Development and Design of Low-Cost DIY Acoustic Sensor †
Abstract
1. Introduction
- Hearing loss or impairment;
- Problems with the cardiovascular system;
- Decreased sleep quality;
- Memory impairment and deterioration of cognitive skills;
- Deterioration of attention and concentration.
2. Materials and Methods
2.1. Requirements for Components and Their Selection
- A motherboard with an integrated microcontroller, supporting plenty of different components and with the ability to write a program using a simple development environment. As a result, we chose the Arduino Uno R3 board (Arduino Software, Turin, Italy), which contains 14 digital and 6 analog pins, which are enough for our project. Also, we can write programs into it with Arduino IDE 2.3.1 (Arduino Software, Turin, Italy), which can be installed on almost any computer;
- A microphone module with an integrated fixed amplifier. It must have the ability to be connected to an Arduino board and have a sensitivity range of 20 Hz–20 kHz. We chose an electret microphone module with a MAX9812L amplifier (Kai Tuo Da, Taipei, Taiwan) with a low quiescent current and a high gain factor of 20 dB;
- A MicroSD card module (Realpoy Electronic Components, China) with the ability to connect to an Arduino board. So, a MicroSD card module with an SPI interface and 5 V supply was chosen;
- For data storage, a MicroSD card (Kingston, Fountain Valley, CA, USA) with a 32 GB volume was chosen;
- A device that can provide current date and time information with ≈1 s accuracy and store that data without any external power supply. As a result, an RTC module based on a DS1302 chip was chosen (Maxim Integrated, San Jose, CA, USA). It has a battery place for independent supply, batteries are at low prices on most markets, and the module has enough accuracy for our project;
- Power supplies for the motherboard with a high capacity and ability to recharge. So, three 18650 format accumulators at 3.7 V 1500 mAh were chosen (Kosmos, Moscow, Russia). With a special battery compartment, they provide ≈ 11.1 V, which is in the required voltage range of an Arduino Uno R3 board through DC input;
- A case for three 18,650 accumulators with a DC output connector (SZEKS, China);
- A case with water and dust resistance. A Gainta G2105 [2] (Gainta, New Taipei City, Taiwan) case was chosen because of its IP65 protection class and dimensions that provide a tight component layout; moreover, it has holes for convenient PCB installation using screws;
- A two-positional key switch with a rubber seal (Ruichi, Shenzhen, China). We chose one with an IP65 protection class;
- A water-resistant and air-transparent membrane (Dixel, Shanghai, China). It provides a hole for the microphone and keeps the water protection class for the case. So, we chose an air-transparent self-adhesive membrane with an IP68 protection class that is used to maintain air pressure in the car’s headlights;
