Statistical Approach of Additive Effect on Volumetric Characteristics of Asphalt Mixtures †
Abstract
1. Introduction
2. Material and Method
2.1. Aggregate
2.2. Material Additives
2.3. Asphalt
3. Result and Discussion
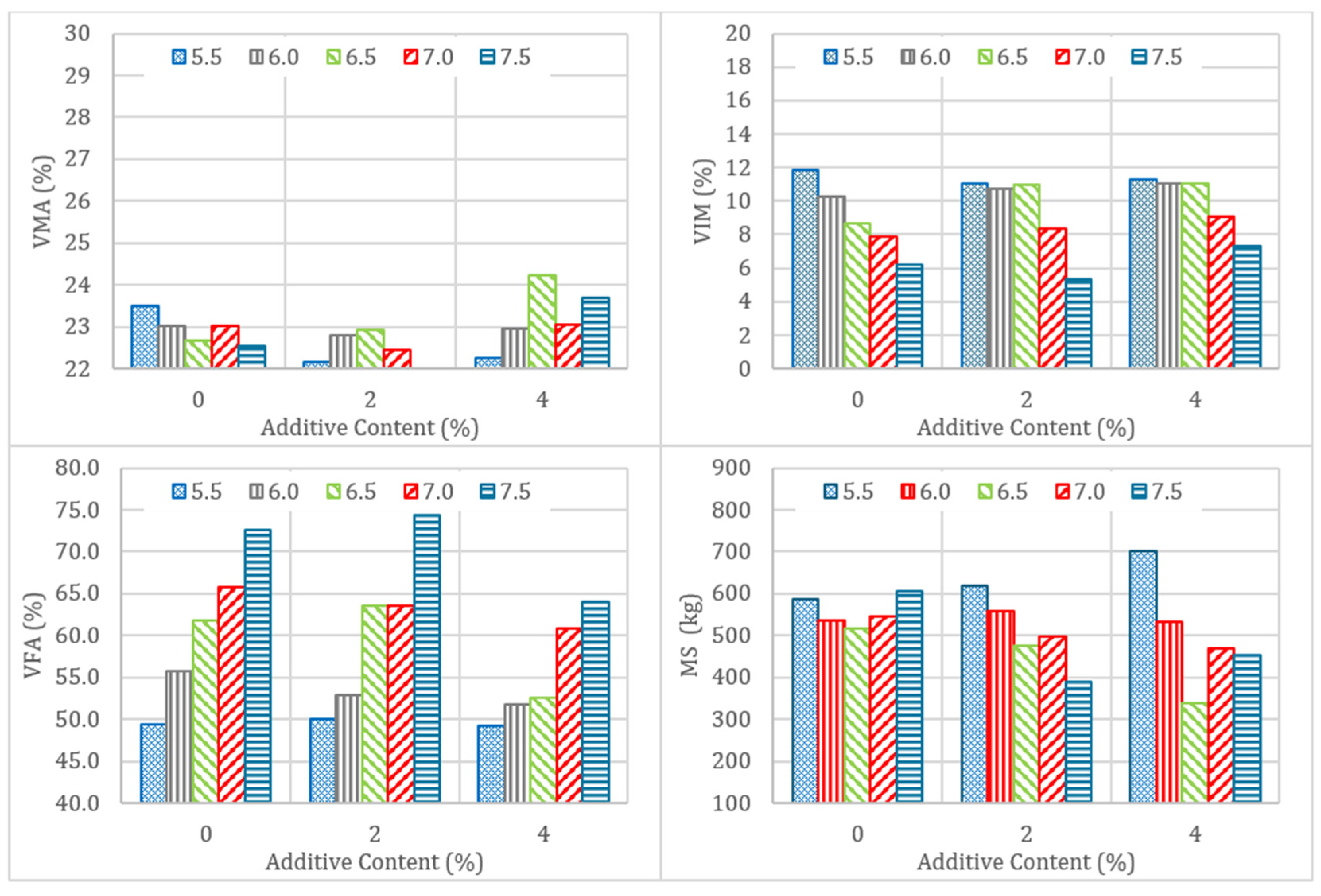
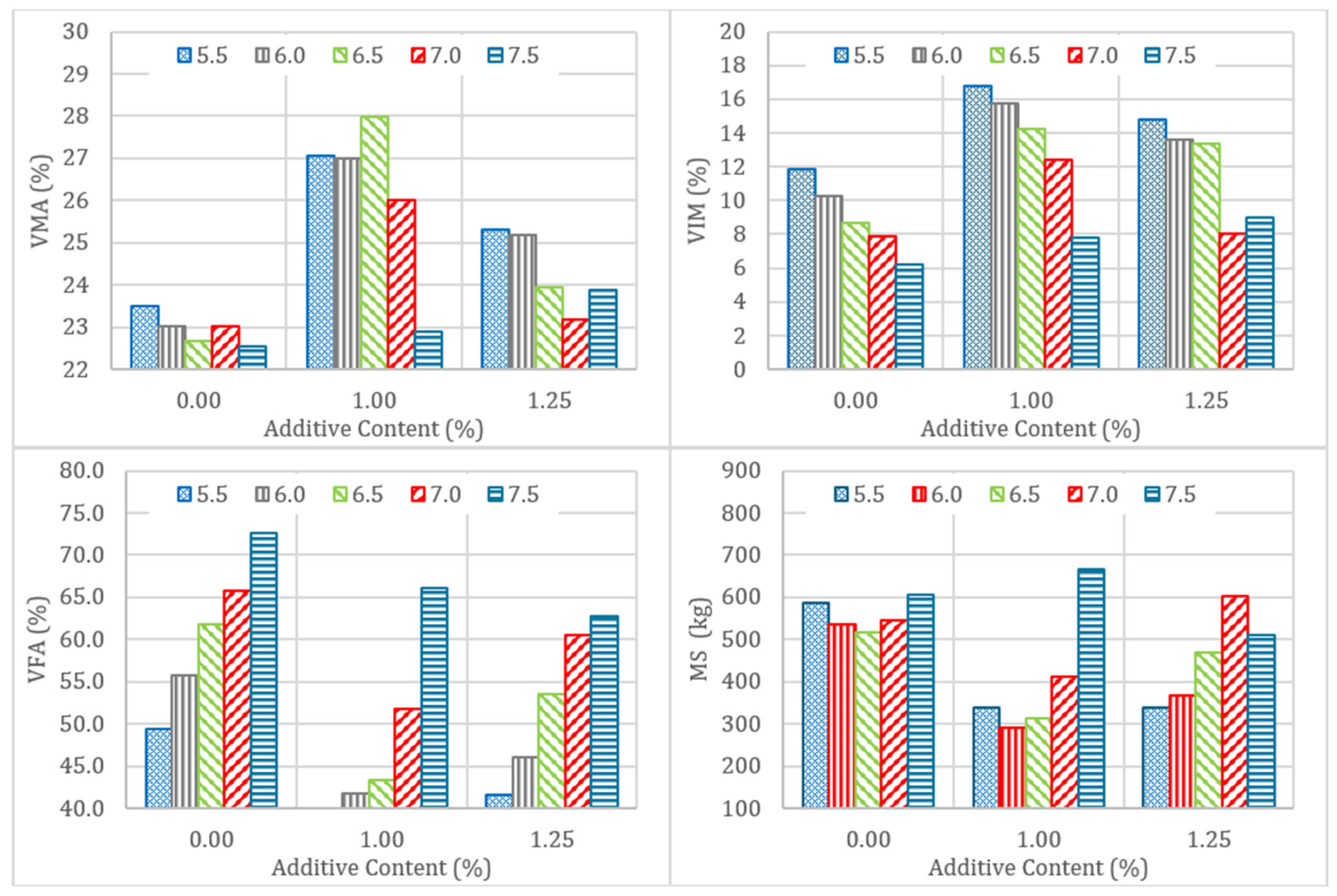
3.1. Volume Characteristics of Asphalt Mixture
3.2. Correlation Analysis
3.3. ANOVA Test
4. Conclusions
Author Contributions
Funding
Institutional Review Board Statement
Informed Consent Statement
Data Availability Statement
Acknowledgments
Conflicts of Interest
References
- Rangan, P.R.; Tumpu, M. Marshall Characteristics of AC-WC Mixture with the Addition of Anti-flaking Additives. ARPN J. Eng. Appl. Sci. 2021, 16, 343. Available online: www.arpnjournals.com (accessed on 11 September 2024).
