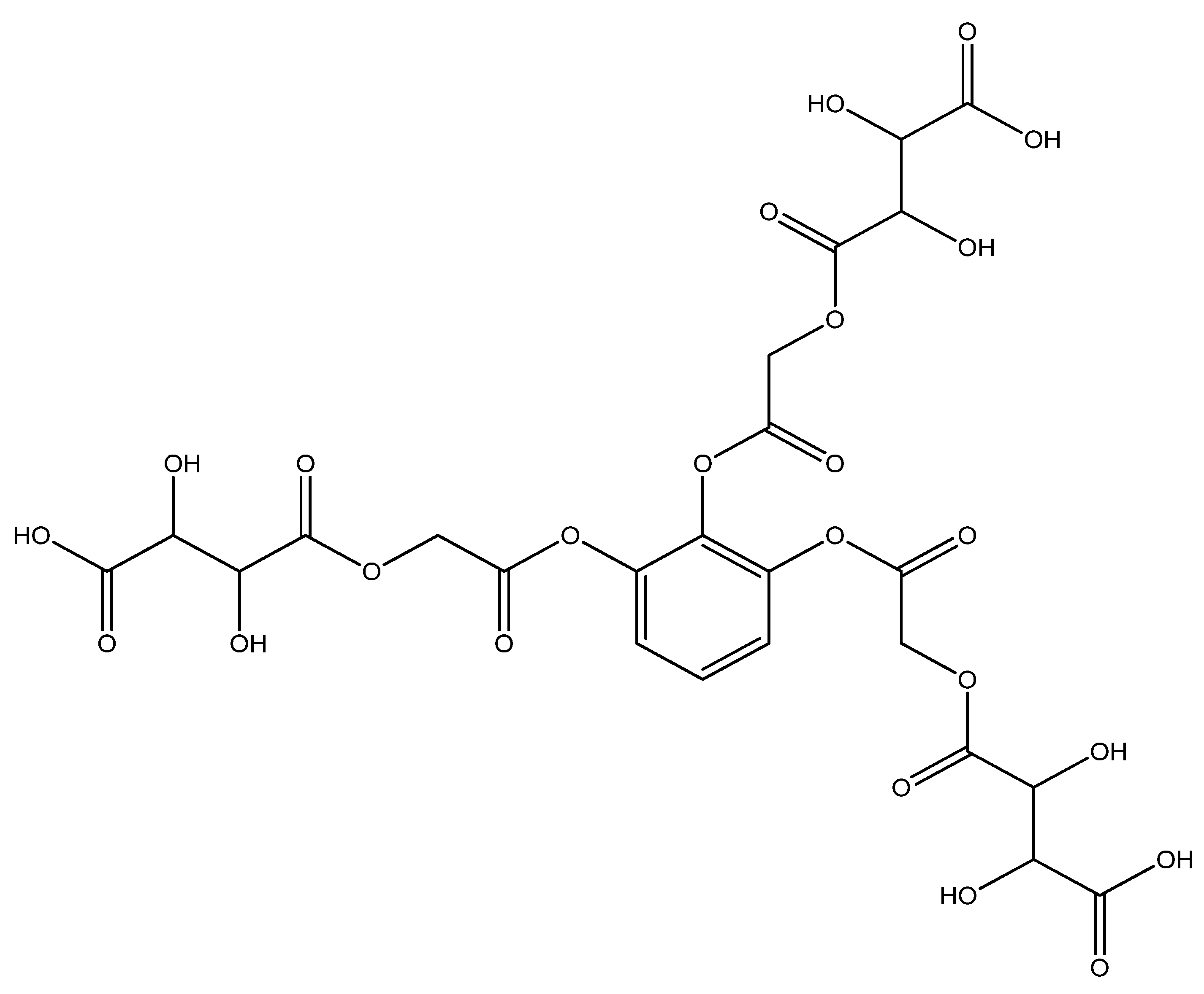
Synthesis of 4,4′,4″-(((Benzene-1,2,3-triyltris(oxy))tris(2-oxoethane-2,1-diyl))tris(oxy))tris(2,3-dihydroxy-4-oxobutanoic Acid) and 4,4′,4″-(((Benzene-1,2,4-triyltris(oxy))tris(2-oxoethane-2,1-diyl))tris(oxy))tris(2,3-dihydroxy-4-oxobutanoic Acid) †
Abstract
1. Introduction




2. Experimental
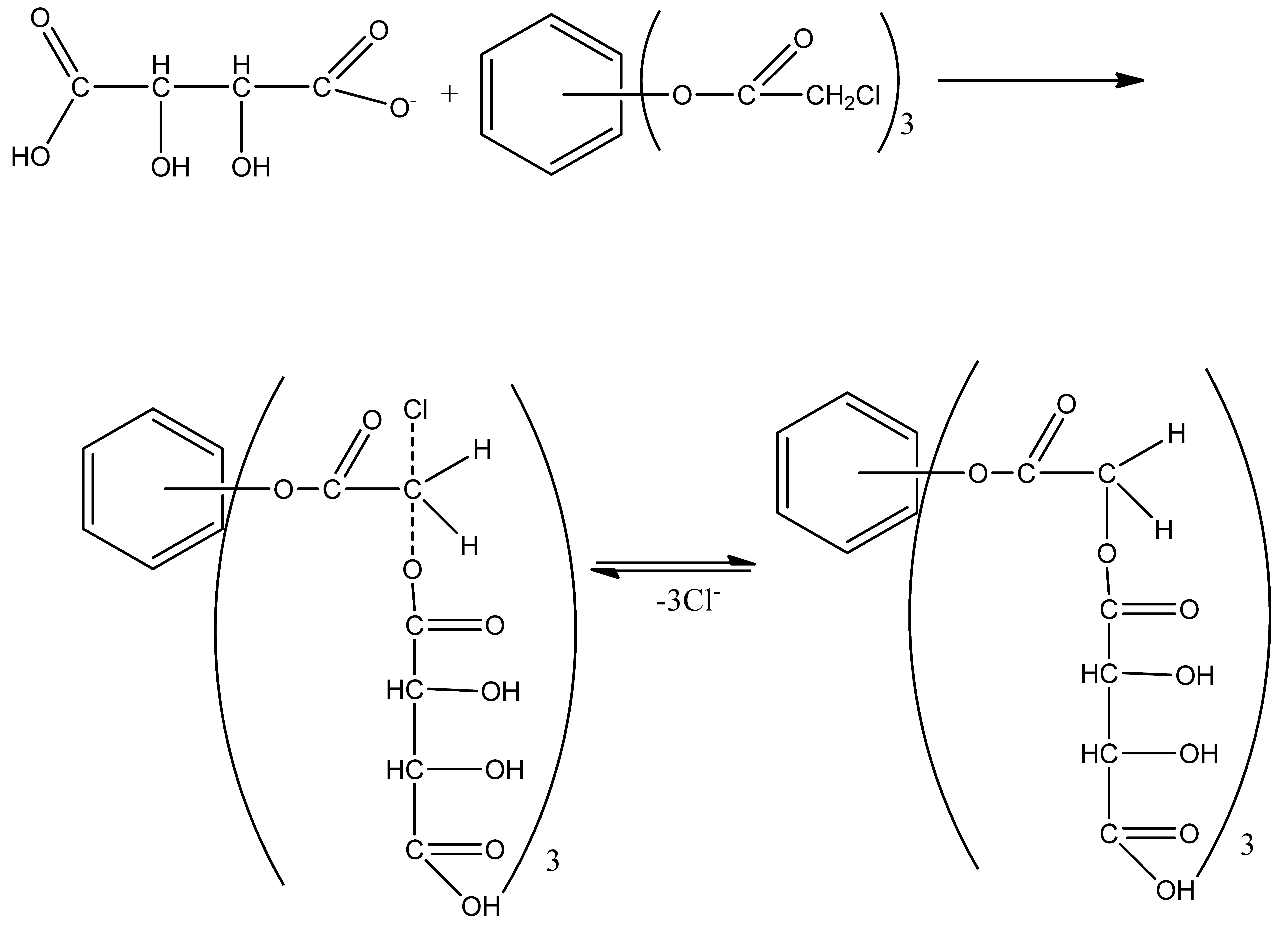
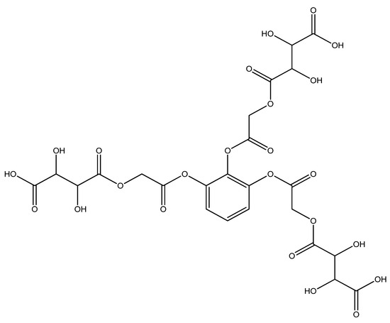
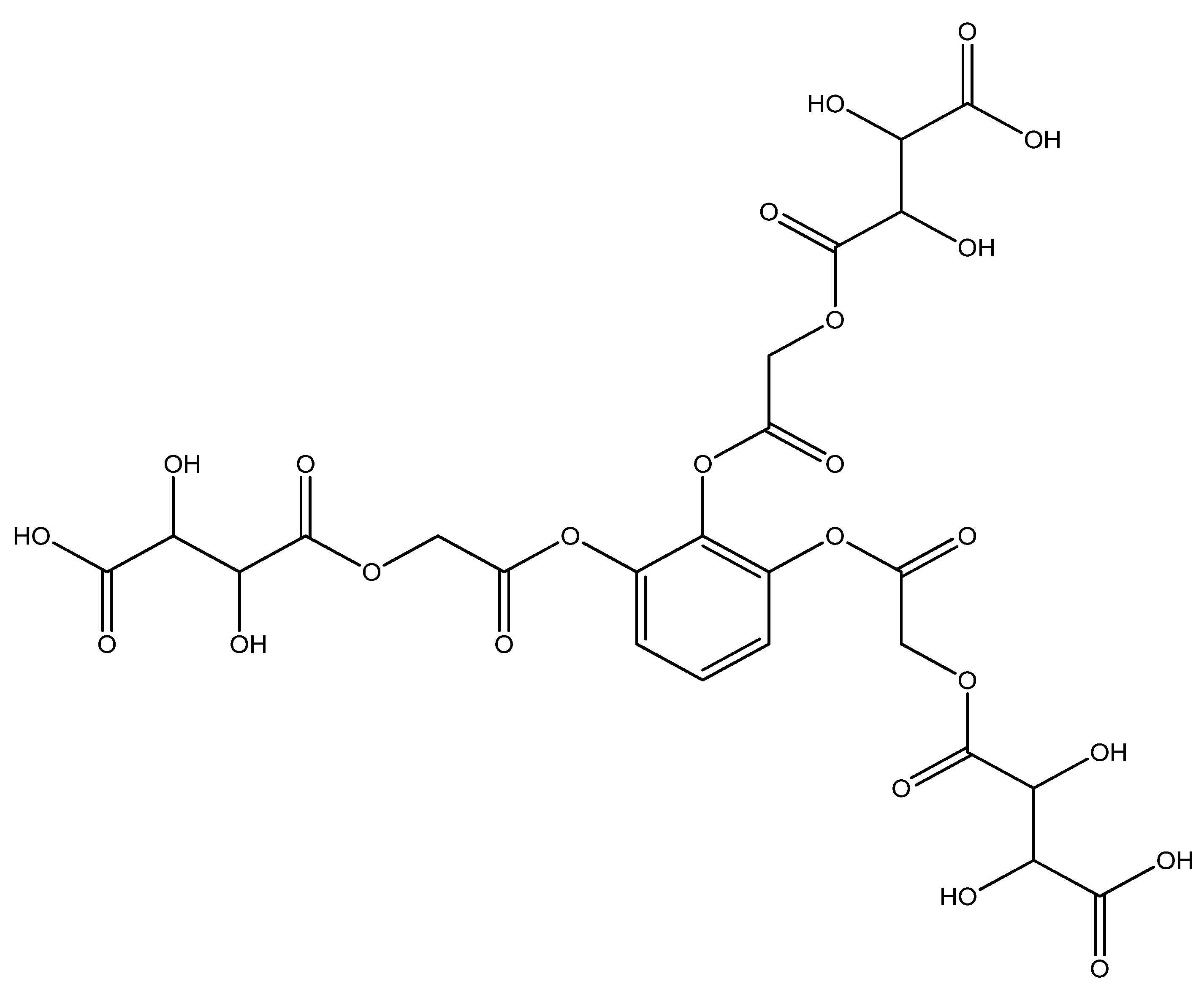
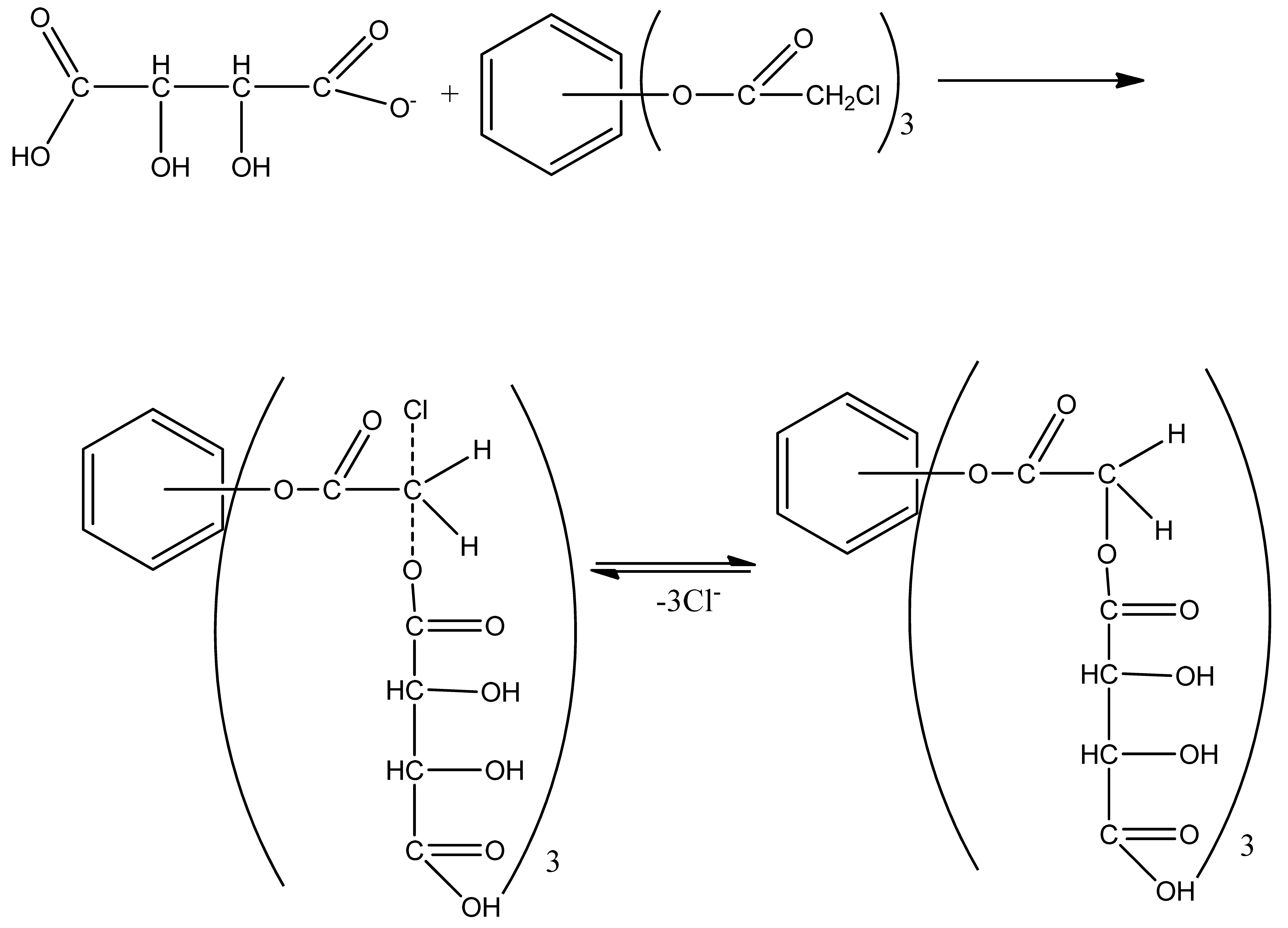
2.1. Synthesis of 4,4′,4″-(((Benzene-1,2,3-triyltris(oxy))tris(2-oxoethane-2,1-diyl))tris(oxy))tris(2,3-dihydroxy-4-oxobutanoic Acid)
2.2. Synthesis of 4,4′,4″-(((Benzene-1,2,4-triyltris(oxy))tris(2-oxoethane-2,1-diyl))tris(oxy))tris(2,3-dihydroxy-4-oxobutanoic Acid)
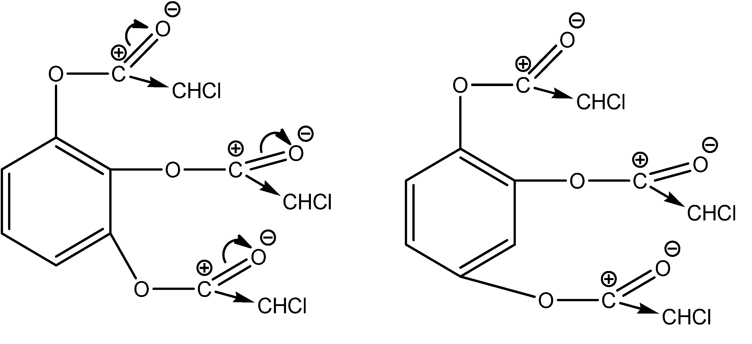
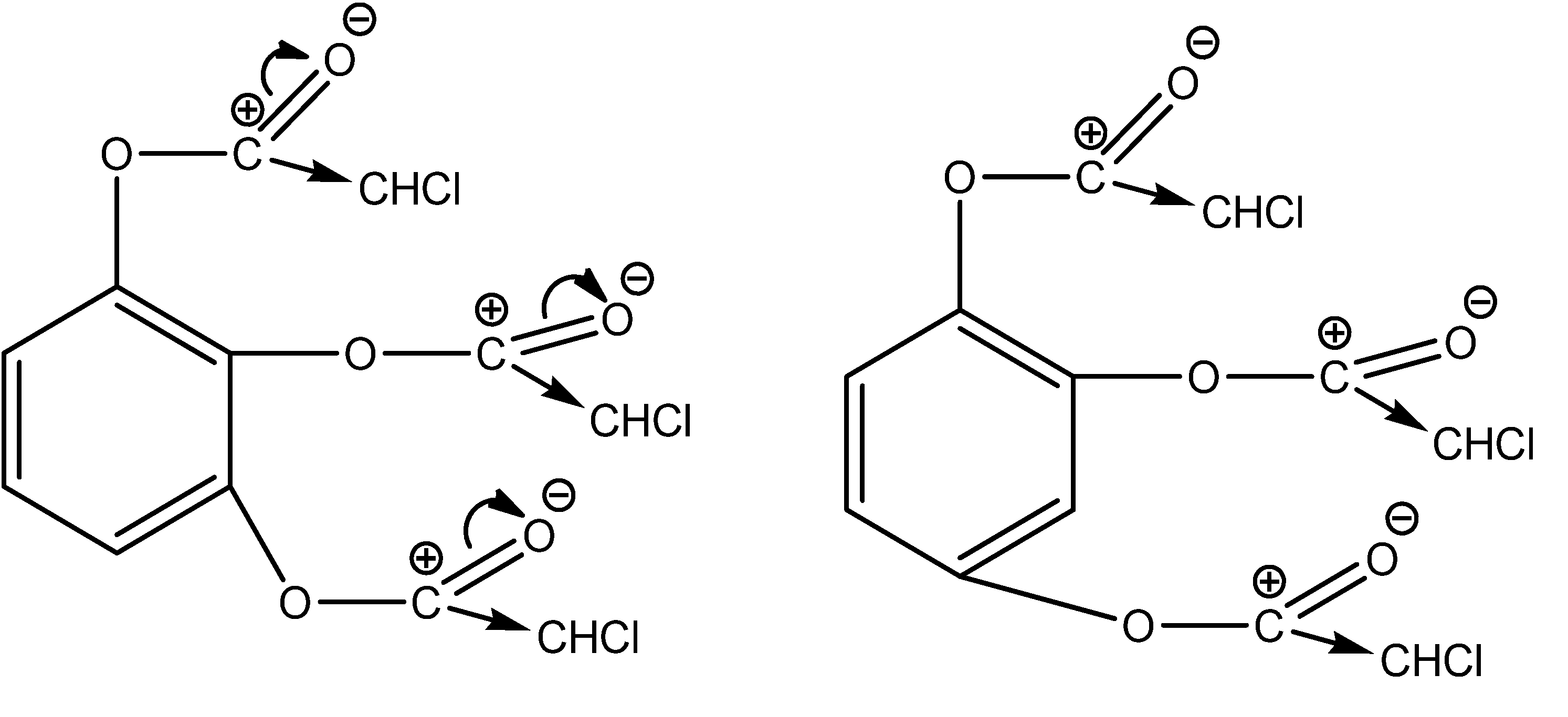
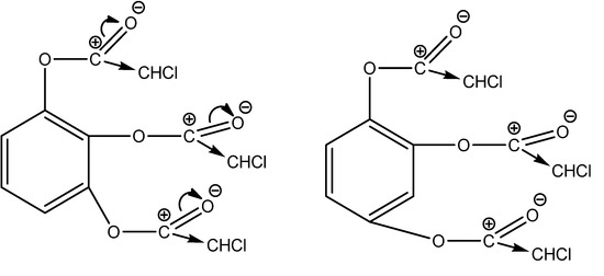