- A printed circuit board measuring 70 × 90 mm (GSMIN, China) to set the RTC and MicroSD modules on it;
- Screws measuring 2 × 6 mm (4 pieces) to fix the printed circuit board;
- Heat shrink tubes—they will provide safe connections between wires;
- The last part of this assembly is wires for part connections. We chose 0.14 copper wire with PVC insulation.
2.2. Electrical Circuit Design
2.3. Building a Prototype and Writing a Program
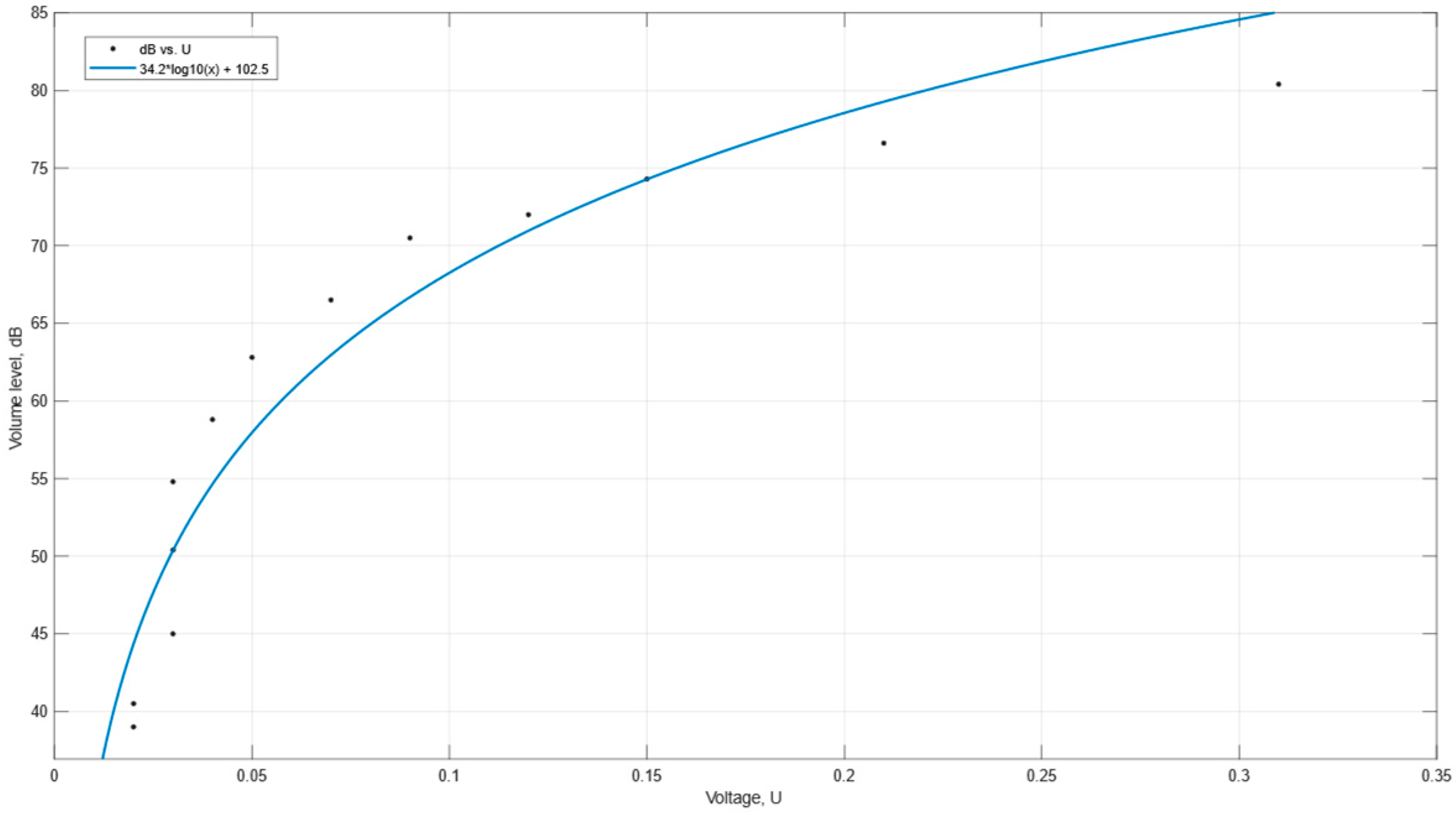
3. Results and Discussion
4. Conclusions
Author Contributions
Funding
Institutional Review Board Statement
Informed Consent Statement
Data Availability Statement
Conflicts of Interest
References
- Seidman, M.D.; Standring, R.T. Noise and Quality of Life. Int. J. Environ. Res. Public Health 2010, 7, 3730–3738. [Google Scholar] [CrossRef] [PubMed]
- G2105—Sealed Enclosure Gainta. Available online: https://www.gainta.com/en/g2105.html (accessed on 21 September 2024).
- GOST 12172—2016 Phenolopolyvinyl Acetate Adhesives Technical Conditions. Available online: https://files.stroyinf.ru/Data2/1/4293747/4293747410.pdf?ysclid=m1dw7peamh381286498 (accessed on 10 September 2024).



Disclaimer/Publisher’s Note: The statements, opinions and data contained in all publications are solely those of the individual author(s) and contributor(s) and not of MDPI and/or the editor(s). MDPI and/or the editor(s) disclaim responsibility for any injury to people or property resulting from any ideas, methods, instructions or products referred to in the content. |
© 2024 by the authors. Licensee MDPI, Basel, Switzerland. This article is an open access article distributed under the terms and conditions of the Creative Commons Attribution (CC BY) license (https://creativecommons.org/licenses/by/4.0/).
Share and Cite
Golovkov, T.; Novichkova, M.; Saifutdinov, T.; Levik, A.; Matasov, V.; Vikulov, A. Development and Design of Low-Cost DIY Acoustic Sensor. Eng. Proc. 2024, 82, 94. https://doi.org/10.3390/ecsa-11-20440
Golovkov T, Novichkova M, Saifutdinov T, Levik A, Matasov V, Vikulov A. Development and Design of Low-Cost DIY Acoustic Sensor. Engineering Proceedings. 2024; 82(1):94. https://doi.org/10.3390/ecsa-11-20440
Chicago/Turabian StyleGolovkov, Timofey, Margarita Novichkova, Timur Saifutdinov, Aleksandr Levik, Victor Matasov, and Alexander Vikulov. 2024. "Development and Design of Low-Cost DIY Acoustic Sensor" Engineering Proceedings 82, no. 1: 94. https://doi.org/10.3390/ecsa-11-20440
APA StyleGolovkov, T., Novichkova, M., Saifutdinov, T., Levik, A., Matasov, V., & Vikulov, A. (2024). Development and Design of Low-Cost DIY Acoustic Sensor. Engineering Proceedings, 82(1), 94. https://doi.org/10.3390/ecsa-11-20440