- Aljbouri, H.J.; Albayati, A.H. Effect of Nanomaterials on the Durability of Hot Mix Asphalt. Transp. Eng. 2023, 11, 100165. [Google Scholar] [CrossRef]
- Bhat, F.S.; Mir, M.S. Rheological Investigation of Asphalt Binder Modified with Nanosilica. Int. J. Pavement Res. Technol. 2020, 14, 276–287. [Google Scholar] [CrossRef]
- Razavi, S.-H.; Kavussi, A. The Role of Nanomaterials in Reducing Moisture Damage of Asphalt Mixes. Constr. Build. Mater. 2020, 239, 117827. [Google Scholar] [CrossRef]
- Mohamed, N.; Ramjattan-Harry, V.; Maharaj, R. Flow Properties of Fly Ash Modified Asphaltic Binders. Prog. Rubber, Plast. Recycl. Technol. 2017, 33, 85–102. [Google Scholar] [CrossRef]
- Çelik. Influence of fly ash on the properties of asphalt. Pet. Sci. Technol. 2008, 26, 1571–1582. [Google Scholar] [CrossRef]
- Hadiwardoyo, S.P.; Imansyah, F.N.P.; Sumabrata, R.J.; Iskandar, D. Rut depth characteristics on hot mix asphalt with addition nano crumb rubber. Civ. Eng. Arch. 2020, 8, 525–532. [Google Scholar] [CrossRef]
- Hadiwardoyo, S.P.; Senawibowo, O.; Sumabrata, R.J.; Iskandar, D. Laboratory investigation on skid resistance of hot mix asphalt pavement with nano crumb rubber contribution. Civ. Eng. Arch. 2020, 8, 662–668. [Google Scholar] [CrossRef]
- Bilema, M.; Aman, M.; Hassan, N.; Haloul, M.; Modibbo, S. Influence of Crumb Rubber Size Particles on Moisture Damage and Strength of the Hot Mix Asphalt. Mater. Today Proc. 2021, 42, 2387–2391. [Google Scholar] [CrossRef]
- Ben Zair, M.; Jakarni, F.; Muniandy, R.; Hassim, S. A Brief Review: Application of Recycled Polyethylene Terephthalate in Asphalt Pavement Reinforcement. Sustainability 2021, 13, 1303. [Google Scholar] [CrossRef]
- Movilla-Quesada, D.; Raposeiras, A.; Silva-Klein, L.; Lastra-González, P.; Castro-Fresno, D. Use of Plastic Scrap in Asphalt Mixtures Added by Dry Method as a Partial Substitute for Bitumen. Waste Manag. 2019, 87, 751–760. [Google Scholar] [CrossRef] [PubMed]
- Nanjegowda, V.H.; Biligiri, K.P. Recyclability of rubber in asphalt roadway systems: A review of applied research and advancement in technology. Resour. Conserv. Recycl. 2020, 155, 104655. [Google Scholar] [CrossRef]
- Nawir, D.; Mansur, A.Z. The Impact of HDPE Plastic Seeds on the Performance of Asphalt Mixtures. Civ. Eng. J. 2021, 7, 1569–1581. [Google Scholar] [CrossRef]
- Al-Tuwayyij, H.; Sarsam, S.I. Influence of Iron-Filings on Marshall and Volumetric Properties of Asphalt Concrete. Civ. Eng. J. 2020, 6, 1684–1696. [Google Scholar] [CrossRef]
- Irawati, N.; Akbardin, J.; Syahril, S.; Marques, A. The effect of using Low-Density Polyethylene (LDPE) on the AC-WC Marshall performance. In Proceedings of the E3S Web of Conferences, Cairo, Egypt, 20–22 December 2024. [Google Scholar] [CrossRef]
- Zarei, M.; Naseri, A.; Salehikalam, A.; Ghandehari, M.; Nasrollahi, M.; Dadashi, A. Technical-Economic Studies about the Effect of Nano-Carbon Black on Asphalt Mixtures. Electron. J. Struct. Eng. 2022, 22, 33–41. [Google Scholar] [CrossRef]
- Mohammed, A.M.; Abed, A.H. Enhancing Asphalt Binder Performance Through Nano-SiO2 and Nano-CaCO3 Additives: Rheological and Physical Insights. Case Stud. Constr. Mater. 2023, 19, e02492. [Google Scholar] [CrossRef]