3. Results and Discussion



4. Conclusions
Supplementary Materials
Funding
Institutional Review Board Statement
Informed Consent Statement
Data Availability Statement
Acknowledgments
Conflicts of Interest
References
- Andreevskaya, O.I.; Barkhash, V.A.; Korobeynicheva, I.K.; Krivousova, E.D.; Sokolenko, V.A.; Yakobson, G.G.; Yankova, L.M. Interaction of ω-bromo-acetophenone and ω-bromopentafluoroacetophenone with some nucleophilic reagents. J. Org. Chem. Leningr. 1970, 6, 711–717. (In Russian) [Google Scholar]
- Le Berre, A.; Godin, J.; Garreau, R. Sur les dérivés acétylés des hydrazides cycliques, maléique et phtalique. C. R. Hebd. Seances Acad. Sci. Ser. C. 1967, 265, 570–573. [Google Scholar]
- King, J.A.; McMillan, F.H. The Preparation of Some Pyridazonyl Acids. J. Am. Chem. Soc. 1952, 74, 3222–3224. [Google Scholar] [CrossRef]
- McMillan, F.H.; Kun, K.A.; McMillan, C.B.; Schwartz, B.S.; King, J.A. Hydrazides of Some Pyridazonyl Substituted Acids. J. Am. Chem. Soc. 1956, 78, 407–410. [Google Scholar] [CrossRef]
- Bali, U.; Barba, O.; Dawson, G.; Gattrell, W.T.; Horswill, J.G.; Pan, D.A.; Procter, M.J.; Rasamison, C.M.; Smith, C.P.S.; Taylor-Warne, A. Design and Synthesis of Potent Carboxylic Acid DGAT1 Inhibitors with High Cell Permeability. Bioorg. Med. Chem. Lett. 2012, 22, 824–828. [Google Scholar] [CrossRef] [PubMed]
- Mamatkulov, N.N.; Abdushukurov, A.K.; Khidirov, S.; Rakhmonova, S. Synthesis and rearrangement of p-tolyl chloroacetate. Russ. J. Org. Chem. 2001, 37, 1668–1669. [Google Scholar] [CrossRef]
- Abdushukurov, A.K.; Mamatkulov, N.N.; Turaeva, K. Investigation of the regrouping phenylchloracetone in the presence of smal quantites of FeCl3, FeCl3 6H2O, Fe2(SO4)3, ZnCl2 and AAFe. In Proceedings of the World Chemistry Congress, Brisbane, Australia, 1–6 July 2001; p. 480. [Google Scholar]
