China, 2021; ISBN 13-9780-128-237-069. [Google Scholar]
- Teng, T.-P.; Chen, W.-J. Using Pearson correlation coefficient as a performance indicator in the compensation algorithm of asynchronous temperature-humidity sensor pair. Case Stud. Therm. Eng. 2024, 53, 103924. [Google Scholar] [CrossRef]
- Chilaule, S.M.; Mabica, A.P. Alterações Climáticas e o Nexo Agua Energia Alimentos: Avaliação do impacto de desastres naturais na prática agrícola e segurança alimentar em Moçambique. Revista Munyo. Sci. J. Math. Nat. Appl. Sci. 2023, 2, 84–90. [Google Scholar]
- Petricola, S.; Reinmuth, M.; Lautenbach, S.; Hatfield, C.; Zipf, A. Assessing road criticality and loss of healthcare accessibility during floods: The case of Cyclone Idai, Mozambique 2019. Int. J. Health Geogr. 2022, 21, 14. [Google Scholar] [CrossRef] [PubMed]
- National Hurricane Center and Central Pacific Hurricane Center (NHC). Saffir-Simpson Hurricane Wind Scale. 2024. Available online: https://www.nhc.noaa.gov/aboutsshws.php (accessed on 11 January 2024).
- Instituto Nacional de Gestão e Redução do Risco de Desastres (INGD). Relatório de Emergência da época Chuvosa e Ciclonica 2019–2020, 2021. Available online: https://www.ingd.gov.mz/ (accessed on 15 January 2024).
- Institute for International Law of Peace and Armed Conflict (IFHV). World Risk Report. 2023. Available online: https://www.ifhv.de/publications/world-risk-report (accessed on 31 January 2024).
- Rafa, N.; Jubayer, A.; Uddin, S.M.N. Impact of cyclone amphan on the water, sanitation, hygiene, and health (wash2) facilities of coastal bangladesh. J. Water Sanit. Hyg. Dev. 2021, 11, 304–313. [Google Scholar] [CrossRef]
- Parker, C.L.; Lynch, A.H.; Spera, S.A.; Spangler, K.R. The Relationship between Tropical Cyclone Activity, Nutrient Loading, and Algal Blooms over the Great Barrier Reef. Biogeosci. Discuss. 2017, 2017, 1–35. [Google Scholar] [CrossRef]
- Mosley, L.M.; Sharp, D.S.; Singh, S. Effects of a tropical cyclone on the drinking-water quality of a remote pacific island. Disasters 2004, 28, 405–417. [Google Scholar] [CrossRef] [PubMed]
- Direção Nacional de Águas (DNA). Annual Report. 2012. Maputo, Mozambique. Available online: https://dnaas.gov.mz/ (accessed on 15 January 2024).
- Instituto Nacional de Estatística (INE). Census 2017. Available online: https://www.ine.gov.mz/en/web/guest/censo-2017 (accessed on 31 January 2024).
- Meschede, M.S.C. Implicações Para a Saúde de Escolares a Partir Consumo de Água e Material Particulado Atmosférico Inalado em Escolas de Santarém e Mojuí dos Campos. Ph.D. Thesis, Universidade Federal do Oeste do Pará, Pará, Amazônia, 2018. [Google Scholar]
- Zanchetta, G.S.B. Avaliação Do Grau de Poluíção Do Dolo, águas, Plantas e Resíduos Sólidos Do Lixão Linha Rincão Do Engenho de Lagoa Vermelha, RS, 2007. Available online: http://tede.upf.br/jspui/handle/tede/218 (accessed on 15 January 2024).
- Chilundo, M.; Kelderman, P.; O′Keeffe, J.H. Design of a water quality monitoring network for the Limpopo River Basin in Mozambique. Phys. Chem. Earth Parts A/B/C 2008, 33, 655–665. [Google Scholar] [CrossRef]
- Chen, J.; Li, W.; Qiao, P.; Li, Y.; Zheng, K.; Wang, Y.; Dong, X.; Wang, S.; Tan, L.; Chu, F.; et al. Characterizing ammonia emissions from water bodies using dynamic floating chambers. Sci. Total Environ. 2021, 796, 148978. [Google Scholar] [CrossRef] [PubMed]
- Camargo, J.A.; Alonso, A. Ecological and toxicological effects of inorganic nitrogen pollution in aquatic ecosystems: A global assessment. Environ. Int. 2006, 32, 831–849. [Google Scholar] [CrossRef] [PubMed]
- Jurgilevich, A.; Käyhkö, J.; Räsänen, A.; Pörsti, S.; Lagström, H.; Käyhkö, J.; Juhola, S. Factors influencing vulnerability to climate change-related health impacts in cities—A conceptual framework. Environ. Intern. 2023, 173, 107837. [Google Scholar] [CrossRef] [PubMed]
- Seidel, L.; Broman, E.; Turner, S.; Ståhle, M.; Dopson, M. Interplay between eutrophication and climate warming on bacterial communities in coastal sediments differs depending on water depth and oxygen history. Sci. Rep. 2021, 11, 23384. [Google Scholar] [CrossRef]
- Levy, K.; Woster, A.P.; Goldstein, R.S.; Carlton, E.J. Untangling the Impacts of Climate Change on Waterborne Diseases: A Systematic Review of Relationships between Diarrheal Diseases and Temperature, Rainfall, Flooding, and Drought. Environ. Sci. Technol. 2016, 50, 4905–4922. [Google Scholar] [CrossRef]
- Zhang, P.; Chen, L.; Yan, T.; Liu, J.; Shen, Z. Sources of nitrate-nitrogen in urban runoff over and during rainfall events with different grades. Sci. Total Environ. 2022, 808, 152069. [Google Scholar] [CrossRef] [PubMed]
- Yu, J.; Yang, L.; Ho, H.C.; Huang, C. Climate Change Impacts on Diarrheal Disease, From Epidemiological Association Research to Social Vulnerability Exploration; Oxford Research Encyclopedias; Global Public Health: London, UK, 2021. [Google Scholar] [CrossRef]
- Sistema de Informação Nacional de Água e Saneamento (SINAS)/Direcção Nacional de Abastecimento de Água e Saneamento. Available online: https://www.sinasmz.com/lizmap/lizmap/www/index.php/view/ (accessed on 18 November 2023).
- Manini, E.; Baldrighi, E.; Ricci, F.; Grilli, F.; Giovannelli, D.; Intoccia, M.; Casabianca, S.; Capellacci, S.; Marinchel, N.; Penna, P.; et al. Assessment of Spatio-Temporal Variability of Faecal Pollution along Coastal Waters during and after Rainfall Events. Water 2022, 14, 502. [Google Scholar] [CrossRef]
Disclaimer/Publisher’s Note: The statements, opinions and data contained in all publications are solely those of the individual author(s) and contributor(s) and not of MDPI and/or the editor(s). MDPI and/or the editor(s) disclaim responsibility for any injury to people or property resulting from any ideas, methods, instructions or products referred to in the content. |
© 2024 by the authors. Licensee MDPI, Basel, Switzerland. This article is an open access article distributed under the terms and conditions of the Creative Commons Attribution (CC BY) license (https://creativecommons.org/licenses/by/4.0/).