- Daniel, C.; Widjajakusuma, J.; Otto, I.; Saputan, C. The Evaluation of Physical and Mechanical Properties of Synthetic Polymer Modified Hot and Warm Mix Asphalt. In IOP Conference Series: Earth and Environmental Science; Institute of Physics: London, UK, 2022. [Google Scholar] [CrossRef]
- Hamkah; Saing, Z.; Mairuhu, D.; Tumpu, M. Characteristics of Asphalt Concrete Wearing Course Mix Incorporating Recycled Tire Rubber as an Additive. Int. J. GEOMATE 2024, 26, 34–43. [Google Scholar] [CrossRef]
- Prasetia, M.; Djakfar, L.; Wisnumurti; Sabarudin, A. Marshall Tests for Asphalt Concrete Wearing Course Asb Lawele Containing Capsule Calcium Alginate as Self-Healing Additive. In IOP Conference Series: Earth and Environmental Science; Institute of Physics: London, UK, 2022. [Google Scholar] [CrossRef]
- Zhang, R.; Zhang, W.; Shen, S.; Wu, S.; Zhang, Y. Evaluation of the Correlations Between Laboratory Measured Material Properties with Field Cracking Performance for Asphalt Pavement. Constr. Build. Mater. 2021, 301, 124126. [Google Scholar] [CrossRef]
- Khaled, T.T.; Kareem, A.I.; Mohamad, S.A.; Al-Hamd, R.K.S.; Minto, A. The Performance of Modified Asphalt Mixtures with Different Lengths of Glass Fiber. Int. J. Pavement Res. Technol. 2024, 13. [Google Scholar] [CrossRef]
- Fakhri, M.; Shahryari, E. The Effects of Nano Zinc Oxide (ZnO) and Nano Reduced Graphene Oxide (RGO) on Moisture Susceptibility Property of Stone Mastic Asphalt (SMA). Case Stud. Constr. Mater. 2021, 15, e00655. [Google Scholar] [CrossRef]
- Babagoli, R.; Ameli, A. Influence of Soybean Oil on Binder and Warm Mixture Asphalt Properties. Adv. Mater. Sci. Eng. 2021, 2021, 11–13. [Google Scholar] [CrossRef]
- Al-Khateeb, G.; Ghuzlan, K.; Ismail, M.; Shabib, A.; Naeem, M.; Elbaz, Y. Rheological Properties of Cement-Modified Asphalt Binders. Front. Built Environ. 2022, 8, 937199. [Google Scholar] [CrossRef]
- Baradaran, S.; Rahimi, J.; Ameri, M.; Maleki, A. Mechanical Performance of Asphalt Mixture Containing Eco-Friendly Additive by Recycling PET. Case Stud. Constr. Mater. 2023, 20, e02740. [Google Scholar] [CrossRef]
- Tian, Y.; Tian, J.; Dong, M.; Ai, L.; Bu, L.; Sun, R. Correlation analysis of highway asphalt pavement distress based on Spearman correlation coefficient. In Proceedings of the E3S Web of Conferences, Cairo, Egypt, 20–22 December 2024. [Google Scholar] [CrossRef]
- Li, Z.; Gao, X.; Lu, D. Correlation Analysis and Statistical Assessment of Early Hydration Characteristics and Compressive Strength for Multi-Composite Cement Paste. Constr. Build. Mater. 2021, 310, 125260. [Google Scholar] [CrossRef]









| Element | Weight (%) | ||
|---|---|---|---|
| Silica Powder | Fly Ash | Crumb Rubber | |
| O2 | 90.7 | 53.97 | - |
| CaCO3 | - | - | 78.70 |
| SiO2 | 34.41 | 18.86 | 13.74 |
| Al2O3 | 2.68 | 9.45 | 0.34 |
| Fe | 2.07 | 4.89 | 0.22 |
| Wollastonite | 1.60 | 6.55 | 1.77 |
| Ti | 1.53 | - | - |
| MAD-10 Feldspar | 0.76 | 1.02 | 0.13 |
| Albite | 0.51 | 2.45 | - |
| MgO | 0.15 | 2.83 | 0.09 |
| Additive | Method | Correlation Value | ||||||
|---|---|---|---|---|---|---|---|---|
| Density | VMA | VFA | VIM | MS | Flow | MQ | ||
| Silica powder and fly ash | Pearson | 0.11 | −0.25 | −0.03 | 0 | −0.07 | −0.18 | 0.03 |