- Sadikova, S.B.; Abdushukurov, A.K.; Choriyev, A.U. Chloroacetylation of hydroquinone and its Esters with Lewis acids. Univers. Chem. Biol. 2019, 5, 52–56. [Google Scholar]
- Sadikova, S.; Abdushukurov, A.; Choriyev, A.; Takhirov, Y. Nucleophilic substitution reaction of dichloroacetyl hydroquinone with sodium salts of oxyacids. Int. J. Pharm. Res. 2020, 12, 648–653. [Google Scholar]
- Jurayev, R.S.; Choriev, A.U.; Qaxxorov, N.T. Effect and Spectroscopic Analysis of Solutions in Trychloratsetylpyrogallol Synthesis. Chem. Proc. 2023, 14, 80. [Google Scholar] [CrossRef]
- Choriev, A.U.; Jurayev, R.S.; Abdushukurov, A.K.; Abdullayev, M.G. Synthesis of 2-Izopropyl-5-methylphenylcarboxymethylen Tartrate. Eng. Proc. 2023, 37, 57. [Google Scholar] [CrossRef]
- Jurayev, R.S.; Choriev, A.U.; Qaxxorov, N.T. The Photometric Determination of Iron(III) with 2-Napthylcarboxymethylene Citrate. Eng. Proc. 2023, 48, 49. [Google Scholar] [CrossRef]
- Harwood, L.M.; Claridge, T.D.W. Introduction to Organic Spectroscopy; OUP: Oxford, UK, 1996. [Google Scholar]
- Silverstein, R.M.; Webster, F.X.; Kiemle, D.J. Spectrometric Identification of Organic Compounds; Wiley: New York, NY, USA, 2005. [Google Scholar]
- Reichardt, C. Solvents and Solvent Effects in Organic Chemistry, 2nd ed.; VCH: New York, NY, USA, 1988. [Google Scholar]
- Smith, M.B.; March, J. Advanced Organic Chemistry: Reactions, Mechanisms and Structure, 7th ed.; Wiley: New York, NY, USA, 2013. [Google Scholar]



Disclaimer/Publisher’s Note: The statements, opinions and data contained in all publications are solely those of the individual author(s) and contributor(s) and not of MDPI and/or the editor(s). MDPI and/or the editor(s) disclaim responsibility for any injury to people or property resulting from any ideas, methods, instructions or products referred to in the content. |
© 2024 by the author. Licensee MDPI, Basel, Switzerland. This article is an open access article distributed under the terms and conditions of the Creative Commons Attribution (CC BY) license (https://creativecommons.org/licenses/by/4.0/).
Share and Cite
Jurayev, R.S. Synthesis of 4,4′,4″-(((Benzene-1,2,3-triyltris(oxy))tris(2-oxoethane-2,1-diyl))tris(oxy))tris(2,3-dihydroxy-4-oxobutanoic Acid) and 4,4′,4″-(((Benzene-1,2,4-triyltris(oxy))tris(2-oxoethane-2,1-diyl))tris(oxy))tris(2,3-dihydroxy-4-oxobutanoic Acid). Eng. Proc. 2024, 67, 75. https://doi.org/10.3390/engproc2024067075
Jurayev RS. Synthesis of 4,4′,4″-(((Benzene-1,2,3-triyltris(oxy))tris(2-oxoethane-2,1-diyl))tris(oxy))tris(2,3-dihydroxy-4-oxobutanoic Acid) and 4,4′,4″-(((Benzene-1,2,4-triyltris(oxy))tris(2-oxoethane-2,1-diyl))tris(oxy))tris(2,3-dihydroxy-4-oxobutanoic Acid). Engineering Proceedings. 