| Rank spearman | 0.12 | −0.25 | −0.05 | 0.07 | −0.15 | −0.21 | −0.01 | |
| Crumb rubber | Pearson | 0.98 a | 0.96 a | 0.87 a | −0.96 a | 0.90 a | −0.11 | −0.96 a |
| Rank spearman | 0.73 a | 0.57 a | 0.78 a | −0.78 a | 0.81 a | −0.08 | −0.57 a | |
| Additive | Method | Correlation Value | |||||
|---|---|---|---|---|---|---|---|
| MS—Density | MS—VMA | MS—VFA | MS—VIM | MS—Flow | MS—MQ | ||
| Silica powder and fly ash | Pearson | 0.37 | −0.42 a | −0.13 | 0.08 | 0.42 | 0.87 a |
| Rank spearman | 0.41 a | −0.49 a | −0.23 | 0.21 | 0.19 | 0.91 a | |
| Crumb rubber | Pearson | 0.88 a | 0.84 a | 0.98 a | −0.92 a | 0.06 | −0.83 a |
| Rank spearman | 0.46 a | 0.43 a | 0.96 a | −0.98 a | 0.16 | −0.40 | |
| Volumetric Characteristics | n | Asphalt Mixture with Silica Powder | Asphalt Mixture with Fly Ash | Asphalt Mixture with Crumb Rubber | FCrit | |||
|---|---|---|---|---|---|---|---|---|
| F-Value | p-Value | F-Value | p-Value | F-Value | p-Value | |||
| Density | 3 | 2.69 | 0.11 | 0.85 | 0.45 | 1.77 | 0.21 | 3.89 |
| VIM | 3 | 0.93 | 0.42 | 0.15 | 0.87 | 2.84 | 0.1 | 3.89 |
| VFA | 3 | 0.88 | 0.44 | 0.82 | 0.76 | 2.22 | 0.15 | 3.89 |
| VMA | 3 | 12.06 a | 0.00 b | 2.86 | 0.1 | 8.27 a | 0.01 b | 3.89 |
| MS | 3 | 6.21 a | 0.01 b | 3.3 | 0.07 | 0.21 | 0.82 | 3.89 |
| Flow | 3 | 4.87 a | 0.03 b | 0.57 | 0.58 | 2.5 | 0.12 | 3.89 |
| MQ | 3 | 2.69 | 0.11 | 0.85 | 0.45 | 3.29 | 0.07 | 3.89 |
Disclaimer/Publisher’s Note: The statements, opinions and data contained in all publications are solely those of the individual author(s) and contributor(s) and not of MDPI and/or the editor(s). MDPI and/or the editor(s) disclaim responsibility for any injury to people or property resulting from any ideas, methods, instructions or products referred to in the content. |
© 2025 by the authors. Licensee MDPI, Basel, Switzerland. This article is an open access article distributed under the terms and conditions of the Creative Commons Attribution (CC BY) license (https://creativecommons.org/licenses/by/4.0/).
Share and Cite
Rudrokasworo, S.N.; Hadiwardoyo, S.P.; Rifai, A.I.; Septiawan, A.; Tambunan, H.F.; Lumingkewas, R.H. Statistical Approach of Additive Effect on Volumetric Characteristics of Asphalt Mixtures. Eng. Proc. 2025, 84, 67. https://doi.org/10.3390/engproc2025084067
Rudrokasworo SN, Hadiwardoyo SP, Rifai AI, Septiawan A, Tambunan HF, Lumingkewas RH. Statistical Approach of Additive Effect on Volumetric Characteristics of Asphalt Mixtures. Engineering Proceedings. 2025; 84(1):67. https://doi.org/10.3390/engproc2025084067
Chicago/Turabian StyleRudrokasworo, Silvanus Nohan, Sigit Pranowo Hadiwardoyo, Andri Irfan Rifai, Ahmad Septiawan, Hermon Frederik Tambunan, and Riana Herlina Lumingkewas. 2025. "Statistical Approach of Additive Effect on Volumetric Characteristics of Asphalt Mixtures" Engineering Proceedings 84, no. 1: 67. https://doi.org/10.3390/engproc2025084067
APA StyleRudrokasworo, S. N., Hadiwardoyo, S. P., Rifai, A. I., Septiawan, A., Tambunan, H. F., & Lumingkewas, R. H. (2025). Statistical Approach of Additive Effect on Volumetric Characteristics of Asphalt Mixtures. Engineering Proceedings, 84(1), 67. https://doi.org/10.3390/engproc2025084067