2024; 67(1):75. https://doi.org/10.3390/engproc2024067075
Chicago/Turabian StyleJurayev, Ruzimurod Sattorovich. 2024. "Synthesis of 4,4′,4″-(((Benzene-1,2,3-triyltris(oxy))tris(2-oxoethane-2,1-diyl))tris(oxy))tris(2,3-dihydroxy-4-oxobutanoic Acid) and 4,4′,4″-(((Benzene-1,2,4-triyltris(oxy))tris(2-oxoethane-2,1-diyl))tris(oxy))tris(2,3-dihydroxy-4-oxobutanoic Acid)" Engineering Proceedings 67, no. 1: 75. https://doi.org/10.3390/engproc2024067075
APA StyleJurayev, R. S. (2024). Synthesis of 4,4′,4″-(((Benzene-1,2,3-triyltris(oxy))tris(2-oxoethane-2,1-diyl))tris(oxy))tris(2,3-dihydroxy-4-oxobutanoic Acid) and 4,4′,4″-(((Benzene-1,2,4-triyltris(oxy))tris(2-oxoethane-2,1-diyl))tris(oxy))tris(2,3-dihydroxy-4-oxobutanoic Acid). Engineering Proceedings, 67(1), 75. https://doi.org/10.3390/engproc2024067075